
Seller's Property Disclosure Statement BuyandSellwithBill Com Form


Understanding the Florida Seller Disclosure Form
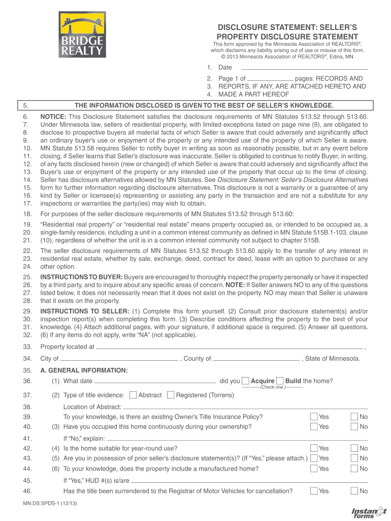
The Florida seller disclosure form is a critical document in real estate transactions. It provides potential buyers with essential information about the condition of a property. Sellers are required to disclose known issues that could affect the property’s value or desirability. This includes details about structural problems, pest infestations, and any past repairs. The form helps ensure transparency and protects both parties in the transaction.
Key Elements of the Florida Seller Disclosure Form
This form typically includes several key components that sellers must address. Key elements include:
- Property Information: Basic details about the property, including its address and type.
- Disclosure of Defects: A section where sellers must list any known defects or issues.
- Legal Compliance: Confirmation that the seller complies with local and state laws regarding property disclosures.
- Signature Section: Areas for both the seller and buyer to sign, acknowledging the disclosures made.
Steps to Complete the Florida Seller Disclosure Form
Completing the Florida seller disclosure form involves a few straightforward steps:
- Gather Information: Collect all relevant details about the property, including any repairs or issues.
- Fill Out the Form: Provide accurate information in each section of the form.
- Review for Accuracy: Double-check all entries to ensure completeness and correctness.
- Sign and Date: Both the seller and buyer should sign and date the form to validate it.
Legal Use of the Florida Seller Disclosure Form
The Florida seller disclosure form serves a legal purpose in real estate transactions. It is designed to protect buyers by ensuring they are informed about the property's condition. Failure to provide a complete and accurate disclosure can lead to legal repercussions for the seller, including potential lawsuits for misrepresentation. Thus, it is essential for sellers to understand their obligations under Florida law when completing this form.
Obtaining the Florida Seller Disclosure Form
Sellers can obtain the Florida seller disclosure form through various sources. Real estate agents often provide this form as part of their services. Additionally, it is available through online legal resources and state real estate websites. It is important to ensure that the version used is current and compliant with Florida regulations.
State-Specific Rules for the Florida Seller Disclosure Form
Florida has specific regulations regarding the seller disclosure form. Sellers must comply with the Florida Statutes, which outline the required disclosures. These rules dictate what information must be included and the timeframe for providing the form to potential buyers. Understanding these state-specific rules is crucial for ensuring compliance and avoiding legal issues.
Quick guide on how to complete florida realtor spdr 3
Easily Prepare florida realtor spdr 3 on Any Device
Digital document management has become increasingly popular among businesses and individuals. It offers an excellent eco-friendly alternative to conventional printed and signed papers, as you can easily locate the right form and securely store it online. airSlate SignNow provides you with all the necessary tools to create, modify, and electronically sign your documents promptly without delays. Handle florida seller disclosure form on any device with airSlate SignNow's Android or iOS applications and improve any document-based workflow today.
How to Alter and eSign florida realtor spdr 3 Effortlessly
- Obtain property disclosure statement and click on Get Form to begin.
- Utilize the tools available to fill out your document.
- Mark important sections of your documents or obscure sensitive information using the tools that airSlate SignNow provides specifically for that purpose.
- Generate your eSignature with the Sign feature, which takes just seconds and holds the same legal validity as a traditional wet ink signature.
- Review the details carefully and click on the Done button to save your edits.
- Select your preferred method for sending your form, whether by email, SMS, invitation link, or download to your computer.
Set aside concerns about lost or misplaced documents, tedious form searches, or errors that necessitate printing new document copies. airSlate SignNow addresses all your document management needs in just a few clicks from any device you choose. Edit and eSign florida seller disclosure form while ensuring excellent communication throughout your form preparation process with airSlate SignNow.
Create this form in 5 minutes or less
FAQs florida realtor spdr 3
-
How do I fill out form 26QB for TDS in case of more than one buyer and seller?
Hi,Please select Yes in the column of Whether more than one Buyer/seller as applicable, and enter the Primary Member details in the Address of Transferee/Transferor & no need of secondary person details.The reason to include this is to know whether the agreement includes more than one buyer/seller, so the option is enabled.Hope it is useful.
-
How do I fill out a title when buying a vehicle from a provate seller off craigslist for instance?
To be sure to get it right, buyer and seller should meet at the buyers bank and have one of their Notaries handle the paperwork. The seller can then get paid from your account and will officially be absolved if responsibility for what the buyer does with the vehicle. The buyer is also protected because the Notary will be sure the seller is the legal owner and be sure their are not liens on it.
-
How do I fill out the GST and get a GSTIN if I’m a one time seller on eBay?
It is recommended to subscribe to an advanced yet easy-to-use ASP (Application Service Provider) who provides the platform for easy Return Filings. Alternately, MS-Excel utilities can be used for the filing purpose.Breaking the Return Format:We have a total of 13 different sections in GSTR-1 that must be filled by the registered vendor or the CA who is managing the businesses. Know More: enComply
-
For the new 2016 W8-BEN-E form to be filled out by companies doing business as a seller on the Amazon USA website, do I fill out a U.S. TIN, a GIIN, or a foreign TIN?
You will need to obtain an EIN for the BC corporation; however, I would imagine a W8-BEN is not appropriate for you, if you are selling through Amazon FBA. The FBA program generally makes Amazon your agent in the US, which means any of your US source income, ie anything sold to a US customer is taxable in the US. W8-BEN is asserting that you either have no US sourced income or that income is exempt under the US/Canadian tax treaty. Based on the limited knowledge I have of your situation, but if you are selling through the FBA program, I would say you don’t qualify to file a W8-BEN, but rather should be completing a W8-ECI and your BC corporation should be filing an 1120F to report your US effectively connected income.
-
On my online banking, I saw a copy of a check I wrote realized that the seller filled out the memo field on the check! Is this even allowed?
There is no online banking law as suchDuring the course of time an on line banking law may come.Under what law withdrawal throigh ATM ,with out signature is valid?
-
How can I register a motorcycle title where the seller filled in another buyer’s information already? I crossed it out and wrote mine but the SOS will not accept it in Michigan.
Check with the local SOS office, they should be able to guide you through this. Inquire about what it takes to obtain a duplicate title, but be aware this is something the previous owner will have to request and hand over to you once received by them. That is the only method I’m familiar with to correct the problem you have.
-
I don't have enough money to buy a house. How can I buy a house with limited money?
A home is the most expensive thing most people will buy in their entire lives. Most people pay between 2 and 10 times their annual income for a home and spend most of their working lives paying down the mortgage. Saving the down payment for your first home is difficult. For most it requires living well below their means while they save up between 5% and 25% of the purchase price of a home as a down payment.Take a look at your current annual income. Then look at the prices for modest homes in your area. You might not be able to afford a house on a lot. You might have to settle for a small apartment. If you can’t find anything for 10 times your annual income or less, you aren’t going to be able to afford to buy a home, even If you could save up a down payment. Your only solution will be to increase your annual income.Maybe your best use of any savings you can scrape together might be more education and training that will allow you to qualify for a better paying job. If you are stuck in a low wage rut, you need to make breaking out of that your first priority. Let saving for a home come later, after you have established a better career.
Related searches to property disclosure statement
Create this form in 5 minutes!
How to create an eSignature for the florida seller disclosure form
How to create an electronic signature for the Selleramp39s Property Disclosure Statement Buyandsellwithbillcom in the online mode
How to generate an eSignature for the Selleramp39s Property Disclosure Statement Buyandsellwithbillcom in Google Chrome
How to create an eSignature for signing the Selleramp39s Property Disclosure Statement Buyandsellwithbillcom in Gmail
How to generate an electronic signature for the Selleramp39s Property Disclosure Statement Buyandsellwithbillcom from your mobile device
How to create an electronic signature for the Selleramp39s Property Disclosure Statement Buyandsellwithbillcom on iOS devices
How to create an electronic signature for the Selleramp39s Property Disclosure Statement Buyandsellwithbillcom on Android
People also ask property disclosure statement
-
What is Florida realtor spdr 3, and how can it benefit my real estate business?
Florida realtor spdr 3 is a specialized platform designed to streamline real estate transactions. By utilizing this service, realtors can enhance efficiency, reduce paperwork, and accelerate the signing process, ultimately improving customer satisfaction.
-
How does airSlate SignNow integrate with Florida realtor spdr 3?
airSlate SignNow seamlessly integrates with Florida realtor spdr 3 to provide a comprehensive eSigning solution. This integration allows realtors to send documents for signature directly from their real estate management system, making the process faster and more reliable.
-
What pricing options are available for Florida realtor spdr 3 users?
The pricing for Florida realtor spdr 3 is competitive and tailored to meet the needs of real estate professionals. airSlate SignNow offers flexible subscription plans that cater to both individual agents and larger teams, ensuring a cost-effective solution for everyone.
-
What features are included in the Florida realtor spdr 3 solution?
Florida realtor spdr 3 includes an array of features such as customizable templates, real-time tracking of document status, and automatic reminders. These features enhance document management, making it easier for realtors to keep track of their transactions.
-
Can Florida realtor spdr 3 help with compliance and legal standards?
Yes, Florida realtor spdr 3 is designed to help realtors maintain compliance with state and federal regulations. By using airSlate SignNow, agents can ensure that all documents are legally signed and stored securely, reducing the risk of compliance issues.
-
How does airSlate SignNow ensure the security of documents for Florida realtor spdr 3 users?
Security is a top priority for airSlate SignNow, especially for Florida realtor spdr 3 users. Documents are encrypted during transmission and storage, and robust authentication measures are in place to protect sensitive real estate transactions from unauthorized access.
-
What are the benefits of using airSlate SignNow with Florida realtor spdr 3?
Using airSlate SignNow with Florida realtor spdr 3 provides several advantages, including reduced turnaround times, improved transaction tracking, and enhanced client experience. These benefits lead to increased efficiency and higher satisfaction for realtors and their clients alike.
Get more for florida seller disclosure form
- Trust distribution agreement sample form
- Rxamerica prior auth form
- Secondary schools in kenya and their codes pdf form
- The tiny seed pdf no download needed form
- Vin verification license form
- Title iv authorization form morgan state university morgan
- Stadium high school student course selection sheet class form
- Linn county small claims court form
Find out other florida realtor spdr 3
- eSign Kansas Government IOU Simple
- eSign Idaho Healthcare / Medical Cease And Desist Letter Fast
- eSign Kansas Government IOU Safe
- eSign Kansas Government IOU Easy
- eSign Idaho Healthcare / Medical Cease And Desist Letter Simple
- eSign Kansas Government Warranty Deed Safe
- eSign Idaho Healthcare / Medical Cease And Desist Letter Easy
- How To eSign Kansas Government IOU
- Help Me With eSign Kansas Government IOU
- How Do I eSign Kansas Government IOU
- eSign Idaho Healthcare / Medical Cease And Desist Letter Safe
- How Can I eSign Kansas Government IOU
- Can I eSign Kansas Government IOU
- eSign Colorado High Tech Business Plan Template Online
- eSign Colorado High Tech Business Plan Template Computer
- eSign Colorado High Tech Resignation Letter Online
- eSign Colorado High Tech Business Plan Template Mobile
- eSign Colorado High Tech Claim Online
- eSign Colorado High Tech Business Plan Template Now
- eSign Colorado High Tech Resignation Letter Computer