
Sf 424b 1997-2025 Form


What is the SF 424B?
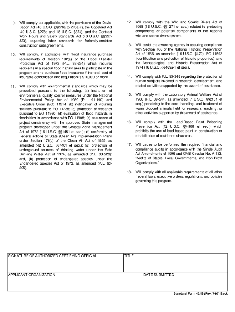
The SF 424B, or Standard Form 424B, is a legal document used primarily for grant applications in the United States. This form is designed to provide assurances for non-construction programs, ensuring that applicants comply with federal regulations. It is essential for organizations seeking federal funding to demonstrate their commitment to non-discrimination standards and other legal requirements. The SF 424B is often part of a larger application package and is crucial for the approval of funding requests.
How to Use the SF 424B
Using the SF 424B involves several key steps. First, ensure you have the most current version of the form, as outdated forms may not be accepted. Fill out the required fields accurately, including organizational information and assurances related to the program. It is important to review the instructions provided with the form carefully, as they outline the necessary attachments and additional documentation required for submission. After completing the form, it can be submitted electronically or via mail, depending on the specific requirements of the funding agency.
Steps to Complete the SF 424B
Completing the SF 424B involves a systematic approach:
- Obtain the latest version of the SF 424B from a reliable source.
- Review the guidelines to understand the required information and attachments.
- Fill in all necessary fields, ensuring accuracy and completeness.
- Gather any supplementary documents that support your application.
- Submit the form according to the specified method, either online or by mail.
Legal Use of the SF 424B
The legal use of the SF 424B is critical for compliance with federal regulations. This form serves as a binding agreement that the applicant will adhere to the assurances outlined, including non-discrimination and environmental standards. Organizations must ensure that they understand the legal implications of the form and maintain records of compliance. Failure to comply with the assurances can result in penalties, including the loss of funding or legal action.
Key Elements of the SF 424B
Key elements of the SF 424B include:
- Assurances regarding non-discrimination in program delivery.
- Commitment to comply with federal laws and regulations.
- Signature of an authorized representative of the organization.
- Details about the specific program or project for which funding is requested.
Form Submission Methods
The SF 424B can be submitted through various methods, depending on the requirements of the funding agency. Common submission methods include:
- Online submission via the agency's designated portal.
- Mailing a hard copy of the completed form to the appropriate address.
- In-person submission, if applicable, at designated agency offices.
Examples of Using the SF 424B
Examples of using the SF 424B include:
- Non-profit organizations applying for federal grants to support community programs.
- Educational institutions seeking funding for research projects.
- Government agencies applying for funds to implement public service initiatives.
Quick guide on how to complete form 424b
Uncover the most efficient method to complete and endorse your form 424b
Are you still spending time crafting your official documents on paper instead of online? airSlate SignNow provides a superior way to finalize and authorize your sf 424b form and related forms for public services. Our advanced electronic signature solution equips you with all necessary tools to handle documentation swiftly and in compliance with regulatory standards - robust PDF editing, management, safeguarding, signing, and sharing functionalities, all accessible through a user-friendly interface.
Only a few steps are needed to complete and endorse your sf 424b:
- Upload the editable template to the editor by utilizing the Get Form button.
- Review the information required in your sf 424b assurances for non construction programs.
- Move between the fields using the Next option to ensure nothing is overlooked.
- Employ Text, Check, and Cross tools to fill in the details.
- Refresh the content with Text boxes or Images from the upper toolbar.
- Emphasize what is signNow or Obscure parts that are no longer relevant.
- Select Sign to create a legally binding electronic signature using your preferred method.
- Insert the Date alongside your signature and conclude your task with the Done button.
Store your completed sf424b form in the Documents section of your profile, download it, or transfer it to your preferred cloud storage. Our service additionally provides flexible file sharing options. There’s no requirement to print your forms when you need to submit them to the relevant public office - utilize email, fax, or request a USPS “snail mail” delivery from your account. Give it a go today!
Create this form in 5 minutes or less
FAQs 424b
-
Do military members have to pay any fee for leave or fiancee forms?
NOOOOOOO. You are talking to a military romance scammer. I received an email from the US Army that directly answers your question that is pasted below please keep reading.I believe you are the victim of a military Romance Scam whereas the person you are talking to is a foreign national posing as an American Soldier claiming to be stationed overseas on a peacekeeping mission. That's the key to the scam they always claim to be on a peacekeeping mission.Part of their scam is saying that they have no access to their money that their mission is highly dangerous.If your boyfriend girlfriend/future husband/wife is asking you to do the following or has exhibited this behavior, it is a most likely a scam:Moves to private messaging site immediately after meeting you on Facebook or SnapChat or Instagram or some dating or social media site. Often times they delete the site you met them on right after they asked you to move to a more private messaging siteProfesses love to you very quickly & seems to quote poems and song lyrics along with using their own sort of broken language, as they profess their love and devotion quickly. They also showed concern for your health and love for your family.Promises marriage as soon as he/she gets to state for leave that they asked you to pay for.They Requests money (wire transfers) and Amazon, iTune ,Verizon, etc gift cards, for medicine, religious practices, and leaves to come home, internet access, complete job assignments, help sick friend, get him out of trouble, or anything that sounds fishy.The military does provide all the soldier needs including food medical Care and transportation for leave. Trust me, I lived it, you are probably being scammed. I am just trying to show you examples that you are most likely being connned.Below is an email response I received after I sent an inquiry to the US government when I discovered I was scammed. I received this wonderful response back with lots of useful links on how to find and report your scammer. And how to learn more about Romance Scams.Right now you can also copy the picture he gave you and do a google image search and you will hopefully see the pictures of the real person he is impersonating. this doesn't always work and take some digging. if you find the real person you can direct message them and alert them that their image is being used for scamming.Good Luck to you and I'm sorry this may be happening to you. please continue reading the government response I received below it's very informative. You have contacted an email that is monitored by the U.S. Army Criminal Investigation Command. Unfortunately, this is a common concern. We assure you there is never any reason to send money to anyone claiming to be a Soldier online. If you have only spoken with this person online, it is likely they are not a U.S. Soldier at all. If this is a suspected imposter social media profile, we urge you to report it to that platform as soon as possible. Please continue reading for more resources and answers to other frequently asked questions: How to report an imposter Facebook profile: Caution-https://www.facebook.com/help/16... < Caution-https://www.facebook.com/help/16... > Answers to frequently asked questions: - Soldiers and their loved ones are not charged money so that the Soldier can go on leave. - Soldiers are not charged money for secure communications or leave. - Soldiers do not need permission to get married. - Soldiers emails are in this format: john.doe.mil@mail.mil < Caution-mailto: john.doe.mil@mail.mil > anything ending in .us or .com is not an official email account. - Soldiers have medical insurance, which pays for their medical costs when treated at civilian health care facilities worldwide – family and friends do not need to pay their medical expenses. - Military aircraft are not used to transport Privately Owned Vehicles. - Army financial offices are not used to help Soldiers buy or sell items of any kind. - Soldiers deployed to Combat Zones do not need to solicit money from the public to feed or house themselves or their troops. - Deployed Soldiers do not find large unclaimed sums of money and need your help to get that money out of the country. Anyone who tells you one of the above-listed conditions/circumstances is true is likely posing as a Soldier and trying to steal money from you. We would urge you to immediately cease all contact with this individual. For more information on avoiding online scams and to report this crime, please see the following sites and articles: This article may help clarify some of the tricks social media scammers try to use to take advantage of people: Caution-https://www.army.mil/article/61432/< Caution-https://www.army.mil/article/61432/> CID advises vigilance against 'romance scams,' scammers impersonating Soldiers Caution-https://www.army.mil/article/180749 < Caution-https://www.army.mil/article/180749 > FBI Internet Crime Complaint Center: Caution-http://www.ic3.gov/default.aspx< Caution-http://www.ic3.gov/default.aspx> U.S. Army investigators warn public against romance scams: Caution-https://www.army.mil/article/130...< Caution-https://www.army.mil/article/130...> DOD warns troops, families to be cybercrime smart -Caution-http://www.army.mil/article/1450...< Caution-http://www.army.mil/article/1450...> Use caution with social networking Caution-https://www.army.mil/article/146...< Caution-https://www.army.mil/article/146...> Please see our frequently asked questions section under scams and legal issues. Caution-http://www.army.mil/faq/ < Caution-http://www.army.mil/faq/ > or visit Caution-http://www.cid.army.mil/ < Caution-http://www.cid.army.mil/ >. The challenge with most scams is determining if an individual is a legitimate member of the US Army. Based on the Privacy Act of 1974, we cannot provide this information. If concerned about a scam you may contact the Better Business Bureau (if it involves a solicitation for money), or local law enforcement. If you're involved in a Facebook or dating site scam, you are free to contact us direct; (571) 305-4056. If you have a social security number, you can find information about Soldiers online at Caution-https://www.dmdc.osd.mil/appj/sc... < Caution-https://www.dmdc.osd.mil/appj/sc... > . While this is a free search, it does not help you locate a retiree, but it can tell you if the Soldier is active duty or not. If more information is needed such as current duty station or location, you can contact the Commander Soldier's Records Data Center (SRDC) by phone or mail and they will help you locate individuals on active duty only, not retirees. There is a fee of $3.50 for businesses to use this service. The check or money order must be made out to the U.S. Treasury. It is not refundable. The address is: Commander Soldier's Records Data Center (SRDC) 8899 East 56th Street Indianapolis, IN 46249-5301 Phone: 1-866-771-6357 In addition, it is not possible to remove social networking site profiles without legitimate proof of identity theft or a scam. If you suspect fraud on this site, take a screenshot of any advances for money or impersonations and report the account on the social networking platform immediately. Please submit all information you have on this incident to Caution-www.ic3.gov < Caution-http://www.ic3.gov > (FBI website, Internet Criminal Complaint Center), immediately stop contact with the scammer (you are potentially providing them more information which can be used to scam you), and learn how to protect yourself against these scams at Caution-http://www.ftc.gov < Caution-http://www.ftc.gov > (Federal Trade Commission's website)
-
How can I fill out Google's intern host matching form to optimize my chances of receiving a match?
I was selected for a summer internship 2016.I tried to be very open while filling the preference form: I choose many products as my favorite products and I said I'm open about the team I want to join.I even was very open in the location and start date to get host matching interviews (I negotiated the start date in the interview until both me and my host were happy.) You could ask your recruiter to review your form (there are very cool and could help you a lot since they have a bigger experience).Do a search on the potential team.Before the interviews, try to find smart question that you are going to ask for the potential host (do a search on the team to find nice and deep questions to impress your host). Prepare well your resume.You are very likely not going to get algorithm/data structure questions like in the first round. It's going to be just some friendly chat if you are lucky. If your potential team is working on something like machine learning, expect that they are going to ask you questions about machine learning, courses related to machine learning you have and relevant experience (projects, internship). Of course you have to study that before the interview. Take as long time as you need if you feel rusty. It takes some time to get ready for the host matching (it's less than the technical interview) but it's worth it of course.
-
How do I fill out the form of DU CIC? I couldn't find the link to fill out the form.
Just register on the admission portal and during registration you will get an option for the entrance based course. Just register there. There is no separate form for DU CIC.
-
How do you know if you need to fill out a 1099 form?
Assuming that you are talking about 1099-MISC. Note that there are other 1099s.check this post - Form 1099 MISC Rules & RegulationsQuick answer - A Form 1099 MISC must be filed for each person to whom payment is made of:$600 or more for services performed for a trade or business by people not treated as employees;Rent or prizes and awards that are not for service ($600 or more) and royalties ($10 or more);any fishing boat proceeds,gross proceeds of $600, or more paid to an attorney during the year, orWithheld any federal income tax under the backup withholding rules regardless of the amount of the payment, etc.
-
How can I make it easier for users to fill out a form on mobile apps?
I’ll tell you a secret - you can thank me later for this.If you want to make the form-filling experience easy for a user - make sure that you have a great UI to offer.Everything boils down to UI at the end.Axonator is one of the best mobile apps to collect data since it offers powerful features bundled with a simple UI.The problem with most of the mobile form apps is that they are overloaded with features that aren’t really necessary.The same doesn’t hold true for Axonator. It has useful features but it is very unlikely that the user will feel overwhelmed in using them.So, if you are inclined towards having greater form completion rates for your survey or any data collection projects, then Axonator is the way to go.Apart from that, there are other features that make the data collection process faster like offline data collection, rich data capture - audio, video, images, QR code & barcode data capture, live location & time capture, and more!Check all the features here!You will be able to complete more surveys - because productivity will certainly shoot up.Since you aren’t using paper forms, errors will drop signNowly.The cost of the paper & print will be saved - your office expenses will drop dramatically.No repeat work. No data entry. Time & money saved yet again.Analytics will empower you to make strategic decisions and explore new revenue opportunities.The app is dirt-cheap & you don’t any training to use the app. They come in with a smooth UI. Forget using, even creating forms for your apps is easy on the platform. Just drag & drop - and it’s ready for use. Anyone can build an app under hours.
-
When do I have to learn how to fill out a W-2 form?
Form W-2 is an obligatory form to be completed by every employer. Form W-2 doesn’t have to be filled out by the employee. It is given to inform the employee about the amount of his annual income and taxes withheld from it.You can find a lot of information here: http://bit.ly/2NjjlJi
Related searches to sf 424 b
Create this form in 5 minutes!
How to create an eSignature for the form sf 424b
How to create an electronic signature for your 424b Form online
How to make an eSignature for your 424b Form in Google Chrome
How to create an electronic signature for putting it on the 424b Form in Gmail
How to make an electronic signature for the 424b Form right from your mobile device
How to generate an eSignature for the 424b Form on iOS
How to create an eSignature for the 424b Form on Android OS
People also ask 424b assurances non construction programs
-
What is the sf 424b form and how is it used?
The sf 424b form is a mandatory document used in federal grant applications to ensure compliance with specific regulations. This form discloses essential information about the proposed project and its funding. Proper completion of the sf 424b is crucial for applicants to receive approval for federal funding.
-
How can airSlate SignNow help me with the sf 424b form?
airSlate SignNow simplifies the process of filling out and signing the sf 424b form electronically. With our user-friendly interface, you can easily generate and manage your documents online. This ensures that you maintain compliance while streamlining your grant application workflow.
-
What are the pricing options for using airSlate SignNow for the sf 424b?
airSlate SignNow offers competitive pricing plans that cater to different business needs, making it affordable to handle documents like the sf 424b. We provide flexible subscription options, ensuring you can choose a plan that fits your budget. Additionally, our services include a free trial so you can test the platform before committing.
-
Does airSlate SignNow support integrations for managing the sf 424b document?
Yes, airSlate SignNow seamlessly integrates with various applications to enhance the management of your sf 424b document. Whether you need to connect with cloud storage solutions or project management tools, our integration capabilities will help improve your workflow. This allows for efficient data handling and document sharing.
-
What are the key benefits of using airSlate SignNow for the sf 424b?
Using airSlate SignNow for the sf 424b enhances efficiency, security, and compliance. Our platform allows for quick document creation, eSigning, and sharing, minimizing delays in your application process. With built-in security features, you can ensure that sensitive information remains protected throughout the lifecycle of the document.
-
Can I track the status of my sf 424b form with airSlate SignNow?
Absolutely! airSlate SignNow provides tracking features that allow you to monitor the status of your sf 424b form at every stage of the process. You can see when the document is viewed, signed, or completed, ensuring you stay informed and can follow up as necessary.
-
Is it easy to collaborate with team members on the sf 424b using airSlate SignNow?
Yes, airSlate SignNow makes collaboration on the sf 424b form easy and efficient. You can invite team members to review and sign the document electronically, allowing for real-time feedback and updates. This collaborative approach ensures that everyone involved stays aligned and contributes effectively to the application process.
Get more for omb standard form 424b
Find out other usfs sf 424b
- Electronic signature New Hampshire Construction Business Letter Template Computer
- Electronic signature New Hampshire Construction Business Letter Template Mobile
- Electronic signature New Hampshire Construction Business Letter Template Now
- Electronic signature New Hampshire Construction Business Letter Template Later
- Electronic signature Florida Doctors Business Associate Agreement Online
- Electronic signature New Hampshire Construction Business Letter Template Myself
- Electronic signature New Hampshire Construction Business Letter Template Free
- Electronic signature Delaware Doctors Separation Agreement Online
- Electronic signature New Hampshire Construction Business Letter Template Secure
- Electronic signature Florida Doctors Business Associate Agreement Computer
- Electronic signature New Hampshire Construction Business Letter Template Fast
- Electronic signature New Hampshire Construction Business Letter Template Simple
- Electronic signature Florida Doctors Business Associate Agreement Mobile
- Electronic signature New Hampshire Construction Business Letter Template Easy
- Electronic signature Delaware Doctors Separation Agreement Computer
- Electronic signature New Hampshire Construction Business Letter Template Safe
- Electronic signature Florida Doctors Business Associate Agreement Now
- Electronic signature Delaware Doctors Separation Agreement Mobile
- How To Electronic signature New Hampshire Construction Business Letter Template
- Electronic signature Florida Doctors Business Associate Agreement Later