
Notice to Federal Government Garnishee Washington Form


What is the Notice To Federal Government Garnishee Washington
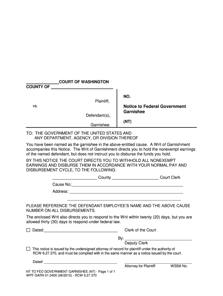
The Notice To Federal Government Garnishee Washington is a legal document used to inform federal agencies about a garnishment order. This form is typically issued when a creditor seeks to collect a debt by garnishing wages or funds from a debtor's federal payments. It serves as a formal notification to the federal government that a portion of the debtor's payments should be withheld to satisfy the debt. Understanding this form is crucial for both creditors and debtors as it outlines the legal obligations and processes involved in garnishment actions.
Steps to complete the Notice To Federal Government Garnishee Washington
Completing the Notice To Federal Government Garnishee Washington involves several important steps. First, gather all necessary information, including the debtor's details, the creditor's information, and specifics about the debt. Next, accurately fill out the form, ensuring that all fields are completed to avoid delays. It is essential to provide clear and precise information to facilitate the processing of the garnishment. After filling out the form, review it for accuracy before submission. Finally, submit the completed notice to the appropriate federal agency as specified in the garnishment order.
Key elements of the Notice To Federal Government Garnishee Washington
The key elements of the Notice To Federal Government Garnishee Washington include the debtor's name, Social Security number, and address. It also requires the creditor's name and contact information, along with details about the debt being collected. Additionally, the form must specify the amount to be garnished and the frequency of the garnishment. Clear identification of the federal agency involved is also necessary. These elements ensure that the garnishment process is legally compliant and that all parties are properly informed.
Legal use of the Notice To Federal Government Garnishee Washington
The legal use of the Notice To Federal Government Garnishee Washington is governed by federal and state laws regarding debt collection and garnishment. This form must be executed in accordance with the Fair Debt Collection Practices Act (FDCPA) and other relevant regulations. Proper use of this notice ensures that creditors can legally collect debts while protecting the rights of debtors. It is important for both parties to understand their rights and obligations under the law to avoid potential legal disputes.
Form Submission Methods
The Notice To Federal Government Garnishee Washington can be submitted through various methods, depending on the specific federal agency involved. Common submission methods include online filing, mailing the completed form, or delivering it in person. Each method may have different requirements and processing times, so it is advisable to check the specific guidelines provided by the agency to ensure timely and proper submission.
Examples of using the Notice To Federal Government Garnishee Washington
Examples of using the Notice To Federal Government Garnishee Washington can include situations where a creditor is seeking to garnish wages from a federal employee or to collect on federal benefits such as Social Security payments. In these cases, the creditor must complete the notice accurately and submit it to the relevant federal agency. These examples highlight the practical applications of the form and the importance of following legal procedures to ensure compliance and effectiveness in debt collection.
Quick guide on how to complete notice to federal government garnishee washington
Easily prepare [SKS] on any device
Digital document management has gained popularity among companies and individuals. It offers an ideal eco-friendly substitute for traditional printed and signed paperwork, allowing you to access the right format and securely save it online. airSlate SignNow provides all the tools needed to create, modify, and electronically sign your documents quickly without any hold-ups. Handle [SKS] on any device using airSlate SignNow's Android or iOS applications and enhance any document-driven process today.
The simplest method to edit and electronically sign [SKS] with ease
- Find [SKS] and click Get Form to begin.
- Use the tools we offer to complete your form.
- Select essential sections of your documents or redact sensitive information using the tools that airSlate SignNow provides specifically for this purpose.
- Generate your signature with the Sign feature, which takes just seconds and holds the same legal validity as a conventional wet ink signature.
- Review all the details and click the Done button to save your adjustments.
- Select how you wish to send your form, whether by email, SMS, or invitation link, or download it to your computer.
Forget about lost or misplaced documents, tedious form searches, and mistakes that necessitate printing new copies. airSlate SignNow meets your document management needs in just a few clicks from any device you prefer. Modify and electronically sign [SKS] to ensure excellent communication at every stage of your form preparation process with airSlate SignNow.
Create this form in 5 minutes or less
Related searches to Notice To Federal Government Garnishee Washington
Create this form in 5 minutes!
People also ask
-
What is a Notice To Federal Government Garnishee Washington?
A Notice To Federal Government Garnishee Washington is a legal document used to inform a federal agency that a portion of an employee's wages should be garnished for debt collection purposes. Understanding this document is crucial for employers and employees involved in wage garnishment processes.
-
How can airSlate SignNow help with managing a Notice To Federal Government Garnishee Washington?
airSlate SignNow streamlines the process of creating, signing, and sharing a Notice To Federal Government Garnishee Washington. With our user-friendly interface, you can quickly prepare and execute these documents, ensuring compliance and reducing turnaround time.
-
What are the pricing options for airSlate SignNow related to Notice To Federal Government Garnishee Washington?
Our pricing for airSlate SignNow is competitive and designed to fit various business needs. You can choose from different plans based on the features you require, ensuring you get the best value for managing documents like the Notice To Federal Government Garnishee Washington.
-
What features does airSlate SignNow offer for handling legal documents?
airSlate SignNow includes features such as eSignature, document templates, and secure cloud storage. These features are particularly beneficial when working with legal documents such as the Notice To Federal Government Garnishee Washington, ensuring efficiency and compliance.
-
Can I integrate airSlate SignNow with other software for managing garnishment notices?
Yes, airSlate SignNow offers integrations with various popular software solutions, allowing you to seamlessly manage your Notice To Federal Government Garnishee Washington alongside your existing tools. This enhances your workflow and improves compliance with legal requirements.
-
What are the benefits of using airSlate SignNow for garnishee notices?
Using airSlate SignNow for your Notice To Federal Government Garnishee Washington provides several benefits, including faster document processing and reduced paper waste. Additionally, the easy-to-use platform enhances collaboration and ensures that all necessary signatures are collected in a secure manner.
-
Is airSlate SignNow legally compliant for federal garnishment notices?
Absolutely, airSlate SignNow is designed to comply with federal regulations, making it a safe choice for handling your Notice To Federal Government Garnishee Washington. We ensure that our processes align with legal standards, providing peace of mind for businesses and individuals.
Get more for Notice To Federal Government Garnishee Washington
- Carleton university map form
- Surat akuan majikan perkeso form
- Mini application financial security bank form
- Upward performance appraisal university of miami umshare miami
- Fire alarm certification form 44968005
- Reading a z books pdf form
- Japanese visa extension form
- Gun blood unblocked 429218518 form
Find out other Notice To Federal Government Garnishee Washington
- Electronic signature Florida Profit and Loss Statement Computer
- Electronic signature Maine 12 Month Sales Forecast Myself
- Electronic signature Florida Profit and Loss Statement Mobile
- Electronic signature Maine 12 Month Sales Forecast Free
- Electronic signature Florida Profit and Loss Statement Now
- Electronic signature Florida Profit and Loss Statement Later
- Electronic signature Florida Profit and Loss Statement Myself
- Electronic signature Florida Profit and Loss Statement Free
- Electronic signature Maine 12 Month Sales Forecast Secure
- Electronic signature Maryland 12 Month Sales Forecast Online
- Electronic signature Florida Profit and Loss Statement Secure
- Electronic signature Florida Profit and Loss Statement Fast
- Electronic signature Maine 12 Month Sales Forecast Fast
- Electronic signature Florida Profit and Loss Statement Simple
- Electronic signature Florida Profit and Loss Statement Easy
- Electronic signature Maryland 12 Month Sales Forecast Computer
- Electronic signature Florida Profit and Loss Statement Safe
- Electronic signature Maine 12 Month Sales Forecast Simple
- Electronic signature Maryland 12 Month Sales Forecast Mobile
- Electronic signature Maine 12 Month Sales Forecast Easy