 
                Request for Change of Address or Boxholder Information
 
                             
                            What is the request for change of address or boxholder information?
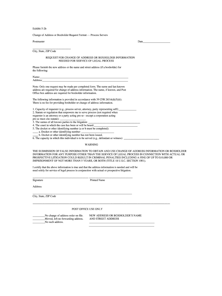
The request for change of address or boxholder information is a formal document used primarily to update the address details associated with a recipient of mail or legal documents. This form is essential for ensuring that important communications, including legal notices, reach the correct individual or entity. It is often utilized in various contexts, including personal moves, business relocations, or changes in boxholder information for postal services. Understanding the purpose and requirements of this form is crucial for maintaining accurate and up-to-date mailing records.
Steps to complete the request for change of address or boxholder information
Completing the request for change of address or boxholder information involves several key steps:
- Obtain the correct form, typically available from the United States Postal Service (USPS) or relevant legal authorities.
- Fill in all required fields accurately, including the old address, new address, and the effective date of the change.
- Provide any additional information that may be necessary, such as identification details or boxholder specifics.
- Review the completed form for accuracy to avoid any delays or issues.
- Sign the form using a legally-recognized signature, ensuring that it meets all necessary legal standards.
Legal use of the request for change of address or boxholder information
The request for change of address or boxholder information serves a legal purpose, particularly in ensuring that legal documents are served correctly. It is often required in legal proceedings to confirm that all parties receive notifications and documents at their proper addresses. Failure to submit this form accurately can lead to complications, such as missed court dates or improper service of documents, which may affect the outcome of legal matters.
Required documents for the request for change of address or boxholder information
When submitting the request for change of address or boxholder information, several documents may be required to validate the request:
- Proof of identity, such as a driver's license or government-issued ID.
- Documentation supporting the address change, like a lease agreement or utility bill showing the new address.
- Any previous correspondence that may reference the old address, if applicable.
Form submission methods for the request for change of address or boxholder information
The request for change of address or boxholder information can typically be submitted through various methods, including:
- Online submission via the USPS website or designated legal platforms.
- Mailing the completed form to the appropriate postal or legal office.
- In-person submission at a local post office or legal office, if necessary.
Key elements of the request for change of address or boxholder information
Several key elements must be included in the request for change of address or boxholder information to ensure its validity:
- Full name of the individual or entity requesting the change.
- Old and new addresses, clearly stated.
- Effective date of the address change.
- Signature of the requester, confirming the authenticity of the information provided.
Examples of using the request for change of address or boxholder information
There are various scenarios where the request for change of address or boxholder information may be applied:
- A person moving to a new residence and needing to update their mailing address with the USPS.
- A business relocating its operations and requiring updates to its registered address for legal documents.
- Individuals or organizations needing to ensure that legal notices are sent to the correct address for ongoing litigation.
Quick guide on how to complete 2b
An easy manual on how to prepare 2b
Filling out electronic forms has shown to be more effective and safe compared to traditional pen and paper techniques. Unlike physically writing on hard copies, correcting a typo or entering information into the wrong field is simple to rectify. Such errors can be a signNow obstacle when you are preparing applications and requests. Think about utilizing airSlate SignNow for completing your request for change of address or boxholder information. Our all-inclusive, intuitive, and compliant electronic signature service will simplify this procedure for you.
Follow our instructions on how to swiftly fill out and sign your postal service change form with airSlate SignNow:
- Verify the purpose of your chosen document to ensure it meets your needs and click Get Form if it does.
- Find your template loaded into our editor and explore what our tool provides for form modification.
- Complete blank fields with your information and check boxes using Check or Cross options.
- Add Text boxes, replace existing content, and insert Images wherever necessary.
- Utilize the Highlight feature to showcase what you wish to stress and conceal what isn’t relevant to your recipient using the Blackout tool.
- In the right panel, drop additional fillable fields designated for certain parties if needed.
- Secure your form with watermarks or establish a password when you finish editing.
- Add Date, click Sign → Add signature and choose your signing method.
- Sketch, type, upload, or create your legally binding electronic signature using a QR code or the camera on your device.
- Review your responses and click Done to complete the editing and move to document sharing.
Utilize airSlate SignNow to create your request for change of address or boxholder information needed for service of legal process and work on other professional fillable documents securely and efficiently. Register today!
Create this form in 5 minutes or less
FAQs request for boxholder information
- 
                                
                                    
                                    
                                    How do you fill a money order?
                                
                                How To Fill Out A Money Order sometimes makes the user confusing and irritating. You can easily figure out each and every step with full procedure by visiting on the link.
- 
                                
                                    
                                    
                                    Do you have to fill out forms or pay at a post office to send a letter over seas if you include a stamp?
                                
                                Ordinary letters to another country do not go through Customs Inspection and do not need a Customs Declaration like packages, doo. All you need is enough postage, which is generally several times what domestic postage is.From the USA, three regular Forever stamps is the easy choice.
- 
                                
                                    
                                    
                                    What is the process to fill out the BSTC application form?
                                
                                First, candidates need to apply online for BSTC 2019 by following the instructions and guidelines which are mentioned in the information brochure. GGTU has uploaded the official notification along with complete details such as Eligibility, Exam Dates, Pattern and syllabus. Before going to fill the form, you need to check the eligibility criteria. If you are appearing in the 12th class then you are also eligible for the exam.Candidates who are eligible for the BSTC Exam 2019 they have to check the important documents which are required for filling the application form. As you know, this year, the written test is conducting by the university in the first week of May 2019. So the candidates must have to complete online registration of BSTC 2019 and make the payment. Candidates must have to check the required documents for filing the forms such as10th & 12th Class Mark Sheet12th/ HSC Class Roll NumberScanned Images (Photograph & Signature)Passing Year, Marks & PercentageCategory & DomicileCandidates must have to check the size of the photograph which will not be more than 100 KB also width 8CM & height 10 CM and 50KB for Signature with 5 CM Width & 3 CM height. If your images are longer than its mention size then images can’t upload. It’s also mandatory to check the format of the images. Now, you can check the below steps for filling the BSTC 2019 online application form.How to Fill the BSTC 2019 Online FormCandidates who are ready to fill the application they can visit the official website by entering the URL or search in the Google. Now, you can follow the website link and redirect to the webpage. Now you have to search the link for fill the BSTC 2019 Form and click on it. A new webpage will open and starts filling the application form by mention the details such asEnter the Candidate’s Name and Father/ Mother NameSelect the Date of Birth (Date / Month/ Year)Select the course i.e. BSTC General/ BSTC Sanskrit or BothMode the payment i.e. Online PaymentCandidates can pay the fee for Rs.450/ – for both papers and Rs.400/ – for either General or Sanskrit. If you want to change all the details then you can click on the reset button or click on the next button.After completing the first step, you have to go through the second step i.e. uploading the scanned images. First, you can upload the scanned photograph and signature in the valid size and format by clicking on the choose file. Now you can select the photograph and signature and submit it.Now you will signNow on the final step of the GGTU BSTC 2019 Application Form. So candidates who need to fill the remaining information such asGender, Marital Status, State of Bonafide and DistrictSelect the category i.e. SC/ ST/ OBC/ PWD/ Divorces/ WidowEnter the Permanent & correspondence addressSelect the Two exam centreEnter the Education Details i.e. 10th & 12th Class DetailsBSTC 2019 Application FeeAfter that, candidates can click on proceed and check the Token & application no. Finally, you need to pay the BSTC Application Fee 2019. To pay the fee, you can use the Debit/ Credit Card/ Net Banking or Challan. If you are going to fill the form for General or Sanskrit then you need to make the payment of Rs.450/ -. For both papers, the university will charge the Rs.400/ -. It’s important to download the application form and take a printout for further reference.Important LinksGet Admit CardDownload BSTC College ListCounselling Dates
- 
                                
                                    
                                    
                                    What is the process to fill out the CISF recruitment 2018 application form?
                                
                                Central Industrial Security Force (CISF) Job Notification:Central Industrial Security Force (CISF) invited applications for the 519 posts of Assistant Sub-Inspector post. The eligible candidates can apply to the post through the prescribed format on or before 15 December 2018.Important Date:Last date of receipt of application by the Unit Commanders: 12 December 2018Last date of receipt of application by respective Zonal DIsG: 22 December 2018Written examination: 24 February 2019
Related searches to exhibit 5 2b
Create this form in 5 minutes!
How to create an eSignature for the usps form exhibit 5 2b
How to create an electronic signature for the Post Office Process Server Form online
How to make an electronic signature for your Post Office Process Server Form in Chrome
How to make an eSignature for putting it on the Post Office Process Server Form in Gmail
How to make an electronic signature for the Post Office Process Server Form right from your smartphone
How to make an electronic signature for the Post Office Process Server Form on iOS devices
How to create an electronic signature for the Post Office Process Server Form on Android
People also ask address legal request blank
- 
                                
                                    
                                    
                                    What is airSlate SignNow and how does it help with document signing?
                                
                                airSlate SignNow is a robust eSignature solution that empowers businesses to send and eSign documents efficiently. With its user-friendly interface, airSlate SignNow makes the signing process seamless, helping companies manage their documents with ease and cost-effectively.
- 
                                
                                    
                                    
                                    How does pricing work for airSlate SignNow?
                                
                                Pricing for airSlate SignNow is designed to fit various business needs. The cost-effective tiers provide access to essential features, ensuring that even small businesses find value in using the service without overspending. Explore our subscription plans to find the one that suits your requirements best while maximizing the benefits of the 2b feature.
- 
                                
                                    
                                    
                                    What key features does airSlate SignNow offer?
                                
                                airSlate SignNow offers a range of powerful features including customizable templates, secure eSigning, and real-time tracking. These functionalities streamline the document signing process, making it easier for users to manage workflows. The platform's focus on these 2b capabilities ensures that businesses can operate efficiently.
- 
                                
                                    
                                    
                                    Is airSlate SignNow secure and compliant with industry standards?
                                
                                Absolutely! airSlate SignNow prioritizes security, employing encryption and compliance protocols to protect your sensitive information. As a trusted option in the eSignature space, it adheres to various industry regulations, assuring users that their documents are handled securely while utilizing the 2b processes.
- 
                                
                                    
                                    
                                    Can I integrate airSlate SignNow with other software applications?
                                
                                Yes, airSlate SignNow offers extensive integrations with various software applications, enhancing its functionality. Whether you use CRM systems, cloud storage, or productivity tools, airSlate SignNow seamlessly connects with these platforms for a cohesive experience. This ability to integrate is a signNow advantage of the 2b features.
- 
                                
                                    
                                    
                                    What benefits can businesses expect when using airSlate SignNow?
                                
                                Businesses using airSlate SignNow can expect increased efficiency and reduced turnaround time for document signing. The ease of use and accessibility of the platform enable teams to focus on important tasks rather than logistics. The comprehensive benefits of these 2b features truly transform the way organizations handle documentation.
- 
                                
                                    
                                    
                                    How can I get started with airSlate SignNow?
                                
                                Getting started with airSlate SignNow is simple and straightforward. You can sign up for a free trial to explore the features and understand how the platform fits your needs. Taking advantage of the 2b tools will help you quickly dissect your workflow and implement effective document signing practices.
Get more for 5 format legal printable
- Fl 478 form
- Fl 666 form
- Jv 820 form
- Gc 240 order appointing guardian of minor judicial council forms courts ca
- Jv 403 sibling attachment contact and placement judicial council forms courts ca
- Court transfer form
- Tr 510 notice and waiver of rights and request for remote video proceeding judicial council forms courts ca
- Jv826 form
Find out other 2b address name
- Sign Kentucky Construction Medical History Mobile
- Help Me With Sign Kentucky Construction Medical History
- Sign Construction PDF Maryland Mobile
- How Can I Sign Kentucky Construction Medical History
- Sign Kentucky Construction Medical History Now
- Can I Sign Kentucky Construction Medical History
- Sign Construction PDF Maryland Now
- Sign Kentucky Construction Medical History Later
- Sign Construction Word Maryland Online
- Sign Kentucky Construction Medical History Myself
- Sign Construction PDF Maryland Later
- Sign Construction Word Maryland Computer
- Sign Construction Word Maryland Mobile
- Sign Kentucky Construction Medical History Free
- Sign Construction Word Maryland Later
- Sign Construction Word Maryland Now
- Sign Construction PDF Maryland Myself
- Sign Kentucky Construction Medical History Secure
- Sign Construction Word Maryland Myself
- Sign Construction Word Maryland Free