
Texas Pardon Application 2012-2025 Form


What is the Texas Full Pardon Application
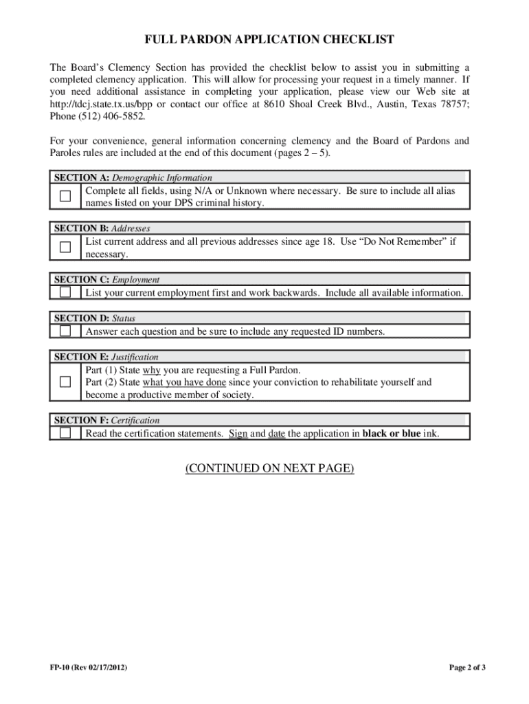
The Texas Full Pardon Application is a formal request submitted to the Texas Board of Pardons and Paroles, seeking to have a conviction pardoned. A pardon can restore rights lost due to a felony conviction, such as the right to vote or possess firearms. This application is crucial for individuals wishing to clear their criminal record and reintegrate into society without the stigma of past offenses. The process involves a thorough review of the applicant's criminal history, behavior since the conviction, and other relevant factors.
How to obtain the Texas Full Pardon Application
The Texas Full Pardon Application can be obtained through the Texas Board of Pardons and Paroles website. It is essential to ensure that you are using the most current version of the application form. The application is typically available as a downloadable PDF, which can be printed and filled out by hand or completed digitally. Applicants should carefully review the instructions provided with the application to ensure all required information is accurately submitted.
Steps to complete the Texas Full Pardon Application
Completing the Texas Full Pardon Application involves several key steps:
- Gather necessary information: Collect personal details, including your full name, date of birth, and social security number, as well as details about your conviction.
- Fill out the application: Carefully complete all sections of the application form, ensuring accuracy and completeness.
- Provide supporting documents: Include any required documents, such as proof of rehabilitation or character references, to strengthen your application.
- Review your application: Double-check all information for errors or omissions before submission.
- Submit the application: Follow the submission guidelines provided by the Texas Board of Pardons and Paroles, whether online, by mail, or in person.
Eligibility Criteria
To be eligible for a Texas Full Pardon, applicants must meet specific criteria. Generally, individuals must have completed their sentence, including any parole or probation requirements. Additionally, there should be a significant period of time since the completion of the sentence, usually at least five years for felony convictions. Applicants must demonstrate good conduct and rehabilitation during this period, showing that they have taken steps to improve their lives and contribute positively to society.
Required Documents
When submitting the Texas Full Pardon Application, it is essential to include various supporting documents. These may include:
- Proof of identity: A copy of a government-issued ID, such as a driver's license or passport.
- Criminal history: Documentation of your criminal record, including the conviction for which you are seeking a pardon.
- Character references: Letters from individuals who can attest to your character and rehabilitation efforts.
- Proof of rehabilitation: Certificates or documentation of any programs completed, such as educational or vocational training.
Form Submission Methods
The Texas Full Pardon Application can be submitted in several ways, depending on the preferences of the applicant. Common submission methods include:
- Online: Some applicants may have the option to submit their application through an online portal provided by the Texas Board of Pardons and Paroles.
- By mail: Applicants can print the completed application and send it to the appropriate address for processing.
- In-person: Submitting the application in person at designated offices may also be an option, allowing for direct communication with officials.
Quick guide on how to complete pardon texas pardons
Complete and submit your pardon texas pardons effortlessly
Strong tools for digital document exchange and approval are crucial for streamlining processes and the ongoing enhancement of your forms. When handling legal documents and signing a texas pardon application, the right signing solution can conserve considerable time and resources with every submission.
Locate, complete, modify, sign, and distribute your legal documents with airSlate SignNow. This service has all you require to create efficient paper submission workflows. Its vast library of legal forms and user-friendly interface can assist you in obtaining your texas full pardon application quickly, while the editor that includes our signing functionality allows you to complete and authorize it right away.
Authenticate your full pardon application in a few easy steps
- Find the pardon application texas form you need in our library using either search or catalog options.
- Examine the form details and view it to ensure it meets your requirements and legal standards.
- Click Obtain form to open it for modification.
- Complete the form using the all-inclusive toolbar.
- Confirm the information you entered and click the Authorize tool to validate your document.
- Select one of three options to attach your signature.
- Conclude editing and save the document to your files, then either download it on your device or share it right away.
Streamline each phase of your document preparation and approval process with airSlate SignNow. Experience a more effective online solution that has considered every aspect of managing your paperwork.
Create this form in 5 minutes or less
FAQs pardon application rights
-
Where do you find forms for a federal inmate to fill out for a presidential pardon?
The forms are available on the DOJ website. Pardon Information and InstructionsBe aware that this is not an easy process and you will have to explain why you believe a person is entitled to receive the pardon.Also be aware that the pardon relates to foreviveness for the crimes comitted. If the person denies that they committed the crime that they have been convicted of, they cannot seek a pardon. By receiving a pardon, it will include an acknowledgment of guilt, but that it has been forgiven.
-
How do I fill out an application form to open a bank account?
I want to believe that most banks nowadays have made the process of opening bank account, which used to be cumbersome, less cumbersome. All you need to do is to approach the bank, collect the form, and fill. However if you have any difficulty in filling it, you can always call on one of the banks rep to help you out.
-
How do I fill out the IIFT 2018 application form?
Hi!IIFT MBA (IB) Application Form 2018 – The last date to submit the Application Form of IIFT 2018 has been extended. As per the initial notice, the last date to submit the application form was September 08, 2017. However, now the candidates may submit it untill September 15, 2017. The exam date for IIFT 2018 has also been shifted to December 03, 2017. The candidates will only be issued the admit card, if they will submit IIFT application form and fee in the prescribed format. Before filling the IIFT application form, the candidates must check the eligibility criteria because ineligible candidates will not be granted admission. The application fee for candidates is Rs. 1550, however, the candidates belonging to SC/STPWD category only need to pay Rs. 775. Check procedure to submit IIFT Application Form 2018, fee details and more information from the article below.Latest – Last date to submit IIFT application form extended until September 15, 2017.IIFT 2018 Application FormThe application form of IIFT MBA 2018 has only be released online, on http://tedu.iift.ac.in. The candidates must submit it before the laps of the deadline, which can be checked from the table below.Application form released onJuly 25, 2017Last date to submit Application form(for national candidates)September 08, 2017 September 15, 2017Last date to submit the application form(by Foreign National and NRI)February 15, 2018IIFT MBA IB entrance exam will be held onNovember 26, 2017 December 03, 2017IIFT 2018 Application FeeThe candidates should take note of the application fee before submitting the application form. The fee amount is as given below and along with it, the medium to submit the fee are also mentioned.Fee amount for IIFT 2018 Application Form is as given below:General/OBC candidatesRs 1550SC/ST/PH candidatesRs 775Foreign National/NRI/Children of NRI candidatesUS$ 80 (INR Rs. 4500)The medium to submit the application fee of IIFT 2018 is as below:Credit CardsDebit Cards (VISA/Master)Demand Draft (DD)Candidates who will submit the application fee via Demand Draft will be required to submit a DD, in favour of Indian Institute of Foreign Trade, payable at New Delhi.Procedure to Submit IIFT MBA Application Form 2018Thank you & Have a nice day! :)
-
How do I fill the JEE (Main) application form?
This is a step by step guide to help you fill your JEE (Main) application form online brought to you by Toppr. We intend to help you save time and avoid mistakes so that you can sail through this whole process rather smoothly. In case you have any doubts, please talk to our counselors by first registering at Toppr. JEE Main Application Form is completely online and there is no offline component or downloadable application form. Here are some steps you need to follow:Step 1: Fill the Application FormEnter all the details while filling the Online Application Form and choose a strong password and security question with a relevant answer.After entering the data, an application number will be generated and it will be used to complete the remaining steps. Make sure your note down this number.Once you register, you can use this number and password for further logins. Do not share the login credentials with anyone but make sure you remember them.Step 2: Upload Scanned ImagesThe scanned images of photographs, thumb impression and signature should be in JPG/JPEG format only.While uploading the photograph, signature and thumb impression, please see its preview to check if they have been uploaded correctly.You will be able to modify/correct the particulars before the payment of fees.Step 3: Make The PaymentPayment of the Application Fees for JEE (Main) is through Debit card or Credit Card or E Challan.E-challan has to be downloaded while applying and the payment has to be made in cash at Canara Bank or Syndicate Bank or ICICI bank.After successful payment, you will be able to print the acknowledgment page. In case acknowledgment page is not generated after payment, then the transaction is cancelled and amount will be refunded.Step 4: Selection of Date/SlotIf you have opted for Computer Based Examination of Paper – 1, you should select the date/slot after payment of Examination Fee.If you do not select the date/slot, you will be allotted the date/slot on random basis depending upon availability.In case you feel you are ready to get started with filling the application form, pleaseclick here. Also, if you are in the final stages of your exam preparation process, you can brush up your concepts and solve difficult problems on Toppr.com to improve your accuracy and save time.
-
How do I fill out the CAT 2018 application form?
The procedure for filling up the CAT Application form is very simple. I’ll try to explain it to you in simple words.I have provided a link below for CAT registration.See, first you have to register, then fill in details in the application form, upload images, pay the registration fee and finally submit the form.Now, to register online, you have to enter details such as your name, date of birth, email id, mobile number and choose your country. You must and must enter your own personal email id and mobile number, as you will receive latest updates on CAT exam through email and SMS only.Submit the registration details, after which an OTP will be sent to the registered email id and mobile number.Once the registration part is over, you will get the Login credentials.Next, you need to fill in your personal details, academic details, work experience details, etc.Upload scanned images of your photograph, and signature as per the specifications.Pay the registration fee, which is Rs. 950 for SC/ST/PWD category candidates and Rs. 1900 for all other categories by online mode (Credit Card/ Debit Card/ Net Banking).Final step - Submit the form and do not forget to take the print out of the application form. if not print out then atleast save it somewhere.CAT 2018 Registration (Started): Date, Fees, CAT 2018 Online Application iimcat.ac.in
-
What is the procedure for filling out the CPT registration form online?
CHECK-LIST FOR FILLING-UP CPT JUNE - 2017 EXAMINATION APPLICATION FORM1 - BEFORE FILLING UP THE FORM, PLEASE DETERMINE YOUR ELIGIBILITY AS PER DETAILS GIVEN AT PARA 1.3 (IGNORE FILLING UP THE FORM IN CASE YOU DO NOT COMPLY WITH THE ELIGIBILITY REQUIREMENTS).2 - ENSURE THAT ALL COLUMNS OF THE FORM ARE FILLED UP/SELECTED CORRECTLY AND ARE CORRECTLY APPEARING IN THE PDF.3 - CENTRE IS SELECTED CORRECTLY AND IS CORRECTLY APPEARING IN THE PDF. (FOR REFERENCE SEE APPENDIX-A).4 - MEDIUM OF THE EXAMINATION IS SELECTED CORRECTLY AND IS CORRECTLY APPEARING IN THE PDF.5 - THE SCANNED COPY OF THE DECLARATION UPLOADED PERTAINS TO THE CURRENT EXAM CYCLE.6 - ENSURE THAT PHOTOGRAPHS AND SIGNATURES HAVE BEEN AFFIXED (If the same are not appearing in the pdf) AT APPROPRIATE COLUMNS OF THE PRINTOUT OF THE EXAM FORM.7 - ADDRESS HAS BEEN RECORDED CORRECTLY AND IS CORRECTLY APPEARING IN THE PDF.8 - IN CASE THE PDF IS NOT CONTAINING THE PHOTO/SIGNATURE THEN CANDIDATE HAS TO GET THE DECLARATION SIGNED AND PDF IS GOT ATTESTED.9 - RETAIN A COPY OF THE PDF/FILLED-IN FORM FOR YOUR FUTURE REFERENCE.10 - IN CASE THE PHOTO/SIGN IS NOT APPEARING IN THE PDF, PLEASE TAKE ATTESTATIONS AND SEND THE PDF (PRINT OUT) OF THE ONLINE SUMBITTED EXAMINATION APPLICATION BY SPEED POST/REGISTERED POST ONLY.11 - KEEP IN SAFE CUSTODY THE SPEED POST/REGISTERED POST RECEIPT ISSUED BY POSTAL AUTHORITY FOR SENDING THE PDF (PRINT OUT) OF THE ONLINE SUMBITTED EXAMINATION APPLICATION FORM TO THE INSTITUTE/ RECEIPT ISSUED BY ICAI IN CASE THE APPLICATION IS DEPOSITED BY HAND.Regards,Scholar For CA089773 13131Like us on facebookScholar for ca,cma,cs https://m.facebook.com/scholarca...Sambamurthy Nagar, 5th Street, Kakinada, Andhra Pradesh 533003https://g.co/kgs/VaK6g0
-
How do I fill out the Assam CEE application form?
The application form for Assam CEE 2018 has been released on 1st March 2018.The last date for submission of the same is 20th March 2018.Filling up the Application FormAll information submitted must be valid and as per the documents possessed by the candidates.Uploading of Scanned DocumentsThe documents have to be uploaded according to the specifications mentioned by the DTE.Submission of Filled Application FormThe e-challan will be generated after the application form is successfully submitted.Payment of Application FeesThe candidates will be able to pay the required application fees of Rs. 600 through online (net banking/credit card/debit card) or offline mode (e-challan).For more information, visit this site: Assam CEE 2018 Application Form Released - Apply Now!
Related searches to offense pardon application
Create this form in 5 minutes!
How to create an eSignature for the fp 10 pardon application
How to generate an electronic signature for your Pardon Application Form in the online mode
How to create an eSignature for your Pardon Application Form in Google Chrome
How to make an electronic signature for signing the Pardon Application Form in Gmail
How to make an electronic signature for the Pardon Application Form right from your smart phone
How to make an eSignature for the Pardon Application Form on iOS
How to make an electronic signature for the Pardon Application Form on Android
People also ask fp pardon application
-
What is a Texas pardon application?
A Texas pardon application is a formal request submitted to the Texas Board of Pardons and Paroles to seek clemency for a criminal conviction. This process can help individuals restore their rights and clear their criminal record. Understanding the requirements and steps involved in a Texas pardon application is crucial for a successful outcome.
-
How much does it cost to file a Texas pardon application?
The cost associated with filing a Texas pardon application can vary, including the fees for legal services, if you choose to hire an attorney. While the application itself may not have a signNow fee, additional expenses such as document preparation and submission should be considered. It's important to budget accordingly to ensure a smooth process for your Texas pardon application.
-
What are the benefits of using airSlate SignNow for my Texas pardon application?
Using airSlate SignNow for your Texas pardon application offers a streamlined and efficient way to manage your documentation. With easy-to-use eSignature capabilities, you can quickly sign and send your application securely. This not only saves time but also ensures that your paperwork is organized and compliant with necessary requirements.
-
Can I integrate airSlate SignNow with other tools for my Texas pardon application?
Yes, airSlate SignNow provides integration options with various tools and platforms to enhance your Texas pardon application process. You can connect it with cloud storage services and other applications for better document management. This seamless integration allows for a more efficient workflow, making the application process easier.
-
What documents do I need for my Texas pardon application?
To complete your Texas pardon application, you'll typically need your criminal history record, a completed application form, and several supporting documents that detail your rehabilitation efforts. These may include letters of recommendation and proof of community service. Having all necessary documents ready will facilitate a smoother submission process.
-
How long does it take to process a Texas pardon application?
The processing time for a Texas pardon application can vary signNowly based on several factors, including the specifics of the case and the volume of applications being handled. On average, the process can take several months to over a year. Staying informed throughout this period can help manage expectations as you await a decision on your Texas pardon application.
-
Does a Texas pardon application guarantee a pardon?
Submitting a Texas pardon application does not guarantee that a pardon will be granted. The decision ultimately rests with the Texas Board of Pardons and Paroles, which evaluates each application on its individual merits. It’s important to provide comprehensive and compelling evidence in support of your case to increase your chances of success.
Get more for pardon application download
- Form civ 561 instructions to process server for serving
- Civ 561 service instructions for writ of execution for garnishment of wages 8 10 civil forms 490101789
- Proof of service request for service district form
- Civ 550 judgment creditor booklet state of alaska form
- Affidavit full return of service for writ of form
- Affidavit return of service for writ of execution single form
- Civ 571 response to request to return pfd state of alaska form
- Fillable online civ 575 writ of assistance civil forms fax
Find out other pardon criminal texas
- Electronic signature Virginia High Tech NDA Later
- Electronic signature Virginia High Tech RFP Now
- Electronic signature Virginia High Tech RFP Later
- Electronic signature Virginia High Tech NDA Myself
- Electronic signature Virginia High Tech RFP Myself
- Electronic signature Virginia High Tech RFP Free
- Electronic signature Virginia High Tech RFP Secure
- Electronic signature Virginia High Tech NDA Free
- Electronic signature Virginia High Tech RFP Fast
- Electronic signature Virginia High Tech RFP Simple
- Electronic signature Virginia High Tech NDA Secure
- Electronic signature Virginia High Tech RFP Easy
- Electronic signature Virginia High Tech RFP Safe
- Electronic signature Lawers PDF Wyoming Online
- Electronic signature Virginia High Tech NDA Fast
- How To Electronic signature Virginia High Tech NDA
- Electronic signature Virginia High Tech NDA Simple
- How Do I Electronic signature Virginia High Tech NDA
- Electronic signature Lawers PDF Wyoming Computer
- Electronic signature Virginia High Tech NDA Easy