
Nv Poa Form


What is the NV POA?
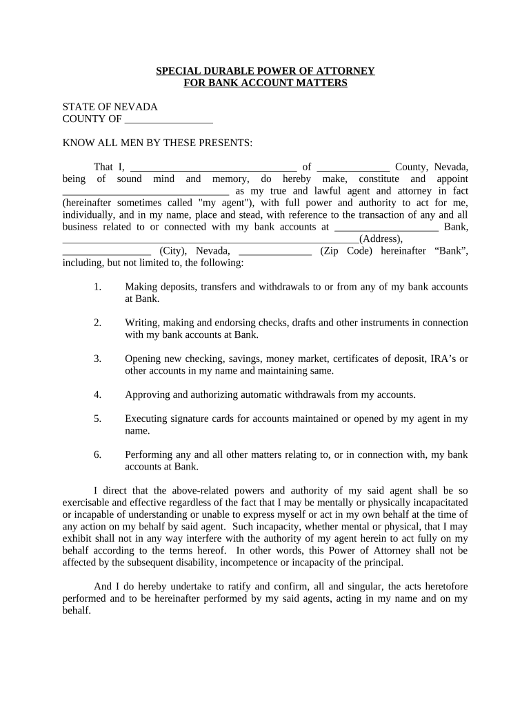
The NV POA, or Nevada Power of Attorney, is a legal document that allows an individual (the principal) to designate another person (the agent) to make decisions on their behalf. This can include financial, medical, or legal matters. The NV POA is particularly important for ensuring that someone can act in your best interest if you become incapacitated or unable to make decisions for yourself. It is essential to understand the specific powers granted within the document, as they can vary depending on the principal's needs and intentions.
How to Use the NV POA
Using the NV POA involves several key steps. First, the principal must clearly define the powers being granted to the agent. This may include authority over financial transactions, healthcare decisions, or legal representation. Once the document is completed and signed, it should be shared with relevant parties, such as banks, healthcare providers, or legal representatives. It is also advisable to keep a copy of the NV POA in a secure location while providing copies to trusted individuals who may need to reference it in the future.
Steps to Complete the NV POA
Completing the NV POA involves a few straightforward steps:
- Identify the principal and agent, including their full names and addresses.
- Clearly outline the specific powers being granted to the agent.
- Include any limitations or conditions that apply to the agent's authority.
- Ensure the document is signed by the principal in the presence of a notary public.
- Distribute copies of the signed document to all relevant parties.
Legal Use of the NV POA
The NV POA is legally binding when executed according to Nevada state laws. This includes proper signing and notarization. It is crucial to ensure that the document complies with the Uniform Power of Attorney Act, which outlines the necessary requirements for validity. The agent must act in the best interest of the principal and adhere to any specific instructions provided within the document. Failure to do so may result in legal consequences for the agent.
Key Elements of the NV POA
Several key elements must be included in a valid NV POA:
- The full names and addresses of both the principal and the agent.
- A clear statement of the powers granted to the agent.
- Any limitations or specific conditions related to the agent's authority.
- The principal's signature, which must be notarized to ensure authenticity.
- The date of execution, which is important for determining the document's validity.
State-Specific Rules for the NV POA
Each state has its own regulations governing powers of attorney. In Nevada, the NV POA must comply with the state's Uniform Power of Attorney Act. This includes specific requirements for execution, such as the necessity of notarization and the ability to revoke the power of attorney at any time, provided the principal is competent. Additionally, it is important to be aware of any state-specific forms or provisions that may apply to certain types of powers of attorney.
Quick guide on how to complete nv poa
Effortlessly prepare nv poa on any device
Managing documents online has gained traction among businesses and individuals alike. It offers an excellent eco-friendly substitute for conventional printed and signed documents, allowing you to locate the appropriate form and securely keep it in the cloud. airSlate SignNow equips you with all the tools required to create, modify, and electronically sign your documents swiftly without delays. Manage nv poa on any platform with airSlate SignNow’s Android or iOS applications and enhance your document-related processes today.
The simplest way to edit and electronically sign nv poa with ease
- Locate nv poa and click Get Form to begin.
- Utilize the tools we provide to fill out your document.
- Emphasize pertinent sections of the documents or redact sensitive information using tools that airSlate SignNow specifically offers for this task.
- Generate your electronic signature with the Sign tool, which takes mere seconds and carries the same legal validity as a conventional wet ink signature.
- Review all the details and click on the Done button to save your modifications.
- Choose your preferred method to send your form, whether by email, SMS, or invitation link, or download it to your computer.
Eliminate concerns about lost or misplaced documents, tedious form searches, or errors that necessitate printing new copies. airSlate SignNow fulfills your document management requirements with just a few clicks from your chosen device. Edit and electronically sign nv poa and ensure exceptional communication throughout your form preparation journey with airSlate SignNow.
Create this form in 5 minutes or less
Related searches to nv poa
Create this form in 5 minutes!
People also ask nv poa
-
What is an NV POA and why do I need one?
An NV POA, or Nevada Power of Attorney, is a legal document that allows you to designate someone to make decisions on your behalf. It is essential for those who wish to grant authority over financial, health, or legal matters to another person, especially when unable to manage those responsibilities themselves.
-
How does airSlate SignNow help with creating an NV POA?
AirSlate SignNow simplifies the process of creating an NV POA by providing customizable templates that can be easily filled out and signed electronically. Our platform ensures that your NV POA is legally binding and compliant with Nevada state laws, making document management straightforward.
-
Is there a cost associated with using airSlate SignNow for NV POA documents?
Yes, airSlate SignNow offers various pricing plans to cater to different needs, including a free trial for new users. The subscription costs are competitive and provide access to features specifically designed for creating and managing documents like NV POA efficiently.
-
What benefits does using airSlate SignNow for my NV POA offer?
Using airSlate SignNow for your NV POA provides numerous benefits, including ease of use, secure electronic signatures, and robust document tracking. Additionally, our platform enables quick collaboration with designated parties, ensuring the entire process is fast and efficient.
-
Can I integrate airSlate SignNow with other software for managing my NV POA?
Absolutely! AirSlate SignNow offers seamless integrations with various software solutions, including CRM and document management systems. This makes it easy to manage your NV POA alongside other important documents and enhances your overall workflow.
-
Is the NV POA created through airSlate SignNow legally valid?
Yes, the NV POA generated through airSlate SignNow is legally valid and complies with the requirements set forth by Nevada law. Our platform ensures that all necessary elements are included, so you can be confident in the legality of your documents.
-
How secure is my NV POA information with airSlate SignNow?
Your NV POA information is highly secure with airSlate SignNow. We employ advanced encryption and security protocols to protect your documents and sensitive data, providing peace of mind as you manage your legal documents online.
Get more for nv poa
- Roseville administration department 2660 civic center dr form
- Cmhadurhamcanurse practitioner led clinicnurse practitioner led clinic cmha durham form
- Silent partner agreement pdf fill out and sign printable form
- Thank you mississippi physiciansmississippi state form
- Deadiversionusdojgovdrugregindexregistration united states department of justice form
- Ilcourtsaudioblobcorewindowsnetantillesillinois standardized forms approved notice by posting
- Australia paid parental leave form
- 41 estates rd lower sackville ns b4c 3z2redfin form
Find out other nv poa
- Sign Kansas Education Business Associate Agreement Easy
- Sign Kansas Education Separation Agreement Safe
- Sign Education Document Massachusetts Free
- Sign Kansas Education Business Associate Agreement Safe
- Sign Education Document Massachusetts Secure
- How To Sign Kansas Education Business Associate Agreement
- Sign Education Document Massachusetts Fast
- How Do I Sign Kansas Education Business Associate Agreement
- Help Me With Sign Kansas Education Business Associate Agreement
- Sign Education Document Massachusetts Simple
- How Can I Sign Kansas Education Business Associate Agreement
- Can I Sign Kansas Education Business Associate Agreement
- Sign Education Document Massachusetts Easy
- Sign Maine Education Living Will Online
- How To Sign Maine Education Living Will
- Sign Education Document Massachusetts Safe
- How Do I Sign Maine Education Living Will
- Help Me With Sign Maine Education Living Will
- How Can I Sign Maine Education Living Will
- Sign Maine Education Living Will Computer