
Warranty Deed from Husband and Wife to Corporation Wisconsin Form


What is the Warranty Deed From Husband And Wife To Corporation Wisconsin
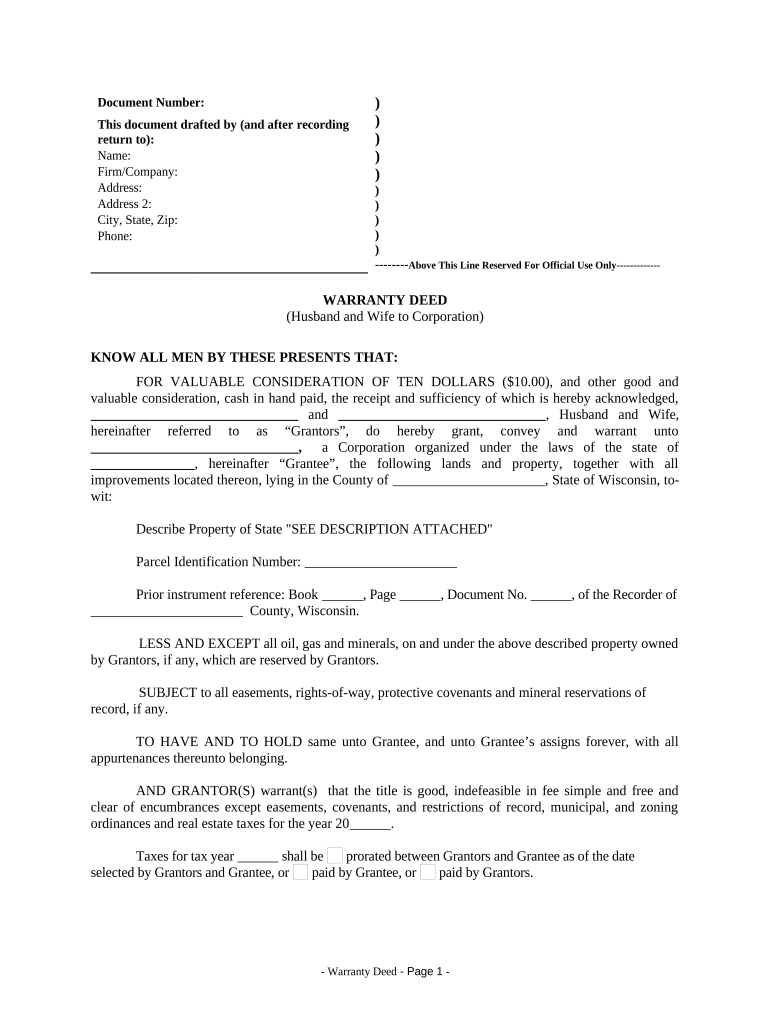
A warranty deed from husband and wife to a corporation in Wisconsin is a legal document that transfers property ownership from a married couple to a corporate entity. This type of deed guarantees that the couple holds clear title to the property and has the right to sell it. The deed includes specific details such as the names of the grantors (the husband and wife), the name of the grantee (the corporation), a legal description of the property, and the signatures of the grantors. It serves as a formal record of the transaction and is crucial for establishing ownership rights.
Steps to Complete the Warranty Deed From Husband And Wife To Corporation Wisconsin
Completing a warranty deed from husband and wife to a corporation in Wisconsin involves several key steps:
- Gather necessary information, including the full names of the husband and wife, the corporation's name, and the legal description of the property.
- Draft the warranty deed, ensuring all required elements are included, such as the grantors' and grantee's details and the property description.
- Both spouses must sign the deed in the presence of a notary public to validate the document.
- Record the completed deed with the appropriate county register of deeds office to make the transfer official.
Key Elements of the Warranty Deed From Husband And Wife To Corporation Wisconsin
Several essential elements must be included in a warranty deed from husband and wife to a corporation in Wisconsin:
- Grantors: The full names of the husband and wife transferring the property.
- Grantee: The name of the corporation receiving the property.
- Legal Description: A precise description of the property being transferred, often including parcel numbers.
- Signatures: Both spouses must sign the deed, and their signatures must be notarized.
- Date: The date on which the deed is executed.
Legal Use of the Warranty Deed From Husband And Wife To Corporation Wisconsin
The warranty deed from husband and wife to a corporation is legally binding once properly executed and recorded. This document protects the interests of the grantee by ensuring that the grantors have the authority to transfer the property and that the title is free from any encumbrances. It is vital for the couple to disclose any existing liens or claims on the property to avoid future legal disputes.
State-Specific Rules for the Warranty Deed From Husband And Wife To Corporation Wisconsin
In Wisconsin, specific rules govern the execution and recording of warranty deeds. The deed must comply with state statutes regarding property transfers. This includes ensuring that the document is signed by both spouses and notarized. Additionally, the completed deed must be recorded within a certain timeframe at the county register of deeds office to be enforceable against third parties. Failure to adhere to these regulations may result in complications regarding property ownership.
How to Obtain the Warranty Deed From Husband And Wife To Corporation Wisconsin
To obtain a warranty deed from husband and wife to a corporation in Wisconsin, individuals can either draft the document themselves using templates available online or consult a real estate attorney for assistance. Many legal professionals can provide tailored advice and ensure that the deed meets all legal requirements. Additionally, local real estate offices may have resources or forms available for this purpose.
Quick guide on how to complete warranty deed from husband and wife to corporation wisconsin
Easily Prepare [SKS] on Any Device
Digital document management has gained traction among businesses and individuals. It offers an ideal environmentally-friendly alternative to conventional printed and signed documents, as you can access the right form and securely store it online. airSlate SignNow equips you with all the tools necessary to create, edit, and eSign your documents quickly without holdups. Manage [SKS] on any device using the airSlate SignNow Android or iOS applications and streamline any document-related task today.
The simplest way to edit and eSign [SKS] effortlessly
- Obtain [SKS] and click on Get Form to begin.
- Utilize the tools we provide to fill out your form.
- Emphasize important sections of your documents or redact sensitive details with the tools that airSlate SignNow has specifically designed for that function.
- Generate your eSignature using the Sign tool, which only takes seconds and carries the same legal validity as a traditional handwritten signature.
- Review all the details and click on the Done button to save your modifications.
- Select your preferred method for delivering your form, whether by email, SMS, or invite link, or download it to your computer.
Eliminate concerns about lost or misplaced documents, cumbersome form searches, or mistakes that necessitate printing additional document copies. airSlate SignNow meets your document management needs in just a few clicks from any device you choose. Edit and eSign [SKS] to ensure excellent communication at every stage of your form preparation process with airSlate SignNow.
Create this form in 5 minutes or less
Related searches to Warranty Deed From Husband And Wife To Corporation Wisconsin
Create this form in 5 minutes!
People also ask
-
What is a Warranty Deed From Husband And Wife To Corporation in Wisconsin?
A Warranty Deed From Husband And Wife To Corporation in Wisconsin is a legal document that transfers property ownership from a married couple to a corporation. This type of deed provides a guarantee that the title is clear of any liens or encumbrances. Understanding this process is crucial for both the sellers and the corporation receiving the property.
-
How can I create a Warranty Deed From Husband And Wife To Corporation in Wisconsin?
Creating a Warranty Deed From Husband And Wife To Corporation in Wisconsin can be easily accomplished using airSlate SignNow's intuitive platform. Our solution provides templates specifically designed for this type of deed. Additionally, our user-friendly interface ensures a seamless experience in filling out and signing your documents.
-
What are the benefits of using airSlate SignNow for my Warranty Deed From Husband And Wife To Corporation in Wisconsin?
Using airSlate SignNow for your Warranty Deed From Husband And Wife To Corporation in Wisconsin offers several benefits. Our platform enables quick document preparation, easy electronic signatures, and secure storage. This streamlines the transaction process, saving time and ensuring compliance with legal requirements.
-
Is there a fee associated with obtaining a Warranty Deed From Husband And Wife To Corporation in Wisconsin?
Yes, there is typically a fee associated with preparing and filing a Warranty Deed From Husband And Wife To Corporation in Wisconsin. However, airSlate SignNow offers competitive pricing options that can suit various budgets. Our service simplifies the process without compromising quality or efficiency.
-
Are electronic signatures on a Warranty Deed From Husband And Wife To Corporation valid in Wisconsin?
Yes, electronic signatures on a Warranty Deed From Husband And Wife To Corporation are valid in Wisconsin, provided they meet state-specific legal standards. Utilizing airSlate SignNow ensures that your electronic signatures are compliant and secure, making your transactions both valid and reliable.
-
Can I edit a Warranty Deed From Husband And Wife To Corporation in Wisconsin after sending it for eSignature?
Once a Warranty Deed From Husband And Wife To Corporation in Wisconsin is sent for eSignature, editing is not permitted to maintain the document's integrity. However, you can easily create a new document if any details need to be modified. airSlate SignNow allows you to manage and resend documents effortlessly.
-
What integrations does airSlate SignNow offer that can assist with my Warranty Deed From Husband And Wife To Corporation?
airSlate SignNow offers multiple integrations that streamline the document management process for your Warranty Deed From Husband And Wife To Corporation in Wisconsin. You can connect with popular applications like Google Drive, Dropbox, and Microsoft Office, making it easier to access and manage your documents all in one place.
Get more for Warranty Deed From Husband And Wife To Corporation Wisconsin
Find out other Warranty Deed From Husband And Wife To Corporation Wisconsin
- Can I Sign Vermont Non-Profit PDF
- Help Me With Sign Vermont Non-Profit PDF
- How Do I Sign Vermont Non-Profit PDF
- How To Sign Vermont Non-Profit PDF
- How Can I Sign Vermont Non-Profit PDF
- Help Me With Sign Vermont Non-Profit PDF
- How To Sign Vermont Non-Profit Word
- How Can I Sign Vermont Non-Profit PDF
- Can I Sign Vermont Non-Profit PDF
- Can I Sign Vermont Non-Profit PDF
- How Do I Sign Vermont Non-Profit Word
- How To Sign Vermont Non-Profit Word
- Help Me With Sign Vermont Non-Profit Word
- How Do I Sign Vermont Non-Profit Word
- Help Me With Sign Vermont Non-Profit Word
- How Can I Sign Vermont Non-Profit Word
- How Can I Sign Vermont Non-Profit Word
- Can I Sign Vermont Non-Profit Word
- How To Sign Vermont Non-Profit Word
- Can I Sign Vermont Non-Profit Word