
Quitclaim Deed from Husband to Himself and Wife Wisconsin Form


What is the Quitclaim Deed From Husband To Himself And Wife Wisconsin
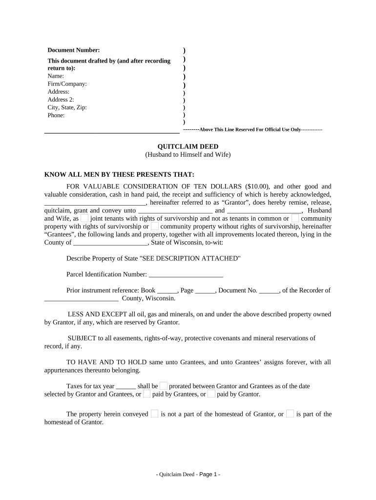
A quitclaim deed from husband to himself and wife in Wisconsin is a legal document used to transfer ownership of property. This type of deed does not guarantee that the husband has clear title to the property; it simply conveys whatever interest he may have. It is often used in situations such as marriage, divorce, or estate planning, where property ownership needs to be clarified or transferred between spouses.
Steps to Complete the Quitclaim Deed From Husband To Himself And Wife Wisconsin
Completing a quitclaim deed from husband to himself and wife involves several important steps:
- Gather Required Information: Collect details about the property, including the legal description, current owner(s), and any relevant tax information.
- Draft the Deed: Use a template or legal software to create the quitclaim deed, ensuring it includes the names of both spouses, the property description, and the statement of transfer.
- Sign the Deed: Both spouses must sign the deed in the presence of a notary public to ensure its validity.
- File the Deed: Submit the signed deed to the appropriate county office for recording. This step is crucial for making the transfer public and legally binding.
Key Elements of the Quitclaim Deed From Husband To Himself And Wife Wisconsin
When preparing a quitclaim deed, certain key elements must be included:
- Parties Involved: Clearly state the names of the husband and wife as grantor and grantee.
- Property Description: Provide a detailed legal description of the property being transferred, including parcel numbers if applicable.
- Consideration: Although not always required, it is common to state the consideration or value exchanged for the property.
- Signatures and Notarization: Ensure both parties sign the document and have it notarized to confirm authenticity.
Legal Use of the Quitclaim Deed From Husband To Himself And Wife Wisconsin
The quitclaim deed serves a specific legal purpose in Wisconsin. It is primarily used to transfer property between spouses without the need for a sale or formal closing process. This can be particularly useful in estate planning, divorce settlements, or when consolidating property ownership. It is important to understand that a quitclaim deed does not provide any warranties regarding the title, meaning the grantee accepts the property "as is."
State-Specific Rules for the Quitclaim Deed From Husband To Himself And Wife Wisconsin
Wisconsin has specific regulations governing the use of quitclaim deeds. These include:
- Recording Requirements: The deed must be recorded in the county where the property is located to be effective against third parties.
- Notarization: The signatures of both parties must be notarized to validate the deed.
- Property Taxes: The transfer may have implications for property taxes, so consulting a tax professional is advisable.
How to Obtain the Quitclaim Deed From Husband To Himself And Wife Wisconsin
Obtaining a quitclaim deed in Wisconsin can be done through several methods:
- Legal Templates: Many websites offer templates for quitclaim deeds that can be customized to fit specific needs.
- Legal Professionals: Consulting with a real estate attorney can ensure the deed is properly drafted and complies with state laws.
- County Clerk’s Office: Visit the local county clerk’s office for official forms and guidance on the recording process.
Quick guide on how to complete quitclaim deed from husband to himself and wife wisconsin
Access [SKS] effortlessly on any device
Digital document management has gained traction among businesses and individuals alike. It offers an ideal eco-conscious substitute to conventional printed and signed paperwork, as you can locate the correct template and securely store it online. airSlate SignNow equips you with all the tools necessary to create, modify, and eSign your documents swiftly without delays. Manage [SKS] on any platform using airSlate SignNow's Android or iOS applications and enhance any document-centric process today.
How to adjust and eSign [SKS] with ease
- Find [SKS] and click on Get Form to initiate.
- Utilize the tools we provide to complete your form.
- Highlight important sections of the documents or obscure sensitive information with tools specifically offered by airSlate SignNow for that purpose.
- Create your signature using the Sign tool, which takes mere seconds and holds the same legal validity as a conventional handwritten signature.
- Review the information and click on the Done button to save your changes.
- Choose how you wish to send your form, either via email, text message (SMS), or invitation link, or download it to your computer.
Say goodbye to lost or misplaced documents, tedious form searches, or mistakes that warrant new document prints. airSlate SignNow meets your document management needs in just a few clicks from any device of your preference. Adjust and eSign [SKS] and ensure excellent communication at every step of your form creation process with airSlate SignNow.
Create this form in 5 minutes or less
Create this form in 5 minutes!
People also ask
-
What is a Quitclaim Deed From Husband To Himself And Wife in Wisconsin?
A Quitclaim Deed From Husband To Himself And Wife in Wisconsin is a legal document that allows a husband to transfer ownership of property to himself and his wife. This type of deed ensures that both parties are recognized as co-owners of the property. It's a straightforward process that provides clarity in ownership rights without any warranty of title.
-
How can airSlate SignNow help with the Quitclaim Deed process in Wisconsin?
airSlate SignNow simplifies the process of creating and signing a Quitclaim Deed From Husband To Himself And Wife in Wisconsin. Our platform allows you to easily draft, edit, and electronically sign the document, ensuring it is legally binding. With our easy-to-use interface, you can complete the deed quickly and efficiently.
-
How much does it cost to use airSlate SignNow for a Quitclaim Deed in Wisconsin?
Pricing for using airSlate SignNow to create a Quitclaim Deed From Husband To Himself And Wife in Wisconsin varies based on your subscription plan. We offer competitive rates and flexible payment options. You can choose a plan that fits your needs, ensuring you get the best value for your document management.
-
What are the benefits of using airSlate SignNow for a Quitclaim Deed?
Using airSlate SignNow for a Quitclaim Deed From Husband To Himself And Wife in Wisconsin allows for a quick and secure signing process. Our solution enhances efficiency, reduces paperwork, and provides automated reminders to avoid delays. Additionally, all documents are safely stored and easily accessible for future reference.
-
Is it safe to eSign a Quitclaim Deed with airSlate SignNow?
Yes, it is safe to eSign a Quitclaim Deed From Husband To Himself And Wife in Wisconsin using airSlate SignNow. We implement advanced security measures, including encryption and authentication, to protect your sensitive information. You can trust that your documents are secure while being easy to access.
-
Can I integrate airSlate SignNow with other applications?
Absolutely! airSlate SignNow allows for seamless integration with various applications and platforms. This means you can manage your real estate documents, including a Quitclaim Deed From Husband To Himself And Wife in Wisconsin, alongside other tools you already use, enhancing your overall workflow.
-
What happens after I complete a Quitclaim Deed using airSlate SignNow?
Once you complete and sign a Quitclaim Deed From Husband To Himself And Wife in Wisconsin using airSlate SignNow, the document is ready for filing with the appropriate county recorder's office. We provide you with a downloadable copy for your records and can also assist you with the filing process if needed.
Get more for Quitclaim Deed From Husband To Himself And Wife Wisconsin
Find out other Quitclaim Deed From Husband To Himself And Wife Wisconsin
- eSign Kentucky Real Estate Emergency Contact Form Secure
- eSign Iowa Real Estate Emergency Contact Form Simple
- Help Me With eSign Iowa Real Estate Emergency Contact Form
- eSign Iowa Real Estate Emergency Contact Form Easy
- eSign Iowa Real Estate Emergency Contact Form Safe
- How Can I eSign Iowa Real Estate Emergency Contact Form
- eSign Kentucky Real Estate Emergency Contact Form Fast
- Can I eSign Iowa Real Estate Emergency Contact Form
- eSign Kentucky Real Estate Separation Agreement Online
- eSign Kentucky Real Estate Separation Agreement Computer
- eSign Kentucky Real Estate Emergency Contact Form Simple
- eSign Kentucky Real Estate Separation Agreement Mobile
- eSign Kentucky Real Estate Separation Agreement Later
- eSign Kentucky Real Estate Separation Agreement Now
- eSign Kentucky Real Estate Emergency Contact Form Easy
- eSign Kentucky Real Estate Separation Agreement Myself
- eSign Kentucky Real Estate Separation Agreement Free
- eSign Kentucky Real Estate Separation Agreement Secure
- eSign Kentucky Real Estate Separation Agreement Fast
- How To eSign Kentucky Real Estate Separation Agreement