Quitclaim Deed from Individual to Husband and Wife Minnesota Form
                            
                            What is the Quitclaim Deed From Individual To Husband And Wife Minnesota
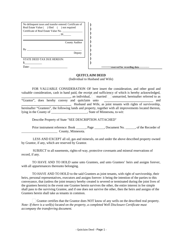
A quitclaim deed from individual to husband and wife in Minnesota is a legal document used to transfer ownership of real estate property from one individual to a married couple. This type of deed does not guarantee that the individual transferring the property has clear title to it; instead, it merely conveys whatever interest the individual may have in the property. This form is often utilized in situations such as marriage, divorce, or estate planning, making it a vital tool for couples managing their property rights.
Steps to Complete the Quitclaim Deed From Individual To Husband And Wife Minnesota
Completing a quitclaim deed in Minnesota involves several important steps:
- Gather necessary information, including the legal description of the property, the names of the individuals involved, and the date of transfer.
 - Obtain the quitclaim deed form, which can be found online or through legal resources.
 - Fill out the form accurately, ensuring all names are spelled correctly and the property description is precise.
 - Sign the document in the presence of a notary public, as notarization is required for it to be legally binding.
 - Record the completed deed with the county recorder's office where the property is located to make the transfer official.
 
Legal Use of the Quitclaim Deed From Individual To Husband And Wife Minnesota
The quitclaim deed serves a specific legal purpose in Minnesota. It is commonly used to transfer property between family members, particularly spouses. This form is beneficial for simplifying the transfer process without the need for extensive legal procedures. However, it is essential to understand that a quitclaim deed does not provide warranties regarding the title, meaning that the new owners may assume any existing claims or liens against the property.
State-Specific Rules for the Quitclaim Deed From Individual To Husband And Wife Minnesota
In Minnesota, specific regulations govern the use of quitclaim deeds. The deed must be signed by the grantor (the individual transferring the property) and notarized. Additionally, it should include a legal description of the property being transferred, which can typically be found on the property’s existing deed or tax records. After completion, the quitclaim deed must be filed with the county recorder's office to ensure it is recognized by the state and to provide public notice of the transfer.
Key Elements of the Quitclaim Deed From Individual To Husband And Wife Minnesota
Several key elements must be included in a quitclaim deed for it to be valid in Minnesota:
- Grantor's Information: The full name and address of the individual transferring the property.
 - Grantees' Information: The full names of the husband and wife receiving the property.
 - Legal Description: A detailed description of the property, including boundaries and any relevant identifiers.
 - Notarization: The signature of a notary public to verify the authenticity of the signatures.
 - Recording Information: A statement indicating where the deed will be recorded.
 
How to Use the Quitclaim Deed From Individual To Husband And Wife Minnesota
Using a quitclaim deed in Minnesota involves several practical considerations. First, ensure that both parties understand the implications of the transfer, especially regarding any existing liens or claims on the property. Next, complete the deed accurately, following all state requirements. After signing and notarizing the document, file it with the appropriate county office to formalize the transfer. This process not only protects the rights of both parties but also ensures that the transaction is legally recognized.
Quick guide on how to complete quitclaim deed from individual to husband and wife minnesota
Prepare [SKS] seamlessly on any device
Digital document management has become increasingly favored by businesses and individuals alike. It offers a perfect eco-conscious alternative to traditional printed and signed paperwork, allowing you to locate the necessary form and securely store it online. airSlate SignNow provides you with all the resources required to create, modify, and eSign your documents promptly without delays. Manage [SKS] on any device using airSlate SignNow's Android or iOS applications and enhance any document-driven process today.
How to modify and eSign [SKS] effortlessly
- Obtain [SKS] and click on Get Form to begin.
 - Utilize the tools we provide to fill out your document.
 - Emphasize pertinent sections of the documents or redact sensitive information with tools specifically designed by airSlate SignNow for that purpose.
 - Create your signature with the Sign tool, which takes mere seconds and carries the same legal validity as a conventional wet ink signature.
 - Review all the information and click on the Done button to finalize your changes.
 - Choose your preferred method to send your form: via email, SMS, an invitation link, or download it to your computer.
 
Eliminate worries about lost or misplaced documents, tedious form searches, or mistakes that necessitate reprinting new document copies. airSlate SignNow meets your needs in document management with just a few clicks from any device you prefer. Modify and eSign [SKS] to ensure excellent communication at every stage of the form preparation process with airSlate SignNow.
Create this form in 5 minutes or less
Related searches to Quitclaim Deed From Individual To Husband And Wife Minnesota
Create this form in 5 minutes!
People also ask
- 
                                
                                    
                                    
                                    What is a Quitclaim Deed From Individual To Husband And Wife in Minnesota?
                                
                                A Quitclaim Deed From Individual To Husband And Wife in Minnesota is a legal document used to transfer ownership of property from one individual to a married couple. This type of deed does not guarantee the validity of title but allows the individual to relinquish any claim to the property. It's commonly used in situations such as divorce settlements, gifts, or adding a spouse to the title.
 - 
                                
                                    
                                    
                                    How do I create a Quitclaim Deed From Individual To Husband And Wife in Minnesota?
                                
                                Creating a Quitclaim Deed From Individual To Husband And Wife in Minnesota can be easily done using online templates or document management solutions like airSlate SignNow. Simply fill out the required information, ensure it’s signed by the grantor, and then have it signNowd. This process ensures that the deed is legally valid and can be recorded with the county.
 - 
                                
                                    
                                    
                                    What is the cost of filing a Quitclaim Deed From Individual To Husband And Wife in Minnesota?
                                
                                The cost of filing a Quitclaim Deed From Individual To Husband And Wife in Minnesota generally includes state filing fees, which vary by county. Additionally, if you choose to use services like airSlate SignNow, there may be a nominal fee for document preparation and eSignature. It's advisable to check with your local county recorder for specific fees.
 - 
                                
                                    
                                    
                                    Do I need a lawyer to file a Quitclaim Deed From Individual To Husband And Wife in Minnesota?
                                
                                While it's not legally required to have a lawyer to file a Quitclaim Deed From Individual To Husband And Wife in Minnesota, consulting with one can help you navigate the complexities of property laws. Utilizing tools like airSlate SignNow can simplify the process, making it accessible for those comfortable with DIY legal documents.
 - 
                                
                                    
                                    
                                    What information is required for the Quitclaim Deed From Individual To Husband And Wife in Minnesota?
                                
                                To complete a Quitclaim Deed From Individual To Husband And Wife in Minnesota, you'll need the legal names of the parties, a detailed description of the property, and the account number for property taxes. Additionally, signatures from both the grantor and grantee are necessary, ensuring clarity and legality in the document.
 - 
                                
                                    
                                    
                                    Can I revoke a Quitclaim Deed From Individual To Husband And Wife in Minnesota?
                                
                                Yes, a Quitclaim Deed From Individual To Husband And Wife in Minnesota can generally be revoked if the grantor decides to withdraw the transfer. However, the revocation must also be executed in writing and typically needs to be signNowd and recorded with the county. Consulting with a legal expert is recommended to ensure proper procedures are followed.
 - 
                                
                                    
                                    
                                    What are the benefits of using airSlate SignNow for Quitclaim Deed From Individual To Husband And Wife in Minnesota?
                                
                                Using airSlate SignNow for your Quitclaim Deed From Individual To Husband And Wife in Minnesota offers a cost-effective, streamlined solution for eSigning and sending documents. Its user-friendly interface and secure environment simplify the paperwork process, making it easy to complete transactions without in-person meetings. Plus, you can access your documents anytime and from anywhere.
 
Get more for Quitclaim Deed From Individual To Husband And Wife Minnesota
Find out other Quitclaim Deed From Individual To Husband And Wife Minnesota
- eSign Washington Construction Resignation Letter Secure
 - eSign Washington Construction Resignation Letter Fast
 - eSign Education Form Utah Safe
 - eSign Washington Construction Resignation Letter Simple
 - eSign Virginia Construction Agreement Secure
 - eSign Washington Construction Resignation Letter Easy
 - eSign Washington Construction Resignation Letter Safe
 - eSign Virginia Construction Agreement Fast
 - eSign Virginia Construction Agreement Simple
 - How To eSign Washington Construction Resignation Letter
 - How Do I eSign Washington Construction Resignation Letter
 - Help Me With eSign Washington Construction Resignation Letter
 - eSign Virginia Construction Agreement Easy
 - How Can I eSign Washington Construction Resignation Letter
 - Can I eSign Washington Construction Resignation Letter
 - eSign Virginia Construction Agreement Safe
 - eSign Education Presentation Utah Online
 - How To eSign Virginia Construction Agreement
 - eSign Education Presentation Utah Computer
 - How Do I eSign Virginia Construction Agreement