
Fillable Online Prepare, Sign & Submit with the Proper Filing Fee Form


What is the fillable online prepare, sign & submit with the proper filing fee
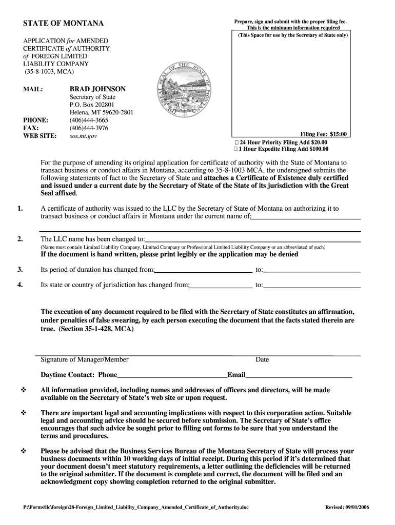
The fillable online prepare, sign & submit with the proper filing fee form is a digital document designed for efficient completion, electronic signing, and submission. This form allows users to fill out necessary information online, ensuring that all required fields are completed accurately. It is particularly useful for applications, tax filings, and legal documents where a filing fee is applicable. By utilizing this form, individuals can streamline their paperwork process, eliminating the need for physical copies and enhancing accessibility.
How to use the fillable online prepare, sign & submit with the proper filing fee
Using the fillable online prepare, sign & submit with the proper filing fee form is straightforward. First, access the form through a secure platform. Fill in the required fields, ensuring all information is accurate. After completing the form, review it for any errors or omissions. Once verified, you can electronically sign the document using a secure eSignature tool. Finally, submit the form along with the appropriate filing fee through the designated online submission method. This process enhances efficiency and ensures compliance with filing requirements.
Steps to complete the fillable online prepare, sign & submit with the proper filing fee
Completing the fillable online prepare, sign & submit with the proper filing fee form involves several key steps:
- Access the form via a secure website.
- Fill in all required fields with accurate information.
- Review the completed form for any errors or missing information.
- Use a secure eSignature tool to sign the document electronically.
- Submit the form along with the proper filing fee through the specified online method.
By following these steps, users can ensure that their forms are completed correctly and submitted on time.
Legal use of the fillable online prepare, sign & submit with the proper filing fee
The fillable online prepare, sign & submit with the proper filing fee form is legally binding when completed according to specific regulations. For an eDocument to hold legal weight, it must comply with the Electronic Signatures in Global and National Commerce (ESIGN) Act, the Uniform Electronic Transactions Act (UETA), and other relevant legal frameworks. These laws establish that electronic signatures and records are valid and enforceable, provided that all parties consent to use electronic means for transactions. Utilizing a trusted platform ensures compliance and security throughout the process.
Key elements of the fillable online prepare, sign & submit with the proper filing fee
Several key elements contribute to the effectiveness of the fillable online prepare, sign & submit with the proper filing fee form:
- Completeness: All required fields must be filled out accurately to avoid delays.
- Signature: An electronic signature is necessary for the form to be considered valid.
- Filing Fee: Users must include the correct filing fee as specified by the governing body.
- Submission Method: The form must be submitted through the designated online platform to ensure proper processing.
Understanding these elements is crucial for successful completion and submission.
State-specific rules for the fillable online prepare, sign & submit with the proper filing fee
Each state may have unique regulations regarding the fillable online prepare, sign & submit with the proper filing fee form. It is essential to be aware of these specific rules, as they can affect the form's requirements, submission methods, and applicable fees. Some states may have additional documentation or compliance standards that must be met. Always consult state-specific guidelines or legal resources to ensure adherence to local laws and regulations when completing and submitting the form.
Examples of using the fillable online prepare, sign & submit with the proper filing fee
The fillable online prepare, sign & submit with the proper filing fee form can be utilized in various scenarios:
- Filing tax returns with the IRS, where a filing fee may be required for certain forms.
- Submitting applications for permits or licenses that necessitate a fee.
- Completing legal documents such as contracts or agreements that require official signatures.
These examples illustrate the versatility and practicality of using this form in different contexts, enhancing efficiency and compliance.
Quick guide on how to complete fillable online prepare sign ampamp submit with the proper filing fee
Complete [SKS] effortlessly on any device
Online document management has gained traction among businesses and individuals alike. It offers an ideal eco-friendly substitute for conventional printed and signed documents, allowing you to access the required form and securely save it online. airSlate SignNow equips you with all the resources necessary to create, modify, and eSign your papers swiftly without any delays. Manage [SKS] on any device using the airSlate SignNow Android or iOS applications and enhance any document-related process today.
The easiest way to modify and eSign [SKS] with ease
- Obtain [SKS] and click on Get Form to begin.
- Utilize the tools we offer to complete your document.
- Emphasize pertinent sections of your documents or obscure sensitive data with features specifically provided by airSlate SignNow for that purpose.
- Create your eSignature using the Sign tool, which only takes seconds and carries the same legal validity as a traditional handwritten signature.
- Review the information and click on the Done button to save your changes.
- Choose how you want to send your form, via email, SMS, or shareable link, or download it to your computer.
Eliminate concerns regarding lost or misfiled documents, tedious form searches, or errors that necessitate printing new copies. airSlate SignNow addresses all your document management needs in just a few clicks from any device of your choice. Modify and eSign [SKS] and ensure excellent communication at every stage of the form preparation process with airSlate SignNow.
Create this form in 5 minutes or less
Related searches to Fillable Online Prepare, Sign & Submit With The Proper Filing Fee
Create this form in 5 minutes!
People also ask
-
What is airSlate SignNow and how does it work?
airSlate SignNow is a digital solution that allows users to fill out, prepare, sign, and submit documents with the proper filing fee online. It's designed for businesses seeking an easy and cost-effective way to handle electronic signatures and document management. By utilizing our platform, customers can streamline their paperwork processes and enhance efficiency.
-
How does airSlate SignNow help with document compliance and filing fees?
With airSlate SignNow, you can easily fill out documents and ensure that you're submitting them with the proper filing fee. Our platform not only guides you through the necessary fields but also helps you stay compliant with your local regulations. This reduces the risk of delays or errors in your documentation.
-
What pricing plans does airSlate SignNow offer?
airSlate SignNow provides several pricing plans tailored to different business needs, ensuring a cost-effective solution to fill out, prepare, sign, and submit documents. Each plan comes with various features, making it accessible for small businesses to larger enterprises. You can review our pricing page for specific details on what's included.
-
What are the main features of airSlate SignNow?
airSlate SignNow offers features that include customizable templates, electronic signatures, and document tracking, all aimed at enhancing your experience to fillable online prepare, sign & submit with the proper filing fee. Users can access their documents from any device, ensuring flexibility and convenience in document management.
-
Can I integrate airSlate SignNow with other applications?
Yes, airSlate SignNow offers seamless integrations with various applications such as Google Drive, Salesforce, and Microsoft Office. This integration capability enables you to fill, prepare, and sign documents while submitting them with the proper filing fee directly from the applications you already use. It enhances productivity by centralizing your workflows.
-
Is airSlate SignNow suitable for small businesses?
Absolutely! airSlate SignNow is designed to meet the needs of businesses of all sizes, including small businesses. Its user-friendly interface allows any team member to easily fill out, prepare, sign, and submit documents with the proper filing fee without requiring technical expertise.
-
What benefits can I expect by using airSlate SignNow?
By using airSlate SignNow, you can expect improved productivity, faster turnaround times on documents, and reduced costs associated with traditional paper-based processes. Our platform is specifically designed to help you efficiently fill out, prepare, sign, and submit documents while ensuring you've accounted for the proper filing fee.
Get more for Fillable Online Prepare, Sign & Submit With The Proper Filing Fee
- Bank of india rtgs form word
- Police application form pdf
- Ngaaf bursary application form
- Driving licence download pdf rajasthan form
- Chase bank policy on power of attorney form
- Aadhar card blank format
- Sbi life insurance premium receipt pdf download form
- Liberty blouse cutting books pdf download form
Find out other Fillable Online Prepare, Sign & Submit With The Proper Filing Fee
- Electronic signature Texas Plumbing Limited Power Of Attorney Myself
- Electronic signature Texas Plumbing Limited Power Of Attorney Free
- How Can I Electronic signature Utah Plumbing Permission Slip
- Electronic signature Texas Plumbing Limited Power Of Attorney Secure
- Electronic signature Utah Plumbing Permission Slip Fast
- Electronic signature Texas Plumbing Limited Power Of Attorney Fast
- Electronic signature Texas Plumbing Limited Power Of Attorney Simple
- Electronic signature Utah Plumbing Permission Slip Simple
- Can I Electronic signature Utah Plumbing Permission Slip
- Electronic signature Texas Plumbing Limited Power Of Attorney Easy
- Electronic signature Utah Plumbing Permission Slip Easy
- Electronic signature Texas Plumbing Limited Power Of Attorney Safe
- Electronic signature Utah Plumbing Permission Slip Safe
- Electronic signature Utah Plumbing Stock Certificate Online
- Electronic signature Utah Plumbing Stock Certificate Computer
- Electronic signature Utah Plumbing Stock Certificate Mobile
- Electronic signature Utah Plumbing Stock Certificate Now
- Electronic signature Utah Plumbing Stock Certificate Later
- How To Electronic signature Texas Plumbing Limited Power Of Attorney
- Electronic signature Utah Plumbing Stock Certificate Myself