
Under the Laws of the State of , Hereinafter Grantee, the Following Lands and Property, Form


What is the Under The Laws Of The State Of , Hereinafter Grantee, The Following Lands And Property
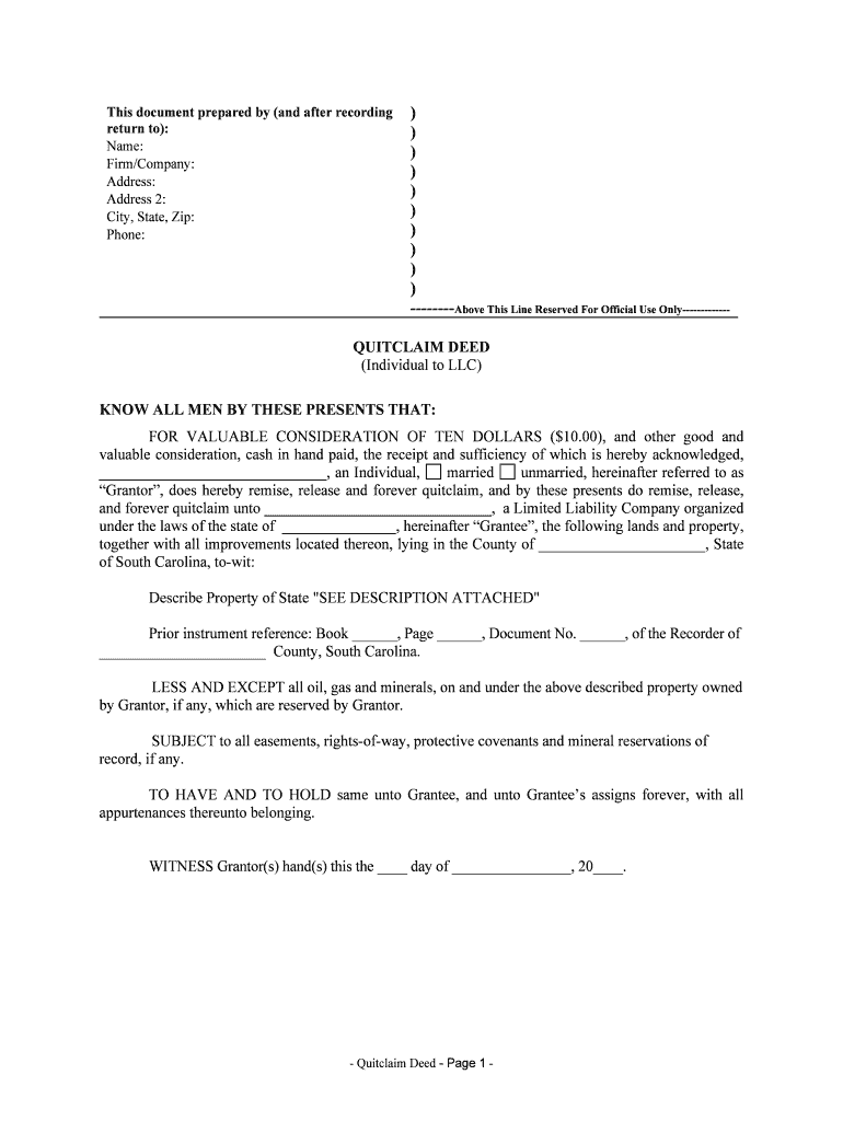
The form titled "Under The Laws Of The State Of , Hereinafter Grantee, The Following Lands And Property" is a legal document used to convey ownership rights of specified lands and properties. It serves as an official record that outlines the transfer of property from one party to another, ensuring that the transaction is recognized under state law. This form is essential for real estate transactions, as it provides clarity on the rights and responsibilities of the grantee (the party receiving the property) and the grantor (the party transferring the property).
How to Use the Under The Laws Of The State Of , Hereinafter Grantee, The Following Lands And Property
To effectively use this form, individuals should first ensure they have accurate information regarding the property being transferred. This includes the legal description of the property, the names of both the grantor and grantee, and any specific terms related to the transfer. Once the form is filled out, it should be signed by both parties in the presence of a notary public to ensure its legality. After notarization, the document must be filed with the appropriate state or local government office to complete the transfer.
Steps to Complete the Under The Laws Of The State Of , Hereinafter Grantee, The Following Lands And Property
Completing this form involves several key steps:
- Gather all necessary information, including property details and the names of the parties involved.
- Fill out the form accurately, ensuring that all legal descriptions and terms are clear.
- Have both parties sign the document in the presence of a notary public.
- Submit the completed form to the appropriate government office for recording.
Legal Use of the Under The Laws Of The State Of , Hereinafter Grantee, The Following Lands And Property
This form is legally binding when executed according to state laws. It must be completed with accurate information and signed by both parties. The notarization adds an additional layer of legitimacy, ensuring that the identities of the signers are verified. Adhering to these legal requirements is crucial for the form to be enforceable in a court of law, should any disputes arise regarding the property transfer.
Key Elements of the Under The Laws Of The State Of , Hereinafter Grantee, The Following Lands And Property
Key elements of this form include:
- The legal description of the property being transferred.
- The names and addresses of the grantor and grantee.
- The date of the transfer.
- Any specific conditions or terms related to the transfer.
Ensuring that these elements are clearly stated helps prevent misunderstandings and legal issues in the future.
State-Specific Rules for the Under The Laws Of The State Of , Hereinafter Grantee, The Following Lands And Property
Each state in the U.S. has its own regulations governing property transfers. It is important to be aware of these state-specific rules, as they can affect the validity and requirements of the form. Some states may require additional documentation or specific wording to be included in the form. Consulting with a legal professional or local government office can provide clarity on these requirements and ensure compliance with state laws.
Quick guide on how to complete under the laws of the state of hereinafter grantee the following lands and property
Effortlessly Prepare [SKS] on Any Device
Digital document management has become increasingly favored by businesses and individuals alike. It serves as an ideal eco-friendly alternative to conventional printed and signed documents, allowing you to locate the necessary form and securely store it online. airSlate SignNow equips you with all the tools required to create, modify, and electronically sign your documents quickly and without interruptions. Manage [SKS] on any platform using the airSlate SignNow Android or iOS applications and enhance any document-related task today.
The Simplest Way to Alter and Electronically Sign [SKS] with Ease
- Obtain [SKS] and click Get Form to begin.
- Utilize the tools we offer to complete your form.
- Emphasize important sections of the documents or redact sensitive information using the tools that airSlate SignNow specifically provides for that purpose.
- Create your electronic signature using the Sign tool, which takes only seconds and carries the same legal validity as a conventional handwritten signature.
- Review all the details and then click the Done button to save your modifications.
- Choose your preferred method to send your form, whether by email, text message (SMS), invitation link, or download it to your computer.
No more concerns about lost or misplaced documents, tedious form searching, or errors that necessitate printing new copies. airSlate SignNow meets your document management needs in just a few clicks from any device you choose. Modify and eSign [SKS] and ensure excellent communication throughout your form preparation process with airSlate SignNow.
Create this form in 5 minutes or less
Related searches to Under The Laws Of The State Of , Hereinafter Grantee, The Following Lands And Property,
Create this form in 5 minutes!
People also ask
-
What features does airSlate SignNow offer for document signing?
Under The Laws Of The State Of , Hereinafter Grantee, The Following Lands And Property, airSlate SignNow provides robust features including customizable templates, real-time collaboration, and secure electronic signatures. These tools streamline the signing process for businesses of all sizes, ensuring compliance and efficiency.
-
How much does airSlate SignNow cost?
Under The Laws Of The State Of , Hereinafter Grantee, The Following Lands And Property, airSlate SignNow offers competitive pricing plans to cater to various business needs. Plans are scalable, ensuring that whether you are a small business or a large enterprise, you can find a solution that fits your budget and requirements.
-
Can airSlate SignNow integrate with other applications?
Yes, Under The Laws Of The State Of , Hereinafter Grantee, The Following Lands And Property, airSlate SignNow offers seamless integrations with a variety of third-party applications, including CRM and document management systems. This enables users to enhance their workflows and improve efficiency by connecting their essential tools.
-
Is airSlate SignNow secure for sensitive documents?
Absolutely! Under The Laws Of The State Of , Hereinafter Grantee, The Following Lands And Property, airSlate SignNow prioritizes security through encryption and compliance with various security standards. Businesses can confidently eSign and send sensitive documents knowing their information is protected.
-
How does airSlate SignNow improve document turnaround times?
Under The Laws Of The State Of , Hereinafter Grantee, The Following Lands And Property, airSlate SignNow accelerates document turnaround times by automating the signing process. Users can easily send reminders and notifications, ensuring that all parties are engaged and signatures are collected promptly.
-
Can I use airSlate SignNow on mobile devices?
Yes, Under The Laws Of The State Of , Hereinafter Grantee, The Following Lands And Property, airSlate SignNow offers a mobile-friendly platform. Users can easily access documents and sign them on-the-go, making it convenient for busy professionals looking to manage their tasks efficiently.
-
What types of documents can I sign with airSlate SignNow?
Under The Laws Of The State Of , Hereinafter Grantee, The Following Lands And Property, airSlate SignNow allows users to sign a variety of documents including contracts, agreements, and forms. This versatility makes it a valuable tool for any business needing effective document management.
Get more for Under The Laws Of The State Of , Hereinafter Grantee, The Following Lands And Property,
- Ks irp application schedule c form
- Werewolf the forsaken character sheet form
- Sst meeting template 50269969 form
- Softball tryout flyer template form
- Indemnity bond form pdf
- Patient consent form clarivein pdffiller
- 93 579 chris coons form
- St jude trike a thon sponsor form st jude trike a thon sponsor form
Find out other Under The Laws Of The State Of , Hereinafter Grantee, The Following Lands And Property,
- How To Sign New Mexico Lawers Document
- Can I Sign New Mexico Lawers Document
- How Do I Sign New Mexico Lawers Document
- How To Sign New Mexico Lawers Document
- How To Sign New Mexico Lawers Document
- How Do I Sign New Mexico Lawers Document
- Help Me With Sign New Mexico Lawers Document
- How Do I Sign New Mexico Lawers Document
- Help Me With Sign New Mexico Lawers Document
- How Can I Sign New Mexico Lawers Document
- Can I Sign New Mexico Lawers Document
- Help Me With Sign New Mexico Lawers Document
- How Can I Sign New Mexico Lawers Document
- How To Sign New Mexico Lawers Document
- How Do I Sign New Mexico Lawers Document
- How Can I Sign New Mexico Lawers Document
- Help Me With Sign New Mexico Lawers Document
- Can I Sign New Mexico Lawers Document
- Can I Sign New Mexico Lawers Document
- How Can I Sign New Mexico Lawers Document