
Bulk Sales Form


What is the Bulk Sales Form
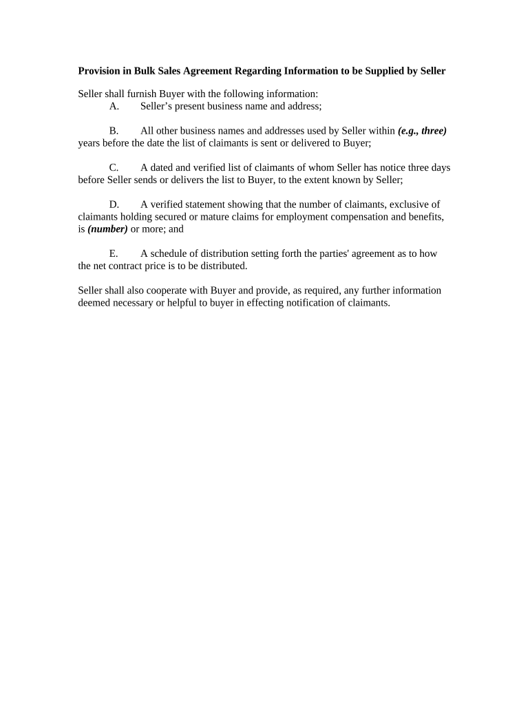
The bulk sales form is a legal document used in transactions involving the sale of a significant quantity of goods or assets. This form is essential for businesses that are transferring ownership of inventory or equipment in bulk. It serves to protect both the seller and the buyer by ensuring that all necessary information is recorded and that the transaction complies with applicable laws. The bulk sales form typically includes details such as the parties involved, a description of the goods being sold, and the terms of the sale. Understanding this form is crucial for businesses to navigate bulk sales efficiently and legally.
How to Use the Bulk Sales Form
Using the bulk sales form involves several straightforward steps. First, gather all relevant information about the transaction, including the names and addresses of the buyer and seller, a detailed list of the items being sold, and the agreed-upon price. Next, fill out the form accurately, ensuring that all sections are completed. Once the form is filled out, both parties should review it for accuracy before signing. After signing, keep a copy for your records, as this document may be required for legal or tax purposes. Proper use of the bulk sales form can help prevent disputes and ensure a smooth transaction.
Steps to Complete the Bulk Sales Form
Completing the bulk sales form requires attention to detail. Follow these steps for successful completion:
- Identify the parties involved in the transaction, including full names and addresses.
- Provide a comprehensive description of the goods being sold, including quantities and conditions.
- Specify the total sale price and any payment terms.
- Include any warranties or guarantees related to the goods.
- Have both parties sign and date the form to validate the agreement.
By following these steps, you can ensure that the bulk sales form is completed correctly, minimizing the risk of misunderstandings.
Legal Use of the Bulk Sales Form
The legal use of the bulk sales form is governed by specific regulations that vary by state. In general, this form must comply with local bulk sales laws, which often require notification to creditors and adherence to certain filing procedures. Failure to comply with these legal requirements can result in penalties or the invalidation of the sale. It is essential for businesses to understand the legal implications of using the bulk sales form to protect their interests and ensure that the transaction is recognized under the law.
Key Elements of the Bulk Sales Form
Several key elements must be included in the bulk sales form to ensure its effectiveness and legality:
- Identification of Parties: Names and addresses of both the buyer and seller.
- Description of Goods: Detailed list of items being sold, including their condition.
- Sale Price: Total amount agreed upon for the transaction.
- Payment Terms: Information on how and when payment will be made.
- Signatures: Required signatures of both parties to validate the agreement.
Including these elements helps ensure that the bulk sales form is comprehensive and legally binding.
State-Specific Rules for the Bulk Sales Form
State-specific rules for the bulk sales form can vary significantly. Each state may have its own requirements regarding the notification of creditors, filing deadlines, and additional documentation needed. For example, some states may require that the bulk sales form be filed with a state agency or that certain disclosures be made to creditors prior to the sale. It is important for businesses to research and understand the specific regulations in their state to ensure compliance and avoid potential legal issues.
Quick guide on how to complete bulk sales application
Effortlessly Prepare bulk sales application on Any Device
Managing documents online has become increasingly favored by businesses and individuals alike. It offers an ideal environmentally friendly substitute for conventional printed and signed paperwork, allowing you to locate the correct form and safely store it online. airSlate SignNow provides all the resources necessary to create, modify, and electronically sign your documents promptly without any delays. Manage bulk sales order on any platform using the airSlate SignNow Android or iOS applications and enhance any document-related process today.
How to Edit and Electronically Sign provision regarding con with Ease
- Obtain bulk sales edit and then click Get Form to begin.
- Use the tools we offer to complete your form.
- Emphasize important sections of your documents or obscure sensitive details using tools that airSlate SignNow has specifically designed for this purpose.
- Create your electronic signature with the Sign tool, which takes mere seconds and holds the same legal significance as a conventional ink signature.
- Review all the information and click the Done button to save your updates.
- Choose your preferred method to share your form, whether by email, text message (SMS), invite link, or download it onto your PC.
Say goodbye to lost or misplaced documents, tedious form searches, or errors that necessitate printing new copies. airSlate SignNow meets your document management needs in just a few clicks from any device of your choosing. Modify and electronically sign provision regarding contract and guarantee clear communication at every stage of your form preparation process with airSlate SignNow.
Create this form in 5 minutes or less
Related searches to provision regarding agreement
Create this form in 5 minutes!
People also ask bulk sales buy
-
What is a bulk sales order and how can airSlate SignNow help with it?
A bulk sales order refers to a single order for a large quantity of products or services. airSlate SignNow streamlines the process by allowing businesses to create, send, and eSign these orders quickly and efficiently. This ensures that your bulk sales orders are processed without unnecessary delays, enhancing overall productivity.
-
What are the pricing options for using airSlate SignNow for bulk sales orders?
airSlate SignNow offers flexible pricing plans tailored to meet different business needs, including options specifically designed for handling bulk sales orders. Depending on your usage, you can choose between monthly or annual subscriptions that best fit your budget. For larger businesses, custom pricing is available to accommodate high-volume bulk sales orders.
-
Can I customize templates for bulk sales orders using airSlate SignNow?
Yes, airSlate SignNow allows you to create and customize templates specifically for bulk sales orders. This feature enables you to efficiently replicate the necessary fields and branding for your recurring orders. By using a template, you save time and ensure consistency across all your bulk sales documentation.
-
What are the key features of airSlate SignNow that support bulk sales orders?
Key features of airSlate SignNow that support bulk sales orders include customizable templates, bulk send options, real-time tracking, and secure electronic signatures. These features not only help streamline your workflow but also provide you with a comprehensive view of all your bulk sales transactions, ensuring nothing falls through the cracks.
-
Is airSlate SignNow compliant with eSignature laws for bulk sales orders?
Absolutely! airSlate SignNow complies with all major eSignature laws, including the ESIGN Act and UETA, making it a secure choice for managing bulk sales orders. This compliance ensures that your electronically signed documents hold the same legal validity as traditional paper signatures, protecting your transactions.
-
How does airSlate SignNow integrate with my existing sales software for bulk sales orders?
airSlate SignNow seamlessly integrates with various CRM and sales software to enhance your bulk sales order process. This integration allows for automatic data synchronization, saving you time on manual entries and reducing the chances of errors. You can effortlessly manage your bulk sales orders without disrupting your existing workflows.
-
What are the benefits of using airSlate SignNow for my bulk sales orders?
Using airSlate SignNow for your bulk sales orders provides numerous benefits, including improved efficiency, reduced costs, and enhanced security. The platform enables faster processing and signing of orders, helping your business maintain momentum. Additionally, the easy-to-use interface ensures that your team can adapt quickly without extensive training.
Get more for bulk sales agreement
Find out other provision seller
- eSignature Arkansas Government Forbearance Agreement Simple
- eSignature Arkansas Government Lease Template Safe
- eSignature Arkansas Government Forbearance Agreement Easy
- eSignature Arkansas Finance & Tax Accounting Month To Month Lease Online
- eSignature Arkansas Finance & Tax Accounting Month To Month Lease Computer
- eSignature Arkansas Government Notice To Quit Online
- eSignature Arkansas Finance & Tax Accounting Month To Month Lease Mobile
- eSignature Arkansas Finance & Tax Accounting Month To Month Lease Now
- eSignature Arkansas Government Forbearance Agreement Safe
- eSignature Arkansas Finance & Tax Accounting Month To Month Lease Later
- eSignature Arkansas Government Notice To Quit Computer
- eSignature Arkansas Finance & Tax Accounting Month To Month Lease Myself
- eSignature Arkansas Finance & Tax Accounting Month To Month Lease Free
- eSignature Arkansas Government Notice To Quit Mobile
- eSignature Arkansas Finance & Tax Accounting Month To Month Lease Secure
- eSignature Arkansas Finance & Tax Accounting Month To Month Lease Fast
- eSignature Arkansas Finance & Tax Accounting Month To Month Lease Simple
- eSignature Arkansas Government Notice To Quit Now
- eSignature Arkansas Finance & Tax Accounting Month To Month Lease Easy
- eSignature Arkansas Finance & Tax Accounting Month To Month Lease Safe