
Warranty Deed from Husband and Wife to a Trust Michigan Form


What is the Warranty Deed From Husband And Wife To A Trust Michigan
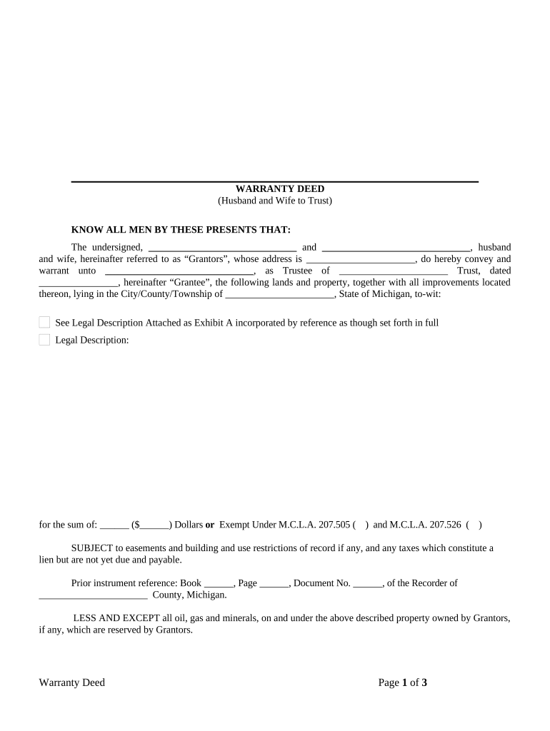
The warranty deed from husband and wife to a trust in Michigan is a legal document that transfers ownership of real property from a married couple to a trust. This type of deed ensures that the property is conveyed with a guarantee of clear title, meaning there are no undisclosed liens or encumbrances. The trust serves as a legal entity that can hold assets for the benefit of designated beneficiaries, providing flexibility in estate planning and asset management.
Key Elements of the Warranty Deed From Husband And Wife To A Trust Michigan
Several key elements must be included in the warranty deed to ensure its validity:
- Grantors: The names of the husband and wife transferring the property.
- Grantee: The name of the trust receiving the property.
- Legal Description: A detailed description of the property being transferred, including boundaries and location.
- Consideration: The value exchanged for the property, which can be nominal in some cases.
- Signatures: Both spouses must sign the document, often in the presence of a notary public.
- Notary Acknowledgment: A notary must verify the identities of the signers and witness the signing.
Steps to Complete the Warranty Deed From Husband And Wife To A Trust Michigan
Completing the warranty deed involves several important steps:
- Gather necessary information, including the names of the grantors and grantee, property details, and legal description.
- Draft the warranty deed, ensuring all required elements are included.
- Review the document for accuracy and completeness.
- Have both spouses sign the deed in front of a notary public.
- File the signed deed with the local county register of deeds office to make the transfer official.
Legal Use of the Warranty Deed From Husband And Wife To A Trust Michigan
This type of warranty deed is legally binding and is used primarily for estate planning purposes. By transferring property to a trust, the couple can manage their assets during their lifetime and dictate how those assets will be distributed upon their passing. It can also help avoid probate, making the process smoother for beneficiaries.
State-Specific Rules for the Warranty Deed From Husband And Wife To A Trust Michigan
In Michigan, specific rules govern the execution and recording of warranty deeds. The deed must be signed by both spouses, and it must be notarized to be valid. Additionally, the deed should be recorded with the county register of deeds to provide public notice of the transfer. Each county may have its own requirements regarding forms and fees, so it is advisable to check with local authorities.
How to Use the Warranty Deed From Husband And Wife To A Trust Michigan
Using the warranty deed involves filling out the form accurately and ensuring all required signatures are obtained. Once completed, the document should be filed with the appropriate county office to ensure legal recognition. It is essential to keep a copy of the filed deed for personal records and to provide proof of the property transfer when necessary.
Quick guide on how to complete warranty deed from husband and wife to a trust michigan
Effortlessly Complete [SKS] on Any Device
Digital document management has become increasingly popular among businesses and individuals. It offers an ideal eco-friendly substitute for traditional printed and signed documents, as you can access the correct format and securely store it online. airSlate SignNow provides you with all the tools necessary to create, modify, and electronically sign your documents swiftly without delays. Manage [SKS] on any device using airSlate SignNow Android or iOS applications and enhance any document-based procedure today.
How to Modify and Electronically Sign [SKS] Easily
- Find [SKS] and click on Get Form to commence.
- Utilize the tools we provide to finish your document.
- Emphasize pertinent sections of your documents or obscure sensitive data with tools that airSlate SignNow specifically offers for that purpose.
- Create your signature using the Sign tool, which takes just seconds and holds the same legal validity as a conventional handwritten signature.
- Verify all the details and click on the Done button to save your modifications.
- Choose how you wish to share your form: via email, text message (SMS), invitation link, or download it to your computer.
Forget about lost or misplaced documents, tedious form searches, or mistakes that require printing new document copies. airSlate SignNow meets your document management needs in just a few clicks from any device of your choice. Modify and electronically sign [SKS] to ensure excellent communication throughout your form preparation process with airSlate SignNow.
Create this form in 5 minutes or less
Related searches to Warranty Deed From Husband And Wife To A Trust Michigan
Create this form in 5 minutes!
People also ask
-
What is a Warranty Deed From Husband And Wife To A Trust in Michigan?
A Warranty Deed From Husband And Wife To A Trust in Michigan is a legal document that transfers property ownership from a married couple to a trust they have established. This type of deed ensures that the property is held for the benefit of the trust’s beneficiaries. It also provides a guarantee that the title is clear of any encumbrances.
-
How can airSlate SignNow help with creating a Warranty Deed From Husband And Wife To A Trust in Michigan?
airSlate SignNow simplifies the process of creating a Warranty Deed From Husband And Wife To A Trust in Michigan by offering easy-to-use templates and document assembly tools. With our platform, you can customize your deed efficiently and ensure that all necessary legal requirements are met.
-
What are the costs associated with using airSlate SignNow for a Warranty Deed From Husband And Wife To A Trust in Michigan?
Pricing for airSlate SignNow varies depending on the plan you choose. We offer flexible subscription options that provide access to features necessary for drafting a Warranty Deed From Husband And Wife To A Trust in Michigan. Contact us for detailed pricing based on your business needs.
-
Are there any specific features for creating a Warranty Deed From Husband And Wife To A Trust in Michigan using airSlate SignNow?
Yes, airSlate SignNow includes features tailored for real estate documents like the Warranty Deed From Husband And Wife To A Trust in Michigan. Users can take advantage of customizable templates, collaboration tools, and secure eSigning options to streamline the process.
-
What benefits can I expect from using airSlate SignNow for my Warranty Deed From Husband And Wife To A Trust in Michigan?
Using airSlate SignNow for your Warranty Deed From Husband And Wife To A Trust in Michigan offers benefits such as increased efficiency, reduced paperwork, and enhanced security. Our platform also allows you to manage your documents from anywhere, making it easier to handle transactions.
-
Can I integrate airSlate SignNow with other software when working on a Warranty Deed From Husband And Wife To A Trust in Michigan?
Absolutely! airSlate SignNow integrates seamlessly with various third-party applications, allowing you to work on your Warranty Deed From Husband And Wife To A Trust in Michigan alongside your existing tools. This helps streamline your workflow and enhances productivity.
-
Is it safe to use airSlate SignNow for my Warranty Deed From Husband And Wife To A Trust in Michigan?
Yes, airSlate SignNow prioritizes security to protect your sensitive documents, including a Warranty Deed From Husband And Wife To A Trust in Michigan. We use advanced encryption methods and comply with industry standards to ensure your data remains confidential and secure.
Get more for Warranty Deed From Husband And Wife To A Trust Michigan
- 28th annual clinical update in form
- Northwestern university commercial card form
- Site visit form
- Graduate language verification form
- Police department police city of redlands form
- Pregnancy or pregnancy related condition accommodation request form
- Social skills checklist form
- Private ampamp semi private swim lessons department of form
Find out other Warranty Deed From Husband And Wife To A Trust Michigan
- Can I eSignature Vermont Government Job Description Template
- How To eSignature Maine Finance & Tax Accounting Lease Template
- eSignature Maine Finance & Tax Accounting Lease Template Online
- How Do I eSignature Maine Finance & Tax Accounting Lease Template
- How To eSignature Vermont Government Promissory Note Template
- Help Me With eSignature Maine Finance & Tax Accounting Lease Template
- eSignature Maine Finance & Tax Accounting Lease Template Computer
- How Can I eSignature Maine Finance & Tax Accounting Lease Template
- How Do I eSignature Vermont Government Promissory Note Template
- eSignature Maine Finance & Tax Accounting Lease Template Mobile
- Can I eSignature Maine Finance & Tax Accounting Lease Template
- Help Me With eSignature Vermont Government Promissory Note Template
- eSignature Vermont Government Memorandum Of Understanding Online
- eSignature Maine Finance & Tax Accounting Lease Template Now
- eSignature Vermont Government Memorandum Of Understanding Computer
- eSignature Vermont Government Memorandum Of Understanding Mobile
- How Can I eSignature Vermont Government Promissory Note Template
- eSignature Maine Finance & Tax Accounting Lease Template Later
- eSignature Vermont Government Memorandum Of Understanding Now
- eSignature Vermont Government Memorandum Of Understanding Later