
WITNESSETH that Grantor, for and in Consideration of the Sum of Ten Dollars $10 Form


What is the WITNESSETH That Grantor, For And In Consideration Of The Sum Of Ten Dollars $10
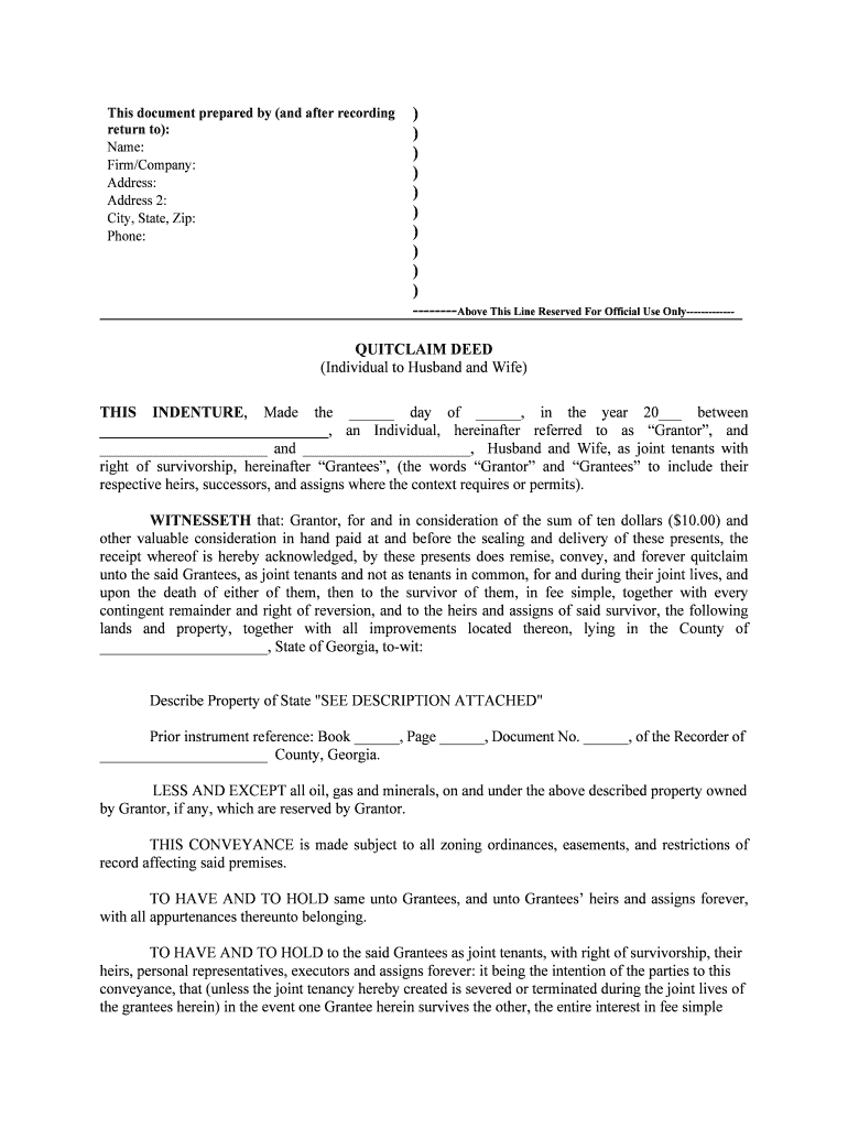
The phrase "WITNESSETH That Grantor, For And In Consideration Of The Sum Of Ten Dollars $10" typically appears in legal documents, particularly in deeds or contracts. This phrase signifies that the grantor is executing a transfer of rights or property in exchange for a nominal amount, often used to establish consideration in legal terms. The amount of ten dollars is symbolic, demonstrating that some form of consideration exists, which is a necessary element for the validity of a contract.
Key Elements of the WITNESSETH That Grantor, For And In Consideration Of The Sum Of Ten Dollars $10
Several key elements are essential for the effective use of this phrase in legal documents:
- Grantor and Grantee Identification: Clearly identify the parties involved, including their full names and addresses.
- Consideration: The phrase explicitly states the consideration amount, which, although nominal, is crucial for legal validity.
- Intent: The document must reflect the intent of both parties to enter into a binding agreement.
- Signatures: Proper execution requires signatures from all parties, often witnessed or notarized to enhance legal standing.
Steps to Complete the WITNESSETH That Grantor, For And In Consideration Of The Sum Of Ten Dollars $10
Completing this form involves several straightforward steps:
- Gather Information: Collect the necessary details about the grantor and grantee, including names and addresses.
- Draft the Document: Incorporate the phrase along with all required elements into the document.
- Review the Document: Ensure all information is accurate and that the document reflects the intent of both parties.
- Sign the Document: Have all parties sign the document in the presence of a witness or notary, if required.
- Distribute Copies: Provide copies to all parties involved for their records.
Legal Use of the WITNESSETH That Grantor, For And In Consideration Of The Sum Of Ten Dollars $10
This legal phrase is commonly used in various contexts, including real estate transactions and contracts. Its use signifies that the grantor is making a legal transfer of property or rights, which can be enforced in a court of law. Understanding the legal implications of this phrase is crucial for ensuring that all parties meet their obligations under the agreement.
How to Use the WITNESSETH That Grantor, For And In Consideration Of The Sum Of Ten Dollars $10
To effectively use this phrase in a legal document, follow these guidelines:
- Incorporate It in the Correct Context: Use it in legal documents where a transfer of rights or property occurs.
- Ensure Clarity: Clearly state the intent and details surrounding the transaction to avoid ambiguity.
- Follow Legal Protocols: Adhere to any state-specific requirements regarding the execution of such documents.
Quick guide on how to complete witnesseth that grantor for and in consideration of the sum of ten dollars 10
Complete [SKS] seamlessly on any device
Online document management has become increasingly popular with businesses and individuals. It offers a perfect eco-friendly substitute for traditional printed and signed documents, as you can locate the necessary form and securely store it online. airSlate SignNow equips you with all the tools required to create, edit, and eSign your documents swiftly without delays. Manage [SKS] on any device using airSlate SignNow's Android or iOS applications and enhance any document-centered workflow today.
How to modify and eSign [SKS] with ease
- Locate [SKS] and click on Get Form to initiate the process.
- Utilize the tools we offer to complete your form.
- Highlight pertinent sections of your documents or obscure sensitive information with tools that airSlate SignNow specifically provides for those tasks.
- Create your eSignature using the Sign tool, which takes only seconds and holds the same legal validity as a traditional handwritten signature.
- Review all the details and click on the Done button to save your changes.
- Select how you wish to send your form, via email, SMS, or invitation link, or download it to your computer.
Eliminate concerns about lost or misplaced files, cumbersome form searches, or mistakes that require printing additional document copies. airSlate SignNow addresses all your document management needs in just a few clicks from any device you prefer. Edit and eSign [SKS] and ensure outstanding communication at any point of the form preparation process with airSlate SignNow.
Create this form in 5 minutes or less
Related searches to WITNESSETH That Grantor, For And In Consideration Of The Sum Of Ten Dollars $10
Create this form in 5 minutes!
People also ask
-
What does 'WITNESSETH That Grantor, For And In Consideration Of The Sum Of Ten Dollars $10' mean in the context of eSigning?
'WITNESSETH That Grantor, For And In Consideration Of The Sum Of Ten Dollars $10' refers to the formal record of agreement within a document. airSlate SignNow ensures that every eSigned document maintains a clear representation of intent and consideration, enhancing the legal enforceability of your agreements.
-
How can airSlate SignNow help businesses reduce costs related to eSigning?
By utilizing airSlate SignNow, businesses can streamline their eSigning process, ultimately resulting in signNow savings. The phrase 'WITNESSETH That Grantor, For And In Consideration Of The Sum Of Ten Dollars $10' embodies a simplified approach to formal agreements that avoids the hefty costs of traditional ink signatures.
-
What features does airSlate SignNow offer for handling legal documents?
AirSlate SignNow offers various features such as customizable templates, automated workflows, and secure cloud storage to manage legal documents. Utilizing the concept of 'WITNESSETH That Grantor, For And In Consideration Of The Sum Of Ten Dollars $10', our platform ensures clear documentation of consent in every transaction.
-
Can I integrate airSlate SignNow with other business tools?
Yes, airSlate SignNow seamlessly integrates with many popular business applications like Salesforce, Google Workspace, and Microsoft Teams. This enhances overall productivity while ensuring that your agreements, including those using 'WITNESSETH That Grantor, For And In Consideration Of The Sum Of Ten Dollars $10', are easily accessible.
-
Is airSlate SignNow suitable for small businesses?
Absolutely! airSlate SignNow is designed to be a cost-effective solution that meets the needs of businesses of all sizes. With our competitive pricing, even small businesses can leverage features like 'WITNESSETH That Grantor, For And In Consideration Of The Sum Of Ten Dollars $10' to secure their documents efficiently.
-
How does airSlate SignNow ensure the security of my eSigned documents?
AirSlate SignNow employs advanced security features like encryption and secure access controls to protect your eSigned documents. With references like 'WITNESSETH That Grantor, For And In Consideration Of The Sum Of Ten Dollars $10', we guarantee the confidentiality and integrity of your important agreements.
-
What are the benefits of using eSigning versus traditional signing methods?
eSigning through airSlate SignNow eliminates the need for printing, signing, and scanning, making the process much faster and environmentally friendly. The specificity of terms like 'WITNESSETH That Grantor, For And In Consideration Of The Sum Of Ten Dollars $10' is preserved within our digital documents, offering clarity and speed.
Get more for WITNESSETH That Grantor, For And In Consideration Of The Sum Of Ten Dollars $10
- Bill of sale without warranty by individual seller connecticut form
- Bill of sale without warranty by corporate seller connecticut form
- Chapter 13 plan form
- Reaffirmation agreement connecticut form
- Verification of creditors matrix connecticut form
- Correction statement and agreement connecticut form
- Connecticut closing 497301187 form
- Flood zone statement and authorization connecticut form
Find out other WITNESSETH That Grantor, For And In Consideration Of The Sum Of Ten Dollars $10
- Electronic signature Charity PDF Louisiana Simple
- How Can I Electronic signature Arkansas Construction Last Will And Testament
- Electronic signature Charity PDF Louisiana Easy
- Electronic signature Arkansas Construction Profit And Loss Statement Mobile
- Electronic signature Charity PDF Louisiana Safe
- Can I Electronic signature Arkansas Construction Last Will And Testament
- Electronic signature Arkansas Construction Profit And Loss Statement Now
- How Do I Electronic signature Arkansas Construction Profit And Loss Statement
- How To Electronic signature Arkansas Construction Profit And Loss Statement
- Help Me With Electronic signature Arkansas Construction Profit And Loss Statement
- Electronic signature Arkansas Construction Profit And Loss Statement Later
- How Can I Electronic signature Arkansas Construction Profit And Loss Statement
- Can I Electronic signature Arkansas Construction Profit And Loss Statement
- Electronic signature Arkansas Construction Business Letter Template Online
- Electronic signature Arkansas Construction Profit And Loss Statement Myself
- Electronic signature Arkansas Construction Business Letter Template Computer
- How To Electronic signature Arkansas Construction Business Letter Template
- How Do I Electronic signature Arkansas Construction Business Letter Template
- Electronic signature Arkansas Construction Profit And Loss Statement Free
- Help Me With Electronic signature Arkansas Construction Business Letter Template