
Subordination Agreement of Mortgage Georgia Form


What is the Subordination Agreement Of Mortgage Georgia
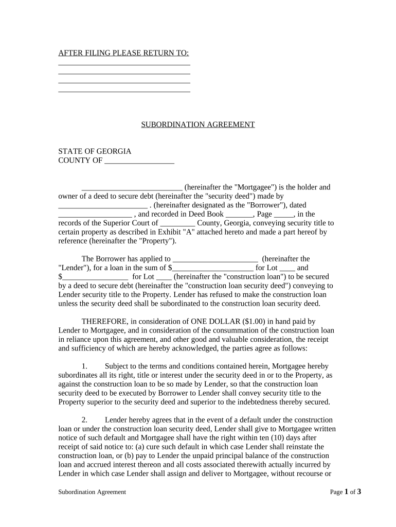
A Subordination Agreement of Mortgage in Georgia is a legal document that establishes the priority of mortgage liens on a property. This agreement allows a lender to subordinate their existing mortgage to a new loan, ensuring that the new loan takes precedence in case of default. This is particularly important in refinancing situations or when additional financing is required. By executing this agreement, the original lender agrees to allow the new lender to have a higher claim on the property, which can facilitate the borrower’s access to further funds.
Key Elements of the Subordination Agreement Of Mortgage Georgia
Several essential components make up a Subordination Agreement of Mortgage in Georgia. These include:
- Identification of Parties: The agreement must clearly identify all parties involved, including the borrower and lenders.
- Property Description: A detailed description of the property that is subject to the mortgage should be included.
- Subordination Clause: This clause explicitly states that the existing mortgage will be subordinate to the new loan.
- Signatures: All parties must sign the document for it to be legally binding.
- Date of Execution: The date when the agreement is signed is also crucial for establishing the timeline of priority.
Steps to Complete the Subordination Agreement Of Mortgage Georgia
Completing a Subordination Agreement of Mortgage in Georgia involves several key steps:
- Gather Information: Collect all necessary details about the existing mortgage and the new loan.
- Draft the Agreement: Prepare the agreement, ensuring all required elements are included.
- Review by Legal Counsel: It is advisable to have the document reviewed by a legal professional to ensure compliance with state laws.
- Obtain Signatures: All parties must sign the document in the presence of a notary public.
- File the Agreement: Submit the signed agreement to the appropriate county office for recording.
Legal Use of the Subordination Agreement Of Mortgage Georgia
The legal use of a Subordination Agreement of Mortgage in Georgia is governed by state laws and regulations. This document is typically used in situations where a borrower seeks additional financing and needs to adjust the priority of existing loans. It must comply with the Georgia Uniform Commercial Code and other relevant statutes to be enforceable. Proper execution and recording of the agreement are essential to ensure that all parties' rights are protected.
State-Specific Rules for the Subordination Agreement Of Mortgage Georgia
In Georgia, specific rules apply to the execution and recording of a Subordination Agreement of Mortgage. These include:
- Notarization: All signatures on the agreement must be notarized to be considered valid.
- Recording Requirements: The agreement must be recorded with the county clerk’s office where the property is located to establish public notice.
- Compliance with State Laws: The agreement must adhere to Georgia’s laws regarding mortgages and liens.
How to Obtain the Subordination Agreement Of Mortgage Georgia
Obtaining a Subordination Agreement of Mortgage in Georgia can be done through several methods. Borrowers may request a template from their lender, consult with a real estate attorney, or access legal document services online. It is important to ensure that any template used complies with Georgia state laws and includes all necessary elements to be legally binding. Customizing the agreement to fit the specific circumstances of the transaction is often advisable.
Quick guide on how to complete subordination agreement of mortgage georgia
Complete [SKS] seamlessly on any device
Online document management has gained traction among businesses and individuals. It offers an ideal eco-friendly substitute for conventional printed and signed documents, allowing you to access the right form and securely store it online. airSlate SignNow provides all the tools necessary to create, modify, and eSign your documents swiftly without delays. Handle [SKS] on any device with airSlate SignNow's Android or iOS applications and simplify any document-related process today.
How to modify and eSign [SKS] effortlessly
- Locate [SKS] and click on Get Form to begin.
- Utilize the tools we offer to fill out your form.
- Emphasize important sections of the documents or obscure sensitive information using the tools that airSlate SignNow provides specifically for that purpose.
- Create your eSignature with the Sign tool, which takes only seconds and holds the same legal validity as a traditional wet ink signature.
- Review all the information and click on the Done button to save your changes.
- Choose how you wish to send your form, whether by email, SMS, invite link, or download it to your computer.
Eliminate the worry of lost or misplaced documents, tedious form searches, or mistakes that require reprinting new document copies. airSlate SignNow addresses all your document management needs within a few clicks from your preferred device. Modify and eSign [SKS] and ensure excellent communication at any stage of your form preparation process with airSlate SignNow.
Create this form in 5 minutes or less
Related searches to Subordination Agreement Of Mortgage Georgia
Create this form in 5 minutes!
People also ask
-
What is a Subordination Agreement of Mortgage in Georgia?
A Subordination Agreement of Mortgage in Georgia is a legal document that allows one mortgage to take priority over another. This is essential when refinancing or obtaining additional financing. By understanding this agreement, borrowers can ensure their financial decisions align with their long-term goals.
-
How does airSlate SignNow assist with creating a Subordination Agreement of Mortgage in Georgia?
AirSlate SignNow simplifies the process of creating a Subordination Agreement of Mortgage in Georgia by providing easy-to-use templates. You can customize these templates to suit your needs and fill them out electronically. This reduces paperwork and encourages a quicker turnaround for your mortgage-related agreements.
-
What are the benefits of using airSlate SignNow for a Subordination Agreement of Mortgage in Georgia?
Using airSlate SignNow offers several benefits such as enhanced security, compliance with legal standards, and a user-friendly interface. Additionally, it speeds up the signing process, allowing you to execute your Subordination Agreement of Mortgage in Georgia without unnecessary delays. This efficiency can save you time and costs in the long run.
-
Are there any costs associated with using airSlate SignNow for a Subordination Agreement of Mortgage in Georgia?
AirSlate SignNow offers cost-effective pricing plans designed to accommodate various business needs. You can choose a plan that suits your budget while ensuring you have complete access to tools necessary for a Subordination Agreement of Mortgage in Georgia. Transparent pricing ensures there are no hidden fees.
-
Can I integrate airSlate SignNow with other tools I use for a Subordination Agreement of Mortgage in Georgia?
Yes, airSlate SignNow integrates seamlessly with various business applications, allowing you to streamline your workflow. This means you can easily manage your Subordination Agreement of Mortgage in Georgia alongside your existing tools, improving overall efficiency and document management.
-
Is the Subordination Agreement of Mortgage in Georgia legally binding when signed through airSlate SignNow?
Absolutely! A Subordination Agreement of Mortgage in Georgia signed through airSlate SignNow is legally binding, provided all parties follow electronic signature laws. Our platform adheres to strict compliance standards to ensure that your agreements hold up in court.
-
How secure is airSlate SignNow for handling a Subordination Agreement of Mortgage in Georgia?
AirSlate SignNow prioritizes security with advanced encryption and secure data storage protocols. Your Subordination Agreement of Mortgage in Georgia will be protected from unauthorized access, ensuring the confidentiality of your sensitive information throughout the signing process.
Get more for Subordination Agreement Of Mortgage Georgia
- Bookkeep service bookkeep contract template form
- Bookkeeper contract template form
- Boomerang child contract template form
- Booth rent contract template form
- Borrow contract template form
- Borrow car contract template form
- Borrow money contract template form
- Borrow money from a friend contract template form
Find out other Subordination Agreement Of Mortgage Georgia
- Electronic signature Pennsylvania Credit Card Donation Form Safe
- How Do I Electronic signature Rhode Island Credit Card Donation Form
- eSignature Colorado Agreement Online
- Help Me With Electronic signature Rhode Island Credit Card Donation Form
- How Can I Electronic signature Rhode Island Credit Card Donation Form
- Can I Electronic signature Rhode Island Credit Card Donation Form
- eSignature Colorado Agreement Computer
- Electronic signature Hawaii Volonteer Application Online
- Electronic signature Hawaii Volonteer Application Computer
- How To Electronic signature Hawaii Volonteer Application
- Electronic signature Hawaii Volonteer Application Mobile
- eSignature Colorado Agreement Mobile
- Electronic signature Hawaii Volonteer Application Now
- How Do I Electronic signature Hawaii Volonteer Application
- Electronic signature Hawaii Volonteer Application Later
- Electronic signature Hawaii Volonteer Application Myself
- eSignature Colorado Agreement Now
- Electronic signature Hawaii Volonteer Application Free
- Help Me With Electronic signature Hawaii Volonteer Application
- Electronic signature Hawaii Volonteer Application Secure