
Graphic Design Services Agreement Form


What is the Graphic Design Services Agreement
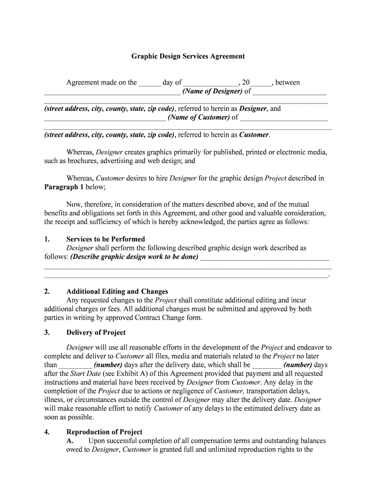
The Graphic Design Services Agreement is a legally binding document that outlines the terms and conditions between a graphic designer and their client. This agreement specifies the scope of work, payment terms, deadlines, and intellectual property rights. It serves to protect both parties by clearly defining expectations and responsibilities, ensuring that the project runs smoothly and disputes are minimized.
Key elements of the Graphic Design Services Agreement
Several key elements are essential in a Graphic Design Services Agreement to ensure clarity and legal protection. These elements typically include:
- Scope of Work: A detailed description of the services to be provided, including specific deliverables.
- Payment Terms: Information on the total cost, payment schedule, and any additional fees for revisions or extra services.
- Timeline: Deadlines for project milestones and final delivery dates.
- Intellectual Property Rights: Clarification on who retains ownership of the designs and any usage rights granted to the client.
- Confidentiality Clause: Provisions to protect sensitive information shared during the project.
- Termination Conditions: Terms under which either party may terminate the agreement.
How to use the Graphic Design Services Agreement
Using the Graphic Design Services Agreement involves several steps to ensure it is effectively implemented. First, both parties should review the document carefully to understand the terms. Next, any necessary modifications can be discussed and agreed upon. Once finalized, both parties should sign the agreement, preferably using a secure eSignature solution to ensure legal validity. It is advisable to keep a copy of the signed agreement for future reference.
Steps to complete the Graphic Design Services Agreement
Completing the Graphic Design Services Agreement involves a systematic approach:
- Identify the parties involved, including the designer and client.
- Clearly outline the scope of work, detailing all services to be rendered.
- Specify payment terms, including amounts and due dates.
- Set a timeline for project milestones and final delivery.
- Include provisions for intellectual property rights and confidentiality.
- Review the agreement for clarity and completeness before signing.
Legal use of the Graphic Design Services Agreement
The legal use of the Graphic Design Services Agreement hinges on its compliance with relevant laws and regulations. In the United States, eSignatures are recognized as legally binding under the ESIGN Act and UETA. To ensure the agreement is enforceable, it should be signed by both parties, and it is beneficial to utilize a reputable eSignature platform that provides a digital certificate for added security and verification.
Quick guide on how to complete graphic design services agreement
Manage [SKS] effortlessly on any device
Digital document management has gained traction among organizations and individuals. It serves as an ideal environmentally friendly alternative to traditional printed and signed papers, allowing you to locate the necessary form and securely store it online. airSlate SignNow equips you with all the resources required to create, adjust, and eSign your documents swiftly without postponements. Handle [SKS] on any device using airSlate SignNow's Android or iOS applications and enhance any document-oriented process today.
How to alter and eSign [SKS] effortlessly
- Obtain [SKS] and then click Get Form to begin.
- Make use of the tools we provide to fill out your document.
- Emphasize pertinent sections of the documents or obscure sensitive information using tools that airSlate SignNow provides specifically for that purpose.
- Generate your eSignature with the Sign tool, which takes mere seconds and carries the same legal validity as a conventional wet ink signature.
- Review all the information and then click on the Done button to save your modifications.
- Select how you wish to send your form, via email, text message (SMS), or invitation link, or download it to your computer.
Forget about lost or misplaced documents, tedious form searching, or mistakes that require printing new document copies. airSlate SignNow meets your document management needs in just a few clicks from any device of your choice. Modify and eSign [SKS] and guarantee excellent communication at any stage of your form preparation process with airSlate SignNow.
Create this form in 5 minutes or less
Related searches to Graphic Design Services Agreement
Create this form in 5 minutes!
People also ask
-
What is a Graphic Design Services Agreement?
A Graphic Design Services Agreement is a legal contract that outlines the terms between a client and a graphic designer regarding services provided. This agreement typically covers project scope, fees, timelines, and ownership of the final design. It's essential for protecting both parties' interests and ensuring clarity in expectations.
-
How much does a Graphic Design Services Agreement cost?
The cost of a Graphic Design Services Agreement can vary based on the complexity of the project and the designer's fees. However, using airSlate SignNow allows you to create and manage these agreements easily, often reducing costs associated with traditional contract management. It’s a cost-effective solution for securing your graphic design projects.
-
What features should I look for in a Graphic Design Services Agreement?
Key features of a Graphic Design Services Agreement should include detailed descriptions of services, payment terms, deadlines, and revisions policy. Additionally, ensure that it specifies intellectual property rights and confidentiality clauses. With airSlate SignNow, you can customize these features to fit your specific needs.
-
How can a Graphic Design Services Agreement benefit my business?
A properly structured Graphic Design Services Agreement helps in outlining clear expectations between you and the designer, which can lead to better project outcomes. It minimizes disputes by providing a legal framework for resolution and fosters a professional relationship. Ultimately, this agreement is crucial for streamlining the design process and protecting your investment.
-
Can I modify a Graphic Design Services Agreement after signing?
Yes, you can modify a Graphic Design Services Agreement after it has been signed, but mutual consent from both parties is necessary for any amendments. Using airSlate SignNow, you can easily track changes and manage document versions, making it seamless to adjust terms as required. This flexibility ensures that both you and the designer can adapt to any project changes.
-
How does airSlate SignNow help in managing a Graphic Design Services Agreement?
airSlate SignNow provides an intuitive platform for creating, sending, and signing Graphic Design Services Agreements online. With features such as templates, eSignature capabilities, and real-time tracking, it simplifies the contract management process. This helps you stay organized and ensure that all agreements are completed efficiently.
-
What integrations does airSlate SignNow offer for Graphic Design Services Agreements?
airSlate SignNow integrates seamlessly with various platforms such as Google Drive, Dropbox, and CRM tools, enhancing your workflow for managing Graphic Design Services Agreements. These integrations facilitate easy access to documents and streamline the signing process. This means you can manage agreements alongside your existing tools without disruption.
Get more for Graphic Design Services Agreement
Find out other Graphic Design Services Agreement
- How To eSign Oklahoma Insurance PPT
- How To eSign Oklahoma Insurance PPT
- How Do I eSign Oklahoma Insurance PPT
- Help Me With eSign Oklahoma Insurance PPT
- How Can I eSign Oklahoma Insurance PPT
- How Do I eSign Oklahoma Insurance PPT
- Can I eSign Oklahoma Insurance PPT
- How To eSign Oklahoma Insurance PPT
- How Do I eSign Oklahoma Insurance PPT
- Help Me With eSign Oklahoma Insurance PPT
- How To eSign Oklahoma Insurance Form
- How Do I eSign Oklahoma Insurance Form
- Help Me With eSign Oklahoma Insurance Form
- Help Me With eSign Oklahoma Insurance PPT
- How Can I eSign Oklahoma Insurance PPT
- How Can I eSign Oklahoma Insurance Form
- How Can I eSign Oklahoma Insurance PPT
- Can I eSign Oklahoma Insurance Form
- Can I eSign Oklahoma Insurance PPT
- Can I eSign Oklahoma Insurance PPT