
Lien Statement Corporation Form


What is the Lien Statement Corporation
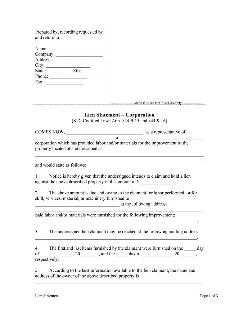
The Lien Statement Corporation is a legal document used to assert a claim against a corporation's assets, typically for unpaid debts or obligations. This form serves as a formal notice to the public and relevant parties that a lien exists, which can impact the corporation's ability to secure financing or sell assets. Understanding the purpose and function of this document is crucial for businesses and creditors alike, as it establishes a legal right to the property in question.
How to use the Lien Statement Corporation
Using the Lien Statement Corporation involves several steps to ensure it is filled out correctly and submitted properly. First, gather all necessary information, including the debtor's details, the amount owed, and a description of the property affected by the lien. Next, complete the form accurately, ensuring that all required fields are filled. After completing the form, it must be signed and dated by the appropriate parties. Finally, submit the form to the relevant state or local authority, following their specific submission guidelines.
Steps to complete the Lien Statement Corporation
Completing the Lien Statement Corporation requires careful attention to detail. Here are the essential steps:
- Gather necessary information, including debtor and creditor details.
- Fill out the form, ensuring accuracy in all provided information.
- Include a clear description of the property subject to the lien.
- Sign the document where required, ensuring that all signatories are present.
- Review the completed form for any errors or omissions.
- Submit the form to the appropriate authority, whether online or by mail.
Legal use of the Lien Statement Corporation
The legal use of the Lien Statement Corporation is governed by state laws, which dictate how and when a lien can be filed. This document must be executed in compliance with these laws to be enforceable. It is essential for creditors to understand the legal implications of filing a lien, including the rights it grants and the responsibilities it entails. Failure to adhere to legal requirements may result in the lien being deemed invalid.
Key elements of the Lien Statement Corporation
Several key elements must be included in the Lien Statement Corporation to ensure its validity:
- The full name and address of the creditor.
- The full name and address of the debtor.
- A detailed description of the property subject to the lien.
- The amount owed by the debtor.
- The date of the lien filing.
State-specific rules for the Lien Statement Corporation
Each state has its own regulations regarding the Lien Statement Corporation, including specific filing procedures, deadlines, and fees. It is important for businesses and creditors to familiarize themselves with their state's requirements to ensure compliance. Some states may require additional documentation or have unique stipulations regarding the enforcement of liens.
Quick guide on how to complete lien statement corporation
Effortlessly Prepare [SKS] on Any Device
Managing documents online has become increasingly popular among companies and individuals alike. It offers an ideal environmentally friendly substitute for traditional printed and signed paperwork, allowing you to find the correct form and securely store it in the cloud. airSlate SignNow equips you with all the tools necessary to create, modify, and electronically sign your documents swiftly and without delays. Manage [SKS] on any platform using airSlate SignNow's Android or iOS applications and enhance any document-related process today.
How to Modify and Electronically Sign [SKS] with Ease
- Locate [SKS] and click Get Form to initiate the process.
- Utilize the tools available to complete your document.
- Emphasize key sections of your documents or redact sensitive information using tools that airSlate SignNow specially provides for this purpose.
- Create your signature using the Sign tool, which takes mere seconds and holds the same legal validity as a conventional wet ink signature.
- Review all details and click on the Done button to save your changes.
- Choose your preferred method to deliver your form, whether by email, SMS, invitation link, or download it to your computer.
Eliminate the hassle of lost or misplaced documents, tedious form searches, or errors that require printing new copies. airSlate SignNow meets your document management needs in just a few clicks from your preferred device. Edit and electronically sign [SKS] to ensure effective communication at any stage of your form preparation process with airSlate SignNow.
Create this form in 5 minutes or less
Related searches to Lien Statement Corporation
Create this form in 5 minutes!
People also ask
-
What is a Lien Statement Corporation?
A Lien Statement Corporation is a legal document that establishes a lien on a property, indicating that a corporation has a right to maintain a claim against the property until a debt is satisfied. Using airSlate SignNow ensures that your Lien Statement Corporation is accurately drafted and signed promptly, thereby protecting your interests effectively.
-
How can airSlate SignNow help with Lien Statement Corporation?
airSlate SignNow streamlines the process of creating, sending, and signing a Lien Statement Corporation through its user-friendly platform. This electronic signature solution allows for quick turnaround times and ensures that all parties involved can easily access and sign the document from any device.
-
What are the pricing options for airSlate SignNow?
airSlate SignNow offers various pricing plans tailored to suit different business needs, ensuring you get the best value for your Lien Statement Corporation processing. Whether you're a small business or a large enterprise, you can find a plan that fits your budget while providing essential features for document management.
-
Are electronic signatures legally binding for Lien Statement Corporations?
Yes, electronic signatures provided by airSlate SignNow are legally binding for Lien Statement Corporations in accordance with the Electronic Signatures in Global and National Commerce (ESIGN) Act. This means you can confidently manage your property liens online without the need for physical paperwork.
-
What features does airSlate SignNow offer for managing Lien Statement Corporations?
airSlate SignNow includes features such as document templates, customizable workflows, and secure storage options, all designed to facilitate the management of Lien Statement Corporations. These features help businesses save time and increase efficiency when handling their document signing processes.
-
Can I integrate airSlate SignNow with other business tools?
Absolutely! airSlate SignNow seamlessly integrates with a variety of business applications, making it easier to manage your Lien Statement Corporation alongside other tools you already use. Integration options include popular platforms like Salesforce, Google Drive, and others, enhancing your workflow and ensuring a smooth document management experience.
-
How does airSlate SignNow ensure the security of my Lien Statement Corporation?
Security is a top priority at airSlate SignNow. With advanced encryption protocols, secure data storage, and comprehensive audit trails, you can trust that your Lien Statement Corporation—and all associated documents—are protected against unauthorized access and tampering.
Get more for Lien Statement Corporation
Find out other Lien Statement Corporation
- eSignature Massachusetts Healthcare / Medical Operating Agreement Computer
- How Can I eSignature Massachusetts Healthcare / Medical Operating Agreement
- Can I eSignature Massachusetts Healthcare / Medical Operating Agreement
- eSignature Michigan Healthcare / Medical Executive Summary Template Online
- eSignature Massachusetts Healthcare / Medical Operating Agreement Mobile
- eSignature Massachusetts Healthcare / Medical Operating Agreement Now
- How To eSignature Michigan Healthcare / Medical Executive Summary Template
- eSignature Michigan Healthcare / Medical Executive Summary Template Computer
- How Do I eSignature Michigan Healthcare / Medical Executive Summary Template
- Help Me With eSignature Michigan Healthcare / Medical Executive Summary Template
- eSignature Massachusetts Healthcare / Medical Operating Agreement Later
- How Can I eSignature Michigan Healthcare / Medical Executive Summary Template
- eSignature Michigan Healthcare / Medical Executive Summary Template Mobile
- Can I eSignature Michigan Healthcare / Medical Executive Summary Template
- eSignature Massachusetts Healthcare / Medical Operating Agreement Myself
- eSignature Massachusetts Healthcare / Medical Operating Agreement Free
- eSignature Michigan Healthcare / Medical Executive Summary Template Now
- eSignature Michigan Healthcare / Medical Purchase Order Template Online
- eSignature Michigan Healthcare / Medical Purchase Order Template Computer
- eSignature Michigan Healthcare / Medical Purchase Order Template Mobile