
Petition for Waiver of Jurisdiction Wisconsin Form


What is the Petition For Waiver Of Jurisdiction Wisconsin
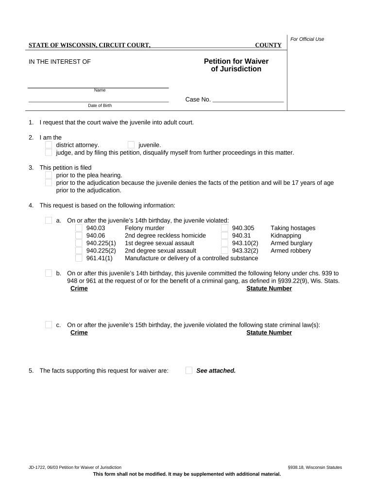
The Petition for Waiver of Jurisdiction in Wisconsin is a legal document used to request that a court relinquish its jurisdiction over a particular case. This petition is often relevant in family law matters, such as custody disputes or child support cases, where parties seek to have the case heard in a different jurisdiction that may be more appropriate for their circumstances. Understanding the specific requirements and implications of filing this petition is crucial for ensuring that the request aligns with legal standards.
How to use the Petition For Waiver Of Jurisdiction Wisconsin
Using the Petition for Waiver of Jurisdiction involves several key steps. First, individuals must accurately fill out the form, providing all necessary information regarding the case and the reasons for seeking a waiver. It is important to articulate why the current jurisdiction is not suitable and how the new jurisdiction would better serve the interests of those involved. After completing the form, it should be filed with the appropriate court, and all parties involved must be notified according to local rules.
Steps to complete the Petition For Waiver Of Jurisdiction Wisconsin
Completing the Petition for Waiver of Jurisdiction involves a systematic approach:
- Gather relevant information about the case, including details about the parties involved and the current jurisdiction.
- Clearly state the reasons for requesting the waiver, emphasizing any factors that support the change of jurisdiction.
- Fill out the petition form accurately, ensuring all required fields are completed.
- Review the document for any errors or omissions before submission.
- File the completed petition with the appropriate court and serve copies to all involved parties.
Key elements of the Petition For Waiver Of Jurisdiction Wisconsin
Several key elements must be included in the Petition for Waiver of Jurisdiction to ensure its validity:
- Case Information: Include the case number, names of the parties involved, and the current jurisdiction.
- Reasons for Waiver: Clearly articulate the reasons for requesting the waiver, supported by relevant facts.
- Proposed Jurisdiction: Specify the jurisdiction to which the case should be transferred and why it is more appropriate.
- Signature: Ensure the petition is signed by the party requesting the waiver or their legal representative.
State-specific rules for the Petition For Waiver Of Jurisdiction Wisconsin
Wisconsin has specific rules governing the filing and processing of the Petition for Waiver of Jurisdiction. These rules dictate the format of the petition, the timeline for filing, and the necessary notifications to other parties involved in the case. It is essential to consult the Wisconsin Statutes and local court rules to ensure compliance with all procedural requirements, as failure to adhere to these rules may result in delays or dismissal of the petition.
Form Submission Methods (Online / Mail / In-Person)
The Petition for Waiver of Jurisdiction in Wisconsin can typically be submitted through various methods:
- Online: Many courts offer electronic filing options, allowing individuals to submit their petitions through a secure online portal.
- Mail: The completed petition can be mailed to the appropriate court. Ensure that it is sent to the correct address and consider using certified mail for tracking purposes.
- In-Person: Individuals may also choose to file the petition in person at the court clerk's office, where they can receive immediate confirmation of submission.
Quick guide on how to complete petition for waiver of jurisdiction wisconsin
Effortlessly Prepare [SKS] on Any Device
The management of documents online has gained popularity among businesses and individuals. It serves as an ideal eco-friendly alternative to traditional printed and signed paperwork, as you can access the necessary form and securely store it online. airSlate SignNow provides you with all the tools required to create, modify, and electronically sign your documents swiftly without delays. Handle [SKS] on any platform using airSlate SignNow Android or iOS applications and enhance any document-based workflow today.
How to Modify and Electronically Sign [SKS] with Ease
- Obtain [SKS] and then click Get Form to begin.
- Utilize the tools we provide to fill out your form.
- Emphasize important sections of your documents or obscure sensitive information using tools that airSlate SignNow offers specifically for this purpose.
- Create your signature with the Sign tool, which takes just seconds and carries the same legal validity as a traditional wet ink signature.
- Review all the information and then click on the Done button to preserve your modifications.
- Select how you wish to deliver your form, via email, text message (SMS), or invite link, or download it to your computer.
Say goodbye to lost or misplaced files, tedious form navigation, or errors that necessitate printing new document copies. airSlate SignNow fulfills all your document management needs in just a few clicks from any device you prefer. Modify and electronically sign [SKS] and ensure effective communication at every stage of the form preparation process with airSlate SignNow.
Create this form in 5 minutes or less
Create this form in 5 minutes!
People also ask
-
What is a Petition For Waiver Of Jurisdiction Wisconsin?
A Petition For Waiver Of Jurisdiction Wisconsin is a legal document that requests a court to waive its jurisdiction over a specific matter, often involving family law or juvenile proceedings. It is essential for individuals looking to navigate legal issues effectively and can streamline the process of having their case heard in a different jurisdiction.
-
How can airSlate SignNow help with my Petition For Waiver Of Jurisdiction Wisconsin?
airSlate SignNow provides a user-friendly platform to create, send, and eSign your Petition For Waiver Of Jurisdiction Wisconsin. Our solution ensures that your documents are legally binding and securely stored, facilitating a smooth legal process while saving you time.
-
What are the pricing options for airSlate SignNow?
airSlate SignNow offers a cost-effective solution to manage your legal documents, including the Petition For Waiver Of Jurisdiction Wisconsin. We provide flexible pricing plans that cater to different needs, ensuring you only pay for the features you require without unnecessary overhead.
-
Is there a template available for a Petition For Waiver Of Jurisdiction Wisconsin?
Yes, airSlate SignNow offers customizable templates for various legal documents, including the Petition For Waiver Of Jurisdiction Wisconsin. These templates are designed to simplify the document creation process, ensuring you have a solid foundation for your legal needs.
-
Can I integrate airSlate SignNow with other tools for processing my Petition For Waiver Of Jurisdiction Wisconsin?
Absolutely! airSlate SignNow integrates seamlessly with popular applications and tools, enhancing your workflow when processing documents like the Petition For Waiver Of Jurisdiction Wisconsin. Integration capabilities allow users to streamline their processes and improve productivity.
-
What are the benefits of using airSlate SignNow for legal documents?
Using airSlate SignNow for your legal documents, including the Petition For Waiver Of Jurisdiction Wisconsin, offers numerous benefits. You’ll enjoy faster turnaround times, improved accuracy with eSignatures, and enhanced security features to protect sensitive information during the signing process.
-
Is airSlate SignNow legally compliant for my Petition For Waiver Of Jurisdiction Wisconsin?
Yes, airSlate SignNow complies with all relevant legal requirements for electronic signatures, making it suitable for your Petition For Waiver Of Jurisdiction Wisconsin. Our platform ensures that your documents are securely signed and meet the legal standards necessary for enforceability.
Get more for Petition For Waiver Of Jurisdiction Wisconsin
Find out other Petition For Waiver Of Jurisdiction Wisconsin
- Sign Government PDF Utah Later
- Sign Government PDF Utah Myself
- Sign Texas Government Lease Agreement Template Secure
- How Do I Sign Texas Government Lease Agreement Template
- Sign Government PDF Utah Free
- Sign Government PDF Utah Secure
- Help Me With Sign Texas Government Lease Agreement Template
- Sign Government PDF Utah Fast
- Sign Texas Government Lease Agreement Template Fast
- Sign Government PDF Utah Simple
- How Can I Sign Texas Government Lease Agreement Template
- Sign Government PDF Utah Easy
- Sign Government PDF Utah Safe
- Sign Texas Government Lease Agreement Template Simple
- Can I Sign Texas Government Lease Agreement Template
- Sign Alabama Healthcare / Medical Lease Termination Letter Online
- Sign Texas Government Lease Agreement Template Easy
- Sign Alabama Healthcare / Medical Lease Termination Letter Computer
- Sign Alabama Healthcare / Medical Lease Termination Letter Mobile
- Sign Alabama Healthcare / Medical Lease Termination Letter Now