
Residential Real Estate Sales Disclosure Statement South Dakota Form


What is the Residential Real Estate Sales Disclosure Statement South Dakota
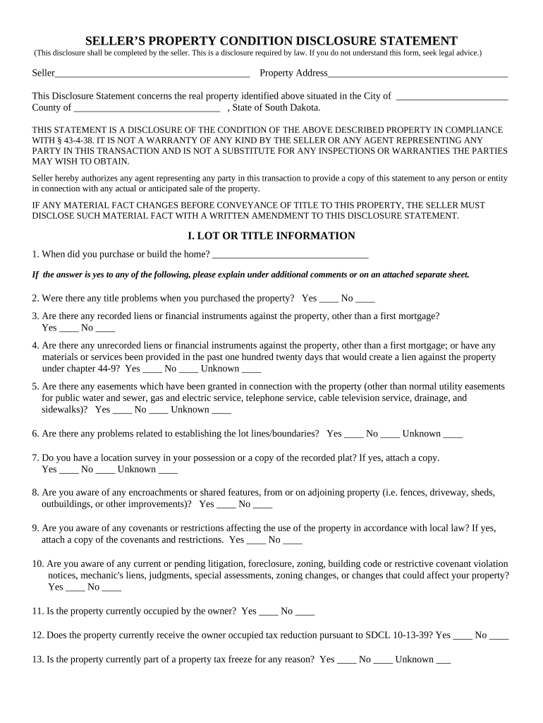
The Residential Real Estate Sales Disclosure Statement in South Dakota is a legal document required by state law for residential property transactions. This form provides essential information about the property being sold, including its condition, any known defects, and other relevant details that could affect the buyer's decision. Sellers must complete this disclosure statement accurately to ensure transparency and maintain compliance with state regulations.
Key elements of the Residential Real Estate Sales Disclosure Statement South Dakota
This disclosure statement includes several critical components that sellers must address:
- Property Information: Basic details about the property, including its address and type.
- Seller's Disclosure: Information regarding any known issues, such as water damage, pest infestations, or structural problems.
- Utilities and Services: Details about the property's utilities, including heating, cooling, and water systems.
- Legal Issues: Any ongoing disputes or legal matters related to the property.
Steps to complete the Residential Real Estate Sales Disclosure Statement South Dakota
Completing the Residential Real Estate Sales Disclosure Statement involves several key steps:
- Gather Information: Collect all relevant details about the property, including past repairs, upgrades, and any known issues.
- Fill Out the Form: Accurately complete the disclosure statement, ensuring all sections are filled out comprehensively.
- Review for Accuracy: Double-check the information provided for any errors or omissions before finalizing the document.
- Sign and Date: Both the seller and any co-owners must sign and date the form to validate it.
Legal use of the Residential Real Estate Sales Disclosure Statement South Dakota
The Residential Real Estate Sales Disclosure Statement serves a legal purpose in real estate transactions. It protects both the seller and the buyer by ensuring that all parties are aware of the property's condition. By providing this disclosure, sellers can reduce their liability for undisclosed issues. Additionally, buyers gain crucial insights that can influence their purchasing decisions, making the form an essential part of the transaction process.
How to use the Residential Real Estate Sales Disclosure Statement South Dakota
Using the Residential Real Estate Sales Disclosure Statement effectively involves several steps:
- Provide to Potential Buyers: Ensure that the disclosure statement is made available to all potential buyers during the showing process.
- Incorporate into Purchase Agreement: Include the completed disclosure statement as part of the purchase agreement to formalize the transaction.
- Keep Records: Retain a copy of the signed disclosure statement for your records, as it may be needed for future reference or legal purposes.
State-specific rules for the Residential Real Estate Sales Disclosure Statement South Dakota
South Dakota has specific regulations governing the use of the Residential Real Estate Sales Disclosure Statement. Sellers are required to complete this form for most residential property sales, ensuring compliance with state laws. Failure to provide a disclosure statement can result in legal consequences, including potential lawsuits from buyers who discover undisclosed issues after the sale. Understanding these state-specific rules is crucial for sellers to navigate the real estate process effectively.
Quick guide on how to complete residential real estate sales disclosure statement south dakota
Effortlessly Prepare [SKS] on Any Device
Digital document management has gained traction among businesses and individuals. It offers an ideal environmentally friendly substitute for traditional printed and signed documents, allowing you to locate the appropriate form and securely store it online. airSlate SignNow supplies you with all the tools you need to create, modify, and eSign your documents quickly without delays. Manage [SKS] on any platform with the airSlate SignNow Android or iOS applications and enhance any document-focused operation today.
The simplest way to modify and eSign [SKS] with ease
- Locate [SKS] and click on Get Form to begin.
- Use the tools we offer to complete your document.
- Emphasize relevant sections of the documents or obscure sensitive information with tools that airSlate SignNow provides specifically for that purpose.
- Create your eSignature using the Sign tool, which takes mere seconds and carries the same legal authority as a conventional wet ink signature.
- Verify the information and click on the Done button to save your changes.
- Select how you want to send your form, via email, SMS, or invite link, or download it to your computer.
Eliminate the hassle of lost or misplaced files, tedious form searching, or errors that necessitate printing new document copies. airSlate SignNow meets your document management needs in just a few clicks from any device you prefer. Edit and eSign [SKS] and ensure excellent communication at every stage of the form preparation process with airSlate SignNow.
Create this form in 5 minutes or less
Related searches to Residential Real Estate Sales Disclosure Statement South Dakota
Create this form in 5 minutes!
People also ask
-
What is the Residential Real Estate Sales Disclosure Statement South Dakota?
The Residential Real Estate Sales Disclosure Statement South Dakota is a legal form that provides essential information about the condition and history of a residential property. Sellers are required to disclose known defects, hazards, and other relevant details to potential buyers, ensuring transparency in real estate transactions.
-
Why is the Residential Real Estate Sales Disclosure Statement South Dakota important?
The Residential Real Estate Sales Disclosure Statement South Dakota is crucial as it protects buyers from unforeseen issues after a property purchase. By having this statement, buyers can make informed decisions and feel confident about their investments, while sellers also reduce the risk of future legal disputes.
-
How can airSlate SignNow help with the Residential Real Estate Sales Disclosure Statement South Dakota?
airSlate SignNow simplifies the process of creating, sending, and signing the Residential Real Estate Sales Disclosure Statement South Dakota. Our platform allows real estate professionals to ensure that documents are completed accurately and efficiently, maintaining compliance with state regulations.
-
What is the pricing structure for using airSlate SignNow for the Residential Real Estate Sales Disclosure Statement South Dakota?
airSlate SignNow offers a range of pricing plans that cater to various needs, including options for individuals and businesses. Each plan provides features for managing the Residential Real Estate Sales Disclosure Statement South Dakota, making it a cost-effective solution for any real estate transaction.
-
What features does airSlate SignNow offer for handling the Residential Real Estate Sales Disclosure Statement South Dakota?
airSlate SignNow includes features such as customizable templates, electronic signatures, and automated workflows specifically for the Residential Real Estate Sales Disclosure Statement South Dakota. These tools enhance efficiency and ensure that all necessary disclosures are made seamlessly.
-
Can I integrate airSlate SignNow with other real estate tools for the Residential Real Estate Sales Disclosure Statement South Dakota?
Yes, airSlate SignNow offers integrations with various CRM and real estate management tools, allowing users to manage their Residential Real Estate Sales Disclosure Statement South Dakota alongside other aspects of their business. These integrations streamline processes and improve overall productivity.
-
How does airSlate SignNow enhance the security of the Residential Real Estate Sales Disclosure Statement South Dakota?
airSlate SignNow prioritizes security by implementing advanced encryption protocols and compliance with industry standards. When dealing with sensitive documents like the Residential Real Estate Sales Disclosure Statement South Dakota, our platform ensures that data remains safe and confidential.
Get more for Residential Real Estate Sales Disclosure Statement South Dakota
- Arizona tenant landlord form
- Letter from tenant to landlord for failure of landlord to return all prepaid and unearned rent and security recoverable by form
- Arizona codes form
- Drug alcohol policy form
- Az letter landlord form
- Letter from landlord to tenant for failure to keep premises as clean and safe as condition of premises permits remedy or lease 497297115 form
- Arizona in rules form
- Letter from landlord to tenant for failure to keep all plumbing fixtures in the dwelling unit as clean as their condition 497297117 form
Find out other Residential Real Estate Sales Disclosure Statement South Dakota
- eSign Alabama Doctors Business Plan Template Myself
- eSign Wyoming Charity Letter Of Intent Secure
- eSign Wyoming Charity Letter Of Intent Fast
- How Can I eSign Alabama Doctors Resignation Letter
- eSign Wyoming Charity Letter Of Intent Simple
- eSign Alabama Doctors Business Plan Template Free
- eSign Wyoming Charity Letter Of Intent Easy
- eSign Wyoming Charity Letter Of Intent Safe
- eSign Alabama Doctors Business Plan Template Secure
- Can I eSign Alabama Doctors Resignation Letter
- How To eSign Wyoming Charity Letter Of Intent
- Help Me With eSign Wyoming Charity Letter Of Intent
- How Do I eSign Wyoming Charity Letter Of Intent
- eSign Alabama Doctors Business Plan Template Fast
- Can I eSign Wyoming Charity Letter Of Intent
- How Can I eSign Wyoming Charity Letter Of Intent
- eSign Alabama Doctors Claim Online
- eSign Wyoming Charity Agreement Online
- eSign Alabama Doctors Claim Computer
- eSign Wyoming Charity Agreement Computer