
Revocation of Living Trust Ohio Form


What is the Revocation Of Living Trust Ohio
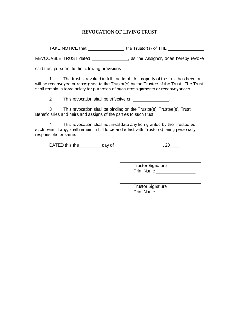
The Revocation of Living Trust Ohio is a legal document that allows individuals to cancel or revoke an existing living trust. This process is essential for those who wish to make changes to their estate plan or eliminate a trust that no longer serves their needs. The revocation must be executed in accordance with Ohio state laws to ensure its validity. Typically, the document outlines the trust’s name, the date it was created, and the declaration of revocation, making it clear that the trust is no longer in effect.
Steps to complete the Revocation Of Living Trust Ohio
Completing the Revocation of Living Trust Ohio involves several key steps:
- Review the original living trust document to confirm the details needed for revocation.
- Draft the revocation document, ensuring it includes the trust's name, date of creation, and a clear statement of revocation.
- Sign the document in the presence of a notary public to validate the revocation.
- Distribute copies of the revocation to relevant parties, including beneficiaries and financial institutions.
- Safeguard the original revocation document with your important estate planning documents.
Legal use of the Revocation Of Living Trust Ohio
The legal use of the Revocation of Living Trust Ohio is crucial for ensuring that the revocation is recognized by courts and financial institutions. To be legally binding, the revocation must comply with Ohio's statutory requirements. This includes proper execution, which typically involves notarization. Additionally, it is important to notify all beneficiaries and relevant parties about the revocation to prevent any confusion regarding the trust's status.
Key elements of the Revocation Of Living Trust Ohio
Several key elements must be included in the Revocation of Living Trust Ohio to ensure its effectiveness:
- Trust Name: Clearly state the name of the trust being revoked.
- Date of Creation: Include the date when the original trust was established.
- Revocation Statement: A clear declaration that the trust is revoked.
- Signature: The grantor must sign the document, preferably in front of a notary.
- Witnesses: Depending on specific circumstances, having witnesses may be beneficial.
How to use the Revocation Of Living Trust Ohio
Using the Revocation of Living Trust Ohio involves understanding its implications for your estate plan. Once the revocation is executed, it is essential to review your overall estate planning strategy. This may include creating a new trust or making changes to your will. It is advisable to consult with an estate planning attorney to ensure that all aspects of your estate plan align with your current wishes and legal requirements.
State-specific rules for the Revocation Of Living Trust Ohio
Ohio has specific rules governing the revocation of living trusts that must be adhered to for the revocation to be legally recognized. These rules include the requirement for notarization and the necessity of clear communication with beneficiaries. Additionally, it is important to ensure that the revocation does not conflict with any other legal documents, such as a will or power of attorney, to avoid complications in estate administration.
Quick guide on how to complete revocation of living trust ohio
Complete [SKS] with ease on any device
Digital document management has become increasingly favored by businesses and individuals alike. It offers an ideal eco-friendly alternative to traditional printed and signed documents, allowing you to access the necessary form and securely save it online. airSlate SignNow equips you with all the tools required to create, modify, and electronically sign your documents quickly without delays. Manage [SKS] on any platform using the airSlate SignNow Android or iOS applications and enhance any document-centric process today.
How to modify and electronically sign [SKS] effortlessly
- Find [SKS] and then click Get Form to begin.
- Utilize the tools we offer to complete your document.
- Emphasize pertinent sections of your documents or obscure sensitive information with the tools that airSlate SignNow provides specifically for that purpose.
- Create your eSignature using the Sign feature, which takes just seconds and carries the same legal validity as a conventional wet ink signature.
- Review the information and then click the Done button to save your changes.
- Select your preferred method of sending your form, whether by email, text message (SMS), invitation link, or download it to your computer.
Eliminate the hassle of lost or misfiled documents, tedious form searching, or errors that require printing new copies. airSlate SignNow meets your document management needs in a few clicks from any device you prefer. Modify and eSign [SKS] and guarantee excellent communication at any phase of your form preparation with airSlate SignNow.
Create this form in 5 minutes or less
Related searches to Revocation Of Living Trust Ohio
Create this form in 5 minutes!
People also ask
-
What is the process for Revocation Of Living Trust Ohio?
The Revocation Of Living Trust in Ohio involves a few essential steps. First, you must create a written document stating your intent to revoke the trust. This document must be signed and dated, and it's a good idea to notify the beneficiaries and any financial institutions involved.
-
How does airSlate SignNow facilitate the Revocation Of Living Trust Ohio?
airSlate SignNow offers an efficient platform for managing the documents needed for the Revocation Of Living Trust in Ohio. With our eSigning features, you can easily generate, sign, and send revocation documents securely without the need for physical copies, saving time and effort.
-
Are there any costs associated with using airSlate SignNow for Revocation Of Living Trust Ohio?
airSlate SignNow offers competitive pricing plans tailored to fit your needs. Our subscription models provide versatile options, allowing for unlimited document eSigning, which can be particularly useful when handling the Revocation Of Living Trust Ohio and related legal documents.
-
What are the benefits of using airSlate SignNow for legal documents in Ohio?
Using airSlate SignNow for the Revocation Of Living Trust Ohio offers numerous benefits, including ease of use, cost-effectiveness, and legal compliance. Our platform ensures that your documents are signed quickly and securely, thereby streamlining the process signNowly.
-
Can I integrate airSlate SignNow with other tools for Revocation Of Living Trust Ohio?
Absolutely! airSlate SignNow provides seamless integrations with various applications that can enhance your workflow related to the Revocation Of Living Trust Ohio. Whether you need to connect with cloud storage services or CRM systems, our platform can accommodate your needs.
-
What types of documents can I manage for Revocation Of Living Trust Ohio using airSlate SignNow?
You can manage a wide range of legal documents pertaining to the Revocation Of Living Trust Ohio using airSlate SignNow. From revocation letters to notices for beneficiaries, our platform allows for the efficient creation, storage, and eSigning of all necessary documents.
-
Is airSlate SignNow legally recognized for the Revocation Of Living Trust Ohio?
Yes, documents signed through airSlate SignNow are legally recognized in Ohio, including those related to the Revocation Of Living Trust. Our platform complies with electronic signature laws, ensuring that your signed documents stand up in legal disputes.
Get more for Revocation Of Living Trust Ohio
- Best practices in appellate law delaware state bar form
- In the supreme court of the state of delaware monir george form
- In the supreme court of the state of delaware benjamin form
- In the supreme court of the state of delaware composecure form
- Form j supersedeas bond rule 32c of the state of
- Of delaware in and for form
- Form l order granting or denying leave to delaware
- In the supreme court of the state of delaware marcus form
Find out other Revocation Of Living Trust Ohio
- eSignature Hawaii Insurance Forbearance Agreement Computer
- eSignature Hawaii Insurance Forbearance Agreement Mobile
- eSignature Hawaii Insurance Forbearance Agreement Now
- eSignature Hawaii Insurance Business Associate Agreement Later
- eSignature Hawaii Insurance Forbearance Agreement Later
- eSignature Hawaii Insurance Forbearance Agreement Myself
- eSignature Hawaii Insurance Forbearance Agreement Free
- eSignature Michigan High Tech Residential Lease Agreement Online
- eSignature Hawaii Insurance Business Associate Agreement Myself
- eSignature Hawaii Insurance Forbearance Agreement Secure
- eSignature Hawaii Insurance Forbearance Agreement Fast
- eSignature Michigan High Tech Residential Lease Agreement Computer
- eSignature Hawaii Insurance Business Associate Agreement Free
- eSignature Hawaii Insurance Forbearance Agreement Simple
- eSignature Hawaii Insurance Forbearance Agreement Easy
- eSignature Hawaii Insurance Forbearance Agreement Safe
- eSignature Michigan High Tech Residential Lease Agreement Mobile
- eSignature Hawaii Insurance Business Associate Agreement Secure
- eSignature Michigan High Tech Residential Lease Agreement Now
- How To eSignature Hawaii Insurance Forbearance Agreement