 
                Quitclaim Deed by Two Individuals to Husband and Wife Texas Form
 
                             
                            Understanding the Quitclaim Deed By Two Individuals To Husband And Wife in Texas
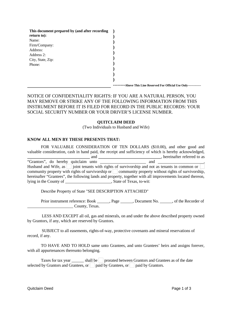
A quitclaim deed by two individuals to husband and wife in Texas is a legal document used to transfer ownership of property without any warranties. This type of deed is often utilized in situations such as divorce settlements, family transfers, or when one spouse wants to add the other to the property title. Unlike warranty deeds, quitclaim deeds do not guarantee that the grantor has clear title to the property, making it essential for the grantees to conduct their due diligence before accepting the transfer.
Steps to Complete the Quitclaim Deed By Two Individuals To Husband And Wife in Texas
Completing a quitclaim deed in Texas involves several important steps:
- Identify the parties involved: Clearly state the names of the individuals transferring the property and the names of the husband and wife receiving it.
- Describe the property: Include a legal description of the property, which can usually be found on the existing deed or tax records.
- Prepare the document: Draft the quitclaim deed, ensuring that it meets Texas legal requirements. Templates are available online for convenience.
- Sign the deed: All parties must sign the deed in the presence of a notary public to validate the document.
- File the deed: Submit the signed quitclaim deed to the county clerk's office where the property is located to officially record the transfer.
Key Elements of the Quitclaim Deed By Two Individuals To Husband And Wife in Texas
When preparing a quitclaim deed, several key elements must be included to ensure its validity:
- Grantor and Grantee Information: Full names and addresses of the individuals transferring and receiving the property.
- Property Description: A detailed legal description of the property, including the address and any relevant parcel numbers.
- Consideration: While not always required, stating the consideration (monetary or otherwise) can clarify the nature of the transaction.
- Signatures: All parties involved must sign the document in front of a notary public.
- Notarization: The notary's acknowledgment is necessary for the deed to be legally binding.
Legal Use of the Quitclaim Deed By Two Individuals To Husband And Wife in Texas
The quitclaim deed is legally recognized in Texas and can be used for various purposes, including:
- Transferring property between family members.
- Clearing up title issues when one party is relinquishing their claim.
- Facilitating property transfers during divorce or separation.
It is important to understand that while a quitclaim deed transfers ownership, it does not guarantee that the property is free from liens or other encumbrances.
State-Specific Rules for the Quitclaim Deed By Two Individuals To Husband And Wife in Texas
In Texas, specific rules govern the execution and recording of quitclaim deeds:
- The deed must be signed by the grantors in front of a notary public.
- It must be filed with the county clerk's office where the property is located to provide public notice of the transfer.
- Texas law does not require a quitclaim deed to include a warranty of title.
Understanding these state-specific rules helps ensure that the deed is executed correctly and legally binding.
How to Obtain the Quitclaim Deed By Two Individuals To Husband And Wife in Texas
Obtaining a quitclaim deed in Texas can be straightforward. You can:
- Access templates online that comply with Texas laws.
- Consult with a real estate attorney to draft a custom quitclaim deed that meets your specific needs.
- Visit your local county clerk's office for official forms and guidance on completing the deed.
Having the correct documentation is crucial for a smooth property transfer process.
Quick guide on how to complete quitclaim deed by two individuals to husband and wife texas
Complete [SKS] effortlessly on any device
Online document administration has become increasingly popular among companies and individuals. It offers an excellent eco-friendly substitute for conventional printed and signed documents, as you can easily locate the appropriate form and securely store it online. airSlate SignNow provides you with all the resources necessary to create, modify, and eSign your documents swiftly without delays. Manage [SKS] on any platform using airSlate SignNow's Android or iOS applications and enhance any document-related process today.
The easiest way to edit and eSign [SKS] with ease
- Obtain [SKS] and click Get Form to begin.
- Make use of the features we offer to complete your form.
- Emphasize pertinent sections of the documents or obscure sensitive information using tools that airSlate SignNow provides specifically for this purpose.
- Create your signature with the Sign tool, which takes just seconds and holds the same legal validity as a traditional handwritten signature.
- Review all the information and click on the Done button to save your changes.
- Select how you wish to share your form, via email, SMS, or invitation link, or download it to your computer.
Forget about lost or misplaced documents, tedious form searching, or mistakes that require printing new document copies. airSlate SignNow meets your document management needs in just a few clicks from any device you choose. Modify and eSign [SKS] and ensure outstanding communication at every stage of the form preparation process with airSlate SignNow.
Create this form in 5 minutes or less
Related searches to Quitclaim Deed By Two Individuals To Husband And Wife Texas
Create this form in 5 minutes!
People also ask
- 
                                
                                    
                                    
                                    What is a Quitclaim Deed By Two Individuals To Husband And Wife Texas?
                                
                                A Quitclaim Deed By Two Individuals To Husband And Wife Texas is a legal document that allows two individuals to transfer their ownership interest in a property to a married couple. This type of deed is commonly used to simplify property transfers and ensure that spouses hold clear title to their property.
- 
                                
                                    
                                    
                                    How can I create a Quitclaim Deed By Two Individuals To Husband And Wife Texas using airSlate SignNow?
                                
                                With airSlate SignNow, you can easily create a Quitclaim Deed By Two Individuals To Husband And Wife Texas by using our customizable templates. Simply fill in the required details, review the document, and then electronically sign it. This process streamlines the preparation and signing, making it efficient for users.
- 
                                
                                    
                                    
                                    Are there any costs associated with using airSlate SignNow for a Quitclaim Deed By Two Individuals To Husband And Wife Texas?
                                
                                Yes, airSlate SignNow offers various pricing plans that include features for creating a Quitclaim Deed By Two Individuals To Husband And Wife Texas. Our plans are designed to be cost-effective, providing excellent value for individuals and businesses that need to send and eSign documents frequently.
- 
                                
                                    
                                    
                                    What are the benefits of using airSlate SignNow for my Quitclaim Deed By Two Individuals To Husband And Wife Texas?
                                
                                Using airSlate SignNow for your Quitclaim Deed By Two Individuals To Husband And Wife Texas comes with several benefits, including ease of use, fast processing times, and secure electronic signatures. Additionally, our platform helps you store and manage documents efficiently, ensuring easy access when needed.
- 
                                
                                    
                                    
                                    Is there customer support available for creating a Quitclaim Deed By Two Individuals To Husband And Wife Texas?
                                
                                Yes, airSlate SignNow provides robust customer support for all users, including assistance with creating a Quitclaim Deed By Two Individuals To Husband And Wife Texas. Our support team is available via chat, email, and phone to help with any questions or issues you may encounter.
- 
                                
                                    
                                    
                                    Can I integrate airSlate SignNow with other applications when working on a Quitclaim Deed By Two Individuals To Husband And Wife Texas?
                                
                                Absolutely! airSlate SignNow offers integrations with various applications and platforms, allowing you to streamline your processes when creating a Quitclaim Deed By Two Individuals To Husband And Wife Texas. These integrations enhance productivity by enabling data transfer between tools you already use.
- 
                                
                                    
                                    
                                    How long does it take to complete a Quitclaim Deed By Two Individuals To Husband And Wife Texas using airSlate SignNow?
                                
                                Completing a Quitclaim Deed By Two Individuals To Husband And Wife Texas using airSlate SignNow typically takes just a few minutes. Our user-friendly interface and automated features expedite the filling out and signing process, allowing you to finalize your document quickly.
Get more for Quitclaim Deed By Two Individuals To Husband And Wife Texas
- Living trust for individual who is single divorced or widow or widower with children idaho form
- Living trust for husband and wife with one child idaho form
- Living trust for husband and wife with minor and or adult children idaho form
- Amendment to living trust idaho form
- Living trust property record idaho form
- Financial account transfer to living trust idaho form
- Assignment to living trust idaho form
- Notice of assignment to living trust idaho form
Find out other Quitclaim Deed By Two Individuals To Husband And Wife Texas
- How Can I eSign Washington High Tech Presentation
- How Do I eSign Washington High Tech Presentation
- How To eSign Washington High Tech Presentation
- Can I eSign Washington High Tech Presentation
- Help Me With eSign Washington High Tech Presentation
- How Can I eSign Washington High Tech Presentation
- How To eSign Washington High Tech Form
- Can I eSign Washington High Tech Presentation
- How Do I eSign Washington High Tech Form
- How To eSign Washington High Tech Presentation
- How Do I eSign Washington High Tech Presentation
- Help Me With eSign Washington High Tech Presentation
- How To eSign Washington High Tech Presentation
- Help Me With eSign Washington High Tech Form
- How Can I eSign Washington High Tech Presentation
- Can I eSign Washington High Tech Presentation
- How Do I eSign Washington High Tech Presentation
- How Can I eSign Washington High Tech Form
- Help Me With eSign Washington High Tech Presentation
- How To eSign Washington High Tech Presentation