
Tenants Moving Form


What is the moving out of apartment letter?
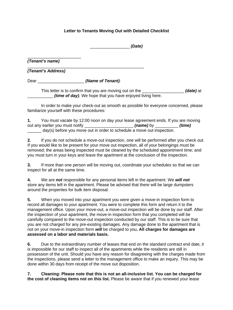
A moving out of apartment letter is a formal document that tenants provide to their landlords to notify them of their intention to vacate the rental property. This letter serves as a written record of the tenant's decision and typically includes important details such as the intended move-out date, the tenant's new address, and any requests for the return of the security deposit. It is essential for both parties to have clear communication regarding the move-out process to avoid misunderstandings.
Key elements of the moving out of apartment letter
When drafting a moving out of apartment letter, certain key elements should be included to ensure clarity and completeness. These elements typically consist of:
- Tenant's name and address: Clearly state the tenant's current address.
- Landlord's name and address: Include the landlord's contact information.
- Date of the letter: Indicate when the letter is being written.
- Move-out date: Specify the date the tenant plans to vacate the apartment.
- Forwarding address: Provide a new address for future correspondence, especially for the return of the security deposit.
- Request for inspection: Mention any requests for a walkthrough or inspection of the apartment prior to moving out.
Steps to complete the moving out of apartment letter
Completing a moving out of apartment letter involves several straightforward steps. Here’s a guide to help tenants through the process:
- Review the lease agreement: Check the lease for any specific requirements regarding notice periods and move-out procedures.
- Draft the letter: Use a clear and professional tone while including all necessary details as outlined above.
- Sign and date the letter: Ensure the letter is signed and dated to confirm its authenticity.
- Deliver the letter: Send the letter to the landlord via certified mail or hand-deliver it, ensuring to keep a copy for personal records.
- Follow up: After sending the letter, follow up with the landlord to confirm receipt and discuss any next steps.
Legal use of the moving out of apartment letter
The moving out of apartment letter is not just a courtesy; it also serves legal purposes. In many states, providing written notice is a requirement outlined in the lease agreement or state law. Failure to provide adequate notice may result in forfeiture of the security deposit or other penalties. It is advisable for tenants to familiarize themselves with local laws to ensure compliance and protect their rights during the moving process.
Examples of using the moving out of apartment letter
There are various scenarios in which a moving out of apartment letter may be utilized. For instance:
- A tenant relocating for a job opportunity in another city may use this letter to formally notify the landlord.
- A tenant who has decided to move in with family can provide the letter as part of their move-out process.
- In cases of lease termination due to non-renewal, tenants can use the letter to clarify their intentions.
State-specific rules for the moving out of apartment letter
Each state in the U.S. may have different regulations regarding the notice period required for moving out. For example, some states may require a thirty-day notice, while others may have a shorter or longer timeframe. It is crucial for tenants to check their state’s specific laws to ensure they provide the correct amount of notice in their moving out of apartment letter, thus avoiding potential legal issues or financial penalties.
Quick guide on how to complete move out cleaning checklist
Complete move out cleaning checklist effortlessly on any device
Online document management has become increasingly popular among businesses and individuals. It offers an ideal eco-friendly substitute for traditional printed and signed documents, allowing you to obtain the correct form and securely store it online. airSlate SignNow equips you with all the necessary tools to create, modify, and eSign your documents quickly without delays. Manage moving out of apartment letter on any device using the airSlate SignNow Android or iOS applications and simplify any document-based task today.
How to edit and eSign letter moving with without any hassle
- Find reply to tenants move out notice letter and click Get Form to begin.
- Utilize the tools we provide to complete your document.
- Mark important sections of the documents or redact sensitive information with tools that airSlate SignNow specifically offers for that purpose.
- Generate your signature using the Sign tool, which takes mere seconds and carries the same legal validity as a conventional wet ink signature.
- Verify all the information and click the Done button to save your updates.
- Choose how you would like to send your form, whether by email, text message (SMS), invitation link, or download it to your computer.
Forget about lost or misplaced files, tedious form navigation, or errors that necessitate printing new copies. airSlate SignNow fulfills all your document management needs in just a few clicks from any device you prefer. Modify and eSign moving out checklist for landlords and guarantee exceptional communication at every stage of the form preparation process with airSlate SignNow.
Create this form in 5 minutes or less
Related searches to letter to landlord moving out
Create this form in 5 minutes!
People also ask san francisco move out checklist 2017
-
What is a moving out of apartment letter?
A moving out of apartment letter is a formal notification sent to your landlord, indicating your intention to vacate the premises. This letter typically includes your move-out date and any important details regarding your lease. Using airSlate SignNow can help streamline this process by allowing you to create, sign, and send your letter electronically.
-
How can I create a moving out of apartment letter using airSlate SignNow?
Creating a moving out of apartment letter with airSlate SignNow is simple and efficient. You can access templates or create a custom letter using our user-friendly platform. Once completed, you can easily eSign and share the document with your landlord.
-
What features does airSlate SignNow offer for managing moving out of apartment letters?
airSlate SignNow offers a range of features to assist you in managing your moving out of apartment letter. You can utilize templates, track document status, set reminders for important dates, and enjoy secure storage for your signed documents.
-
Is airSlate SignNow cost-effective for sending moving out of apartment letters?
Yes, airSlate SignNow is a cost-effective solution for sending a moving out of apartment letter. With various pricing plans, you can find options that fit your budget while benefiting from unlimited document signing and sending capabilities.
-
Can I integrate airSlate SignNow with other applications when sending moving out of apartment letters?
Absolutely! airSlate SignNow supports integrations with various applications, including Google Drive and Dropbox. This feature allows you to easily import documents, including your moving out of apartment letter, and manage them efficiently within your existing workflow.
-
What are the benefits of using airSlate SignNow for my moving out of apartment letter?
Using airSlate SignNow for your moving out of apartment letter provides many benefits, including hassle-free eSigning and instant delivery. The platform ensures that your letters are legally binding and securely stored, saving you time and reducing the risk of delays.
-
How does airSlate SignNow ensure the security of my moving out of apartment letter?
airSlate SignNow employs robust security measures to protect your moving out of apartment letter and personal information. With data encryption, secure cloud storage, and compliance with industry standards, you can trust that your documents are safe.
Get more for sample move out letter to landlord
- Wa landlord rent form
- Misdemeanor 497429601 form
- Statutory warranty deed with representative acknowledgment washington form
- Letter from tenant to landlord about landlord using unlawful self help to gain possession washington form
- Wa statutory warranty 497429604 form
- Statutory deed form
- Letter from tenant to landlord about illegal entry by landlord washington form
- Statutory warranty form
Find out other move out letter template
- Sign Alabama Personal loan contract template Online
- Sign Montana Managed services contract template Computer
- Help Me With Sign Montana Managed services contract template
- How Can I Sign Montana Managed services contract template
- Sign Montana Managed services contract template Mobile
- Can I Sign Montana Managed services contract template
- Sign Montana Managed services contract template Now
- Sign Alabama Personal loan contract template Computer
- Sign Alabama Personal loan contract template Mobile
- How To Sign Alabama Personal loan contract template
- Sign Montana Managed services contract template Later
- How Do I Sign Alabama Personal loan contract template
- Help Me With Sign Alabama Personal loan contract template
- Sign Montana Managed services contract template Myself
- Sign Alabama Personal loan contract template Now
- How Can I Sign Alabama Personal loan contract template
- Can I Sign Alabama Personal loan contract template
- Sign Montana Managed services contract template Free
- Sign Alabama Personal loan contract template Later
- Sign Montana Managed services contract template Secure