
Minnesota Affidavit Form


What is the Minnesota Affidavit
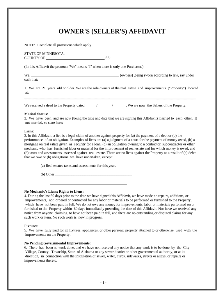
The Minnesota affidavit is a legal document used to affirm the truthfulness of certain statements or facts. It serves as a sworn declaration, often required in various legal situations, such as court proceedings, property transactions, or other official matters. The document must be signed in the presence of a notary public to ensure its validity. Understanding the purpose and requirements of this affidavit is crucial for anyone needing to use it in a legal context.
How to use the Minnesota Affidavit
Using the Minnesota affidavit involves several steps to ensure it is completed correctly. First, identify the specific purpose for which the affidavit is needed. Next, gather all necessary information and supporting documents that substantiate the claims being made. It is important to fill out the form accurately, as any errors may lead to legal complications. Once completed, the affidavit must be signed in front of a notary public, who will verify the identity of the signer and witness the signing process.
Steps to complete the Minnesota Affidavit
Completing the Minnesota affidavit requires careful attention to detail. Follow these steps:
- Determine the specific type of affidavit needed based on your situation.
- Gather relevant information and documents that support your claims.
- Fill out the affidavit form, ensuring all fields are completed accurately.
- Review the document for any errors or omissions.
- Schedule a meeting with a notary public to sign the affidavit.
- Submit the completed affidavit to the appropriate authority or keep it for your records.
Key elements of the Minnesota Affidavit
The Minnesota affidavit must include several key elements to be considered valid. These elements typically consist of:
- The title of the affidavit, indicating its purpose.
- The affiant's full name and contact information.
- A clear statement of the facts being affirmed.
- The signature of the affiant.
- The notary public's signature and seal, confirming the authenticity of the document.
Legal use of the Minnesota Affidavit
The Minnesota affidavit is legally binding when executed properly. It can be used in various legal scenarios, such as providing evidence in court, verifying identity, or confirming the occurrence of specific events. Courts and other legal entities rely on affidavits as credible evidence, making it essential that the information provided is truthful and accurate. Failure to comply with legal standards may result in penalties or the dismissal of the affidavit's claims.
State-specific rules for the Minnesota Affidavit
Each state has its own regulations regarding affidavits, and Minnesota is no exception. In Minnesota, specific guidelines dictate how affidavits must be formatted, executed, and submitted. It is important to familiarize oneself with these rules to ensure compliance. For example, the affidavit must be notarized, and certain types of affidavits may require additional documentation or specific wording to be valid. Understanding these state-specific rules helps prevent legal issues and ensures the affidavit serves its intended purpose.
Quick guide on how to complete minnesota affidavit
Effortlessly Prepare minnesota affidavit on Any Device
Digital document management has become increasingly popular among organizations and individuals. It offers an excellent environmentally friendly alternative to traditional printed and signed paperwork, allowing you to obtain the proper form and securely keep it online. airSlate SignNow equips you with all the resources necessary to create, edit, and eSign your documents swiftly without any hold-ups. Manage minnesota affidavit on any platform using airSlate SignNow's Android or iOS applications and simplify your document-driven processes today.
How to Edit and eSign minnesota affidavit Effortlessly
- Find minnesota affidavit and click Get Form to begin.
- Utilize the tools we offer to fill out your document.
- Emphasize important sections of the documents or redact sensitive information using the tools that airSlate SignNow offers specifically for that purpose.
- Generate your eSignature with the Sign tool, which takes mere seconds and holds the same legal validity as a conventional wet ink signature.
- Review the details and click on the Done button to save your modifications.
- Select how you would like to send your form, whether by email, SMS, or invite link, or download it to your computer.
No more worrying about lost or misplaced documents, tedious form navigation, or errors that necessitate printing new copies. airSlate SignNow addresses all your document management needs in a few clicks from your chosen device. Edit and eSign minnesota affidavit and ensure outstanding communication at every stage of the form preparation process with airSlate SignNow.
Create this form in 5 minutes or less
Related searches to minnesota affidavit
Create this form in 5 minutes!
People also ask minnesota affidavit
-
What is a Minnesota affidavit?
A Minnesota affidavit is a written statement confirmed by oath or affirmation, often used to verify facts in legal proceedings. This document must be signed in the presence of a notary public to be considered valid. Utilizing airSlate SignNow simplifies the process of creating and signing Minnesota affidavits electronically.
-
How does airSlate SignNow facilitate Minnesota affidavits?
AirSlate SignNow offers a user-friendly platform for creating, sending, and eSigning Minnesota affidavits. Our extensive templates make it easy to customize your affidavit as needed. Moreover, the eSigning feature ensures that your documents are legally binding and secure.
-
What are the benefits of using airSlate SignNow for Minnesota affidavits?
Using airSlate SignNow for Minnesota affidavits provides efficiency and cost-effectiveness. You can save time by eliminating the need for printing and mailing documents, allowing for quick turnaround times. Additionally, our platform ensures your documents remain secure and compliant with legal standards.
-
Is there a cost associated with creating Minnesota affidavits on airSlate SignNow?
Yes, there is a cost associated with using airSlate SignNow, but it offers various pricing plans to suit different business needs. Our plans are designed to be budget-friendly while providing access to all the necessary features for creating and managing Minnesota affidavits. You can start with a free trial to explore our capabilities.
-
Can I integrate airSlate SignNow with other tools for managing Minnesota affidavits?
Absolutely! AirSlate SignNow integrates smoothly with many third-party applications, enhancing your workflow management. This integration allows you to directly manage Minnesota affidavits alongside your other business tools, streamlining your document handling process.
-
How secure is airSlate SignNow for handling Minnesota affidavits?
AirSlate SignNow prioritizes the security of your documents. We utilize encryption protocols and secure cloud storage to protect your Minnesota affidavits from unauthorized access. Our platform complies with legal standards to ensure your documents are always safe and confidential.
-
What features does airSlate SignNow offer for Minnesota affidavits?
AirSlate SignNow provides a comprehensive suite of features for Minnesota affidavits, including template creation, real-time tracking, and in-depth reporting. You can easily customize your affidavit to meet specific requirements and monitor its status through the entire signing process.
Get more for minnesota affidavit
Find out other minnesota affidavit
- eSign Construction Document Pennsylvania Mobile
- How To eSign Alaska Finance & Tax Accounting Warranty Deed
- eSign Construction Document Pennsylvania Now
- eSign Alaska Finance & Tax Accounting Warranty Deed Secure
- eSign Construction Document Pennsylvania Later
- How Do I eSign Alaska Finance & Tax Accounting Warranty Deed
- eSign Construction Document Pennsylvania Myself
- eSign Construction Document Pennsylvania Free
- eSign Alaska Finance & Tax Accounting Warranty Deed Fast
- Help Me With eSign Alaska Finance & Tax Accounting Warranty Deed
- How Can I eSign Alaska Finance & Tax Accounting Warranty Deed
- eSign Alaska Finance & Tax Accounting Warranty Deed Simple
- Can I eSign Alaska Finance & Tax Accounting Warranty Deed
- eSign Alaska Finance & Tax Accounting Warranty Deed Easy
- eSign Construction Document Pennsylvania Secure
- eSign Construction Document Pennsylvania Fast
- eSign Alaska Finance & Tax Accounting Warranty Deed Safe
- eSign Construction Document Pennsylvania Simple
- eSign Construction Document Pennsylvania Easy
- eSign Education Document New York Online