
SUBCONTRACTOR or MATERIALMANS REQUEST REGARDING OWNER Form


What is the SUBCONTRACTOR OR MATERIALMANS REQUEST REGARDING OWNER
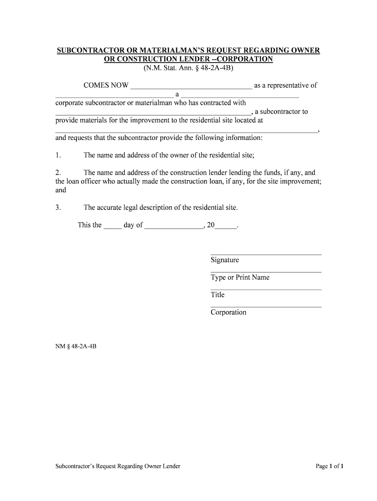
The subcontractor or materialmans request regarding owner is a formal document used primarily in the construction industry. It allows subcontractors or material suppliers to request payment directly from the property owner for services rendered or materials supplied. This request is crucial for ensuring that all parties involved in a construction project are aware of outstanding payments and obligations. It serves as a protective measure for subcontractors and suppliers, ensuring they receive compensation for their contributions to the project.
Key elements of the SUBCONTRACTOR OR MATERIALMANS REQUEST REGARDING OWNER
This form typically includes several essential components to ensure its effectiveness and legal validity:
- Contact Information: Names and addresses of the subcontractor, materialman, and property owner.
- Description of Work or Materials: A detailed account of the services performed or materials supplied, including quantities and costs.
- Payment Amount Requested: The total amount due for the work or materials provided.
- Payment Terms: Information regarding payment deadlines and methods.
- Signature: The subcontractor or materialman must sign the document to validate the request.
Steps to complete the SUBCONTRACTOR OR MATERIALMANS REQUEST REGARDING OWNER
Completing the subcontractor or materialmans request regarding owner requires careful attention to detail. Here are the steps to follow:
- Gather all necessary information, including contact details and project specifics.
- Clearly outline the services provided or materials supplied, including any relevant invoices.
- Calculate the total amount due and ensure it aligns with any prior agreements.
- Review the document for accuracy, ensuring all information is complete and correct.
- Sign the document to confirm the request and submit it to the property owner.
How to use the SUBCONTRACTOR OR MATERIALMANS REQUEST REGARDING OWNER
This form is utilized when a subcontractor or materialman seeks payment directly from the owner of a property. The process typically begins with the subcontractor or supplier filling out the request form accurately. Once completed, it should be delivered to the owner, either in person or via a secure digital method. Ensuring that the request is sent promptly after work completion or material delivery is essential for maintaining cash flow and project timelines.
Legal use of the SUBCONTRACTOR OR MATERIALMANS REQUEST REGARDING OWNER
The legal validity of this form hinges on compliance with state laws and regulations governing construction contracts and payment requests. It is important to ensure that the document is completed accurately and submitted within the required timeframes. Many states have specific laws regarding lien rights, which can affect the enforceability of the request. Consulting with a legal professional familiar with construction law can provide clarity on these matters.
State-specific rules for the SUBCONTRACTOR OR MATERIALMANS REQUEST REGARDING OWNER
Each state may have unique regulations regarding the use of the subcontractor or materialmans request regarding owner. These rules can dictate the format of the request, the timeline for submission, and the required content. It is essential for subcontractors and materialmen to familiarize themselves with their state's laws to ensure compliance and protect their rights. Resources such as state construction boards or legal counsel can provide guidance on these specific requirements.
Quick guide on how to complete subcontractor or materialmans request regarding owner
Effortlessly prepare [SKS] on any device
Digital document management has gained signNow traction among businesses and individuals. It offers an ideal eco-friendly alternative to conventional printed and signed documents, allowing you to access the necessary form and securely store it online. airSlate SignNow equips you with all the tools required to create, edit, and electronically sign your documents swiftly and without delays. Handle [SKS] on any platform using airSlate SignNow's Android or iOS applications and simplify any document-based tasks today.
The easiest way to modify and eSign [SKS] with ease
- Locate [SKS] and click Get Form to begin.
- Use the tools we offer to complete your form.
- Emphasize pertinent sections of the documents or redact sensitive content using tools specifically provided by airSlate SignNow for that purpose.
- Create your signature using the Sign tool, which only takes seconds and carries the same legal validity as a traditional handwritten signature.
- Review the information and click on the Done button to apply your changes.
- Choose your preferred method for delivering your form, whether by email, SMS, or invitation link, or download it to your computer.
Eliminate worries about lost or misplaced files, tedious form searches, or errors that necessitate printing new document versions. airSlate SignNow caters to all your document management requirements in just a few clicks from any device of your preference. Modify and eSign [SKS] and ensure effective communication at every phase of the form preparation process with airSlate SignNow.
Create this form in 5 minutes or less
Related searches to SUBCONTRACTOR OR MATERIALMANS REQUEST REGARDING OWNER
Create this form in 5 minutes!
People also ask
-
What is the purpose of a SUBCONTRACTOR OR MATERIALMANS REQUEST REGARDING OWNER?
A SUBCONTRACTOR OR MATERIALMANS REQUEST REGARDING OWNER is a formal document used to communicate requests for payment or necessary materials in construction projects. This request ensures that subcontractors or material suppliers can present their claims to the owner for prompt processing, leading to smoother project management and fewer disputes.
-
How can airSlate SignNow assist with SUBCONTRACTOR OR MATERIALMANS REQUEST REGARDING OWNER?
airSlate SignNow provides an efficient platform for creating, sending, and eSigning SUBCONTRACTOR OR MATERIALMANS REQUEST REGARDING OWNER documents. With our user-friendly interface and customizable templates, you can quickly streamline your documentation process and ensure all necessary parties are on the same page.
-
What are the pricing options for using airSlate SignNow for my SUBCONTRACTOR OR MATERIALMANS REQUEST REGARDING OWNER?
airSlate SignNow offers competitive pricing plans suitable for businesses of all sizes. You can choose from monthly or annual subscriptions, providing flexibility to manage your SUBCONTRACTOR OR MATERIALMANS REQUEST REGARDING OWNER needs without breaking your budget.
-
Is there a free trial available for airSlate SignNow?
Yes, airSlate SignNow offers a free trial that allows you to explore features related to SUBCONTRACTOR OR MATERIALMANS REQUEST REGARDING OWNER and more. This trial period helps you evaluate the platform's efficiency before making a commitment.
-
What features does airSlate SignNow offer for SUBCONTRACTOR OR MATERIALMANS REQUEST REGARDING OWNER?
Key features include document templates, easy eSigning, and real-time collaboration tools, all tailored for SUBCONTRACTOR OR MATERIALMANS REQUEST REGARDING OWNER. These features signNowly enhance workflow efficiency and ensure seamless communication between all parties involved.
-
Can airSlate SignNow integrate with other software I use?
Absolutely! airSlate SignNow offers integrations with a variety of popular tools and software that you may already be using. This compatibility ensures that you can manage your SUBCONTRACTOR OR MATERIALMANS REQUEST REGARDING OWNER process without having to switch between platforms, enhancing overall productivity.
-
How secure is the airSlate SignNow platform for handling SUBCONTRACTOR OR MATERIALMANS REQUEST REGARDING OWNER documents?
Security is a top priority at airSlate SignNow. Our platform complies with industry-standard encryption protocols to ensure that your SUBCONTRACTOR OR MATERIALMANS REQUEST REGARDING OWNER and other documents are protected, giving you peace of mind while managing sensitive information.
Get more for SUBCONTRACTOR OR MATERIALMANS REQUEST REGARDING OWNER
Find out other SUBCONTRACTOR OR MATERIALMANS REQUEST REGARDING OWNER
- How Do I eSign Rhode Island Rental house lease agreement
- Help Me With eSign Rhode Island Rental house lease agreement
- eSign Rhode Island Rental house lease agreement Later
- How Can I eSign Rhode Island Rental house lease agreement
- Can I eSign Rhode Island Rental house lease agreement
- eSign Rhode Island Rental house lease agreement Myself
- eSign South Carolina Rental house lease agreement Computer
- eSign South Carolina Rental house lease agreement Online
- eSign Hawaii Rental agreement lease Online
- eSign South Carolina Rental house lease agreement Mobile
- eSign Rhode Island Rental house lease agreement Free
- eSign South Carolina Rental house lease agreement Now
- eSign Hawaii Rental agreement lease Computer
- eSign South Carolina Rental house lease agreement Later
- eSign South Carolina Rental house lease agreement Myself
- eSign South Carolina Rental house lease agreement Free
- eSign Rhode Island Rental house lease agreement Secure
- eSign Hawaii Rental agreement lease Mobile
- eSign South Carolina Rental house lease agreement Secure
- eSign South Carolina Rental house lease agreement Fast