
Special Durable Power of Attorney for Bank Account Matters Indiana Form


What is the Special Durable Power Of Attorney For Bank Account Matters Indiana
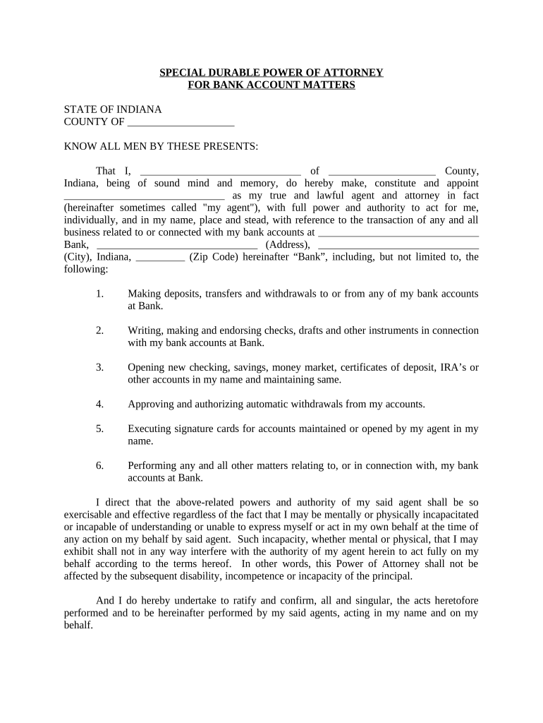
The Special Durable Power of Attorney for Bank Account Matters in Indiana is a legal document that allows an individual, known as the principal, to designate another person, referred to as the agent, to manage their bank account affairs. This document remains effective even if the principal becomes incapacitated, ensuring that the agent can handle financial matters without interruption. It is particularly useful for individuals who may face health issues or require assistance in managing their finances.
How to Use the Special Durable Power Of Attorney For Bank Account Matters Indiana
To utilize the Special Durable Power of Attorney for Bank Account Matters in Indiana, the principal must complete the form accurately, ensuring all necessary information is provided. The agent must be informed of their responsibilities and authority, which can include accessing bank accounts, making deposits, withdrawing funds, and managing transactions on behalf of the principal. It is essential to communicate openly between the principal and agent to avoid misunderstandings regarding the scope of authority granted.
Steps to Complete the Special Durable Power Of Attorney For Bank Account Matters Indiana
Completing the Special Durable Power of Attorney for Bank Account Matters in Indiana involves several key steps:
- Obtain the appropriate form, ensuring it meets Indiana state requirements.
- Fill in the principal's and agent's details, including names and addresses.
- Clearly outline the powers granted to the agent regarding bank account management.
- Sign the document in the presence of a notary public to validate it legally.
- Distribute copies of the signed document to the agent and relevant financial institutions.
Key Elements of the Special Durable Power Of Attorney For Bank Account Matters Indiana
Several key elements define the Special Durable Power of Attorney for Bank Account Matters in Indiana:
- Durability: The document remains valid even if the principal becomes incapacitated.
- Specificity: The powers granted should be clearly defined to avoid ambiguity.
- Agent's Authority: The agent must have the authority to act on behalf of the principal concerning bank account matters.
- Notarization: The document must be notarized to ensure its legal standing.
Legal Use of the Special Durable Power Of Attorney For Bank Account Matters Indiana
The Special Durable Power of Attorney for Bank Account Matters in Indiana is legally binding, provided it is executed according to state laws. It is essential to ensure that the document complies with Indiana's legal requirements, including proper notarization and the clear definition of the agent's powers. This legal framework safeguards the interests of both the principal and the agent, ensuring that financial matters are handled appropriately and ethically.
State-Specific Rules for the Special Durable Power Of Attorney For Bank Account Matters Indiana
Indiana has specific rules governing the use of the Special Durable Power of Attorney for Bank Account Matters. These include:
- The requirement for notarization to validate the document.
- The necessity for the principal to be of sound mind when executing the document.
- Specific language that must be included to ensure the document is recognized as durable.
Understanding these state-specific rules is crucial for ensuring the document's effectiveness and legality.
Quick guide on how to complete special durable power of attorney for bank account matters indiana
Complete [SKS] effortlessly on any device
Online document management has become increasingly popular among businesses and individuals. It offers an ideal eco-friendly alternative to conventional printed and signed documents, allowing you to obtain the correct form and safely store it online. airSlate SignNow provides all the features you need to create, modify, and eSign your documents swiftly without any hold-up. Manage [SKS] on any device with airSlate SignNow Android or iOS applications and simplify any document-related process today.
The easiest way to modify and eSign [SKS] without hassle
- Locate [SKS] and click on Get Form to initiate.
- Use the tools available to finalize your document.
- Emphasize pertinent sections of your documents or redact sensitive details with tools that airSlate SignNow specifically provides for this purpose.
- Create your signature using the Sign tool, which takes mere seconds and carries the same legal validity as a conventional wet ink signature.
- Review the information and then click on the Done button to save your changes.
- Select your preferred method for sending your form, whether by email, text message (SMS), invite link, or download it to your computer.
Eliminate concerns about lost or misplaced documents, tedious form hunting, or mistakes that require printing new document copies. airSlate SignNow meets all your document management needs in just a few clicks from any device you prefer. Modify and eSign [SKS] and ensure excellent communication at every stage of your form preparation process with airSlate SignNow.
Create this form in 5 minutes or less
Related searches to Special Durable Power Of Attorney For Bank Account Matters Indiana
Create this form in 5 minutes!
People also ask
-
What is a Special Durable Power Of Attorney For Bank Account Matters in Indiana?
A Special Durable Power Of Attorney For Bank Account Matters in Indiana is a legal document that allows an individual to designate another person to manage their financial affairs regarding bank accounts. This document remains effective even if the principal becomes incapacitated, ensuring that their banking needs are met without interruption.
-
How can airSlate SignNow help me create a Special Durable Power Of Attorney For Bank Account Matters in Indiana?
AirSlate SignNow provides a user-friendly platform to create a Special Durable Power Of Attorney For Bank Account Matters in Indiana. With customizable templates and easy-to-follow steps, you can complete the document efficiently and eSign it securely, making the process fast and straightforward.
-
What are the benefits of using airSlate SignNow for a Special Durable Power Of Attorney For Bank Account Matters in Indiana?
Using airSlate SignNow for a Special Durable Power Of Attorney For Bank Account Matters in Indiana offers several benefits, including time savings, enhanced security, and ease of access. You can manage your documents from anywhere, ensuring that your financial matters are handled promptly and efficiently.
-
Is there a cost associated with creating a Special Durable Power Of Attorney For Bank Account Matters in Indiana using airSlate SignNow?
Yes, there is a cost associated with utilizing airSlate SignNow for creating a Special Durable Power Of Attorney For Bank Account Matters in Indiana. Our pricing plans are designed to be cost-effective, catering to individuals and businesses alike, allowing you to choose the option that best suits your needs.
-
Can I customize my Special Durable Power Of Attorney For Bank Account Matters template on airSlate SignNow?
Absolutely! You can customize your Special Durable Power Of Attorney For Bank Account Matters template on airSlate SignNow. The platform allows you to add specific details and provisions so that it fully meets your needs and complies with Indiana state laws.
-
Is it necessary to have witnesses for a Special Durable Power Of Attorney For Bank Account Matters in Indiana?
In Indiana, it is advisable to have witnesses when executing a Special Durable Power Of Attorney For Bank Account Matters to ensure its validity. The state requires that at least one witness be present during the signing of the document, which can be easily facilitated through airSlate SignNow.
-
Does airSlate SignNow integrate with other tools for managing a Special Durable Power Of Attorney For Bank Account Matters in Indiana?
Yes, airSlate SignNow offers various integrations with tools that can assist in managing your Special Durable Power Of Attorney For Bank Account Matters in Indiana. This enables seamless organization and tracking of your documents, providing a comprehensive solution for your financial management needs.
Get more for Special Durable Power Of Attorney For Bank Account Matters Indiana
Find out other Special Durable Power Of Attorney For Bank Account Matters Indiana
- Can I eSignature Vermont Courts IOU
- eSignature Vermont Courts Last Will And Testament Now
- eSignature Vermont Courts Last Will And Testament Later
- eSignature Vermont Courts Last Will And Testament Myself
- eSignature Vermont Courts Last Will And Testament Free
- eSignature Vermont Courts Last Will And Testament Secure
- eSignature Virginia Courts Contract Online
- eSignature Vermont Courts Last Will And Testament Fast
- eSignature Vermont Courts Last Will And Testament Simple
- eSignature Virginia Courts Contract Computer
- eSignature Vermont Courts Last Will And Testament Easy
- eSignature Vermont Courts Last Will And Testament Safe
- eSignature Virginia Courts Contract Mobile
- Electronic signature Kentucky Banking Claim Online
- eSignature Virginia Courts Contract Now
- How To eSignature Vermont Courts Last Will And Testament
- How Do I eSignature Vermont Courts Last Will And Testament
- eSignature Virginia Courts Contract Later
- Help Me With eSignature Vermont Courts Last Will And Testament
- Electronic signature Kentucky Banking Claim Computer