
Lessee Agrees to Pay a Late Form


What is the Lessee Agrees To Pay A Late
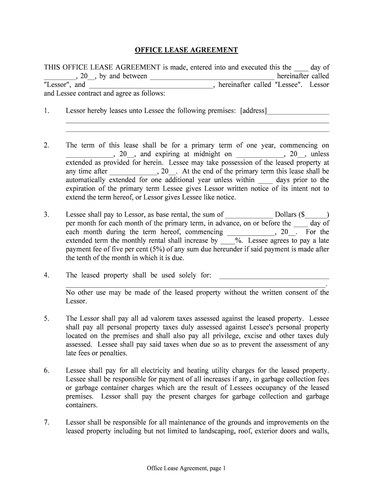
The "Lessee Agrees To Pay A Late" form is a legal document that outlines the terms under which a lessee acknowledges their obligation to pay late fees associated with their lease agreement. This form serves as a formal agreement between the lessor and lessee, specifying the conditions that apply when payments are not made on time. It is essential for ensuring that both parties understand their rights and responsibilities regarding late payments, which can help prevent disputes and misunderstandings.
Key elements of the Lessee Agrees To Pay A Late
Several critical elements are included in the "Lessee Agrees To Pay A Late" form. These elements typically encompass:
- Identification of Parties: Clearly states the names and contact information of both the lessor and lessee.
- Lease Details: References the original lease agreement, including dates and terms.
- Late Fee Structure: Specifies the amount of the late fee, how it is calculated, and when it applies.
- Payment Terms: Outlines the acceptable methods of payment and any grace periods.
- Signatures: Requires signatures from both parties to validate the agreement.
Steps to complete the Lessee Agrees To Pay A Late
Completing the "Lessee Agrees To Pay A Late" form involves several straightforward steps:
- Gather Information: Collect all necessary details, including lease agreement specifics and contact information for both parties.
- Fill Out the Form: Accurately complete the form, ensuring all sections are filled in correctly.
- Review Terms: Carefully review the late fee structure and payment terms to ensure understanding.
- Sign the Document: Both parties should sign the form to acknowledge their agreement to the terms outlined.
- Distribute Copies: Provide copies of the signed form to both parties for their records.
Legal use of the Lessee Agrees To Pay A Late
The "Lessee Agrees To Pay A Late" form is legally binding, provided it meets specific requirements. It must be signed by both parties, and the terms should be clear and unambiguous. Compliance with state laws and regulations is crucial, as they may dictate how late fees are assessed and enforced. This form can be used in legal proceedings if disputes arise, serving as evidence of the lessee's acknowledgment of their obligations.
How to use the Lessee Agrees To Pay A Late
Using the "Lessee Agrees To Pay A Late" form is essential for both lessors and lessees to ensure clarity in their financial obligations. The form should be presented to the lessee when a payment is late, allowing them to formally acknowledge the late fee and the conditions surrounding it. This helps maintain a professional relationship and provides a clear record of the lessee's agreement to the terms. It is advisable to keep a copy of the signed document for future reference.
State-specific rules for the Lessee Agrees To Pay A Late
State laws can significantly affect the terms and enforceability of the "Lessee Agrees To Pay A Late" form. Different states have various regulations regarding late fees, including maximum allowable amounts and required notice periods. It is essential for both lessors and lessees to familiarize themselves with their state's specific laws to ensure compliance and avoid potential legal issues. Consulting with a legal professional can provide clarity on these regulations.
Quick guide on how to complete lessee agrees to pay a late
Easily Prepare [SKS] on Any Device
Digital document management has gained increasing popularity among businesses and individuals. It offers an ideal environmentally friendly substitute for traditional printed and signed documents, as you can locate the appropriate form and securely store it online. airSlate SignNow provides you with all the resources necessary to create, modify, and eSign your documents swiftly without interruptions. Manage [SKS] on any device with airSlate SignNow Android or iOS applications and streamline any document-related procedure today.
The Easiest Way to Modify and eSign [SKS] Effortlessly
- Locate [SKS] and click Get Form to begin.
- Utilize the tools we offer to complete your document.
- Emphasize pertinent sections of your documents or obscure confidential information with tools that airSlate SignNow specifically offers for this purpose.
- Create your eSignature using the Sign tool, which takes only seconds and carries the same legal validity as a conventional wet ink signature.
- Review all the information and then click on the Done button to save your modifications.
- Choose your preferred method for sharing your form, either by email, text message (SMS), invitation link, or downloading it to your computer.
Eliminate concerns about lost or misplaced documents, tedious form searching, or mistakes that require printing new document copies. airSlate SignNow fulfills your document management needs in just a few clicks from any device you choose. Modify and eSign [SKS] and ensure excellent communication at every stage of the form preparation process with airSlate SignNow.
Create this form in 5 minutes or less
Related searches to Lessee Agrees To Pay A Late
Create this form in 5 minutes!
People also ask
-
What does 'Lessee Agrees To Pay A Late' mean in a rental agreement?
The phrase 'Lessee Agrees To Pay A Late' refers to the condition in which a lessee acknowledges their responsibility to pay any late fees that may incur if rent is not paid on time. Understanding this clause is essential for both landlords and tenants to ensure compliance with the rental terms and maintain a good contractual relationship.
-
How does airSlate SignNow streamline the signing process for agreements that include late payment terms?
With airSlate SignNow, users can easily create, send, and eSign agreements that include 'Lessee Agrees To Pay A Late' clauses. This digital solution accelerates the signing process, ensuring that both parties can complete the agreement swiftly and securely without ever needing to print or fax documents.
-
What are the cost implications if a lessee agrees to pay rent late?
If a lessee agrees to pay a late fee, the cost can vary based on the agreement's terms. Typically, the late fee is a percentage of the rent or a fixed dollar amount. Using airSlate SignNow ensures these terms are clearly outlined and acknowledged, helping both parties understand their financial obligations.
-
Can I customize my rental agreements to include a 'Lessee Agrees To Pay A Late' clause using airSlate SignNow?
Yes, airSlate SignNow provides a user-friendly interface that allows you to customize your rental agreements to include specific clauses, such as 'Lessee Agrees To Pay A Late.' This flexibility ensures that your agreements meet your unique business needs while remaining legally binding.
-
What features does airSlate SignNow offer to manage late payment agreements effectively?
AirSlate SignNow offers features like templates, automated reminders, and tracking to help manage agreements that include 'Lessee Agrees To Pay A Late.' These tools allow landlords to stay organized and proactive in their communication regarding payment deadlines and fees, leading to fewer delays.
-
How can I ensure that my lessee understands the late payment terms?
Utilizing airSlate SignNow allows you to include clear language regarding late payment terms, ensuring the lessee fully understands their responsibilities. By reviewing the document together before signing, both parties can clarify any doubts about the 'Lessee Agrees To Pay A Late' clause, fostering transparency.
-
What benefits does eSigning provide for late payment clauses?
eSigning, as facilitated by airSlate SignNow, accelerates the agreement process, making it easier for both parties to agree on terms like 'Lessee Agrees To Pay A Late.' Additionally, eSignatures provide a legally binding method of ensuring that everyone is on the same page, reducing the likelihood of disputes later.
Get more for Lessee Agrees To Pay A Late
- Letter from landlord to tenant for failure to keep premises as clean and safe as condition of premises permits remedy or lease 497310796 form
- Letter from landlord to tenant for failure of to dispose all ashes rubbish garbage or other waste in a clean and safe manner in 497310797 form
- Letter from landlord to tenant for failure to keep all plumbing fixtures in the dwelling unit as clean as their condition 497310798 form
- Letter from landlord to tenant for failure to use electrical plumbing sanitary heating ventilating air conditioning and other 497310799 form
- Letter from landlord to tenant as notice to tenant of tenants disturbance of neighbors peaceful enjoyment to remedy or lease 497310800 form
- Me letter landlord tenant form
- Me landlord lease form
- Letter from tenant to landlord containing notice to landlord to withdraw improper rent increase due to violation of rent 497310803 form
Find out other Lessee Agrees To Pay A Late
- How Can I eSignature Washington Car Dealer Purchase Order Template
- Can I eSignature Washington Car Dealer Purchase Order Template
- eSignature Alabama Construction Lease Agreement Online
- eSignature Alabama Construction Lease Agreement Computer
- How To eSignature Alabama Construction Contract
- How To eSignature Alabama Construction Lease Agreement
- eSignature Alabama Construction Lease Agreement Mobile
- eSignature Alabama Construction Lease Agreement Now
- eSignature Alabama Construction Lease Agreement Later
- How Do I eSignature Alabama Construction Lease Agreement
- eSignature Alabama Construction Lease Agreement Myself
- How Do I eSignature Alabama Construction Contract
- eSignature Alabama Construction Lease Agreement Free
- eSignature Alabama Construction Lease Agreement Secure
- Help Me With eSignature Alabama Construction Lease Agreement
- eSignature Alabama Construction Lease Agreement Fast
- Help Me With eSignature Alabama Construction Contract
- eSignature Alabama Construction Lease Agreement Simple
- How Can I eSignature Alabama Construction Lease Agreement
- eSignature Alabama Construction Lease Agreement Easy