 
                Business Sale Agreement TemplateSole Proprietorship Form
 
                             
                            What is the Business Sale Agreement Template Sole Proprietorship
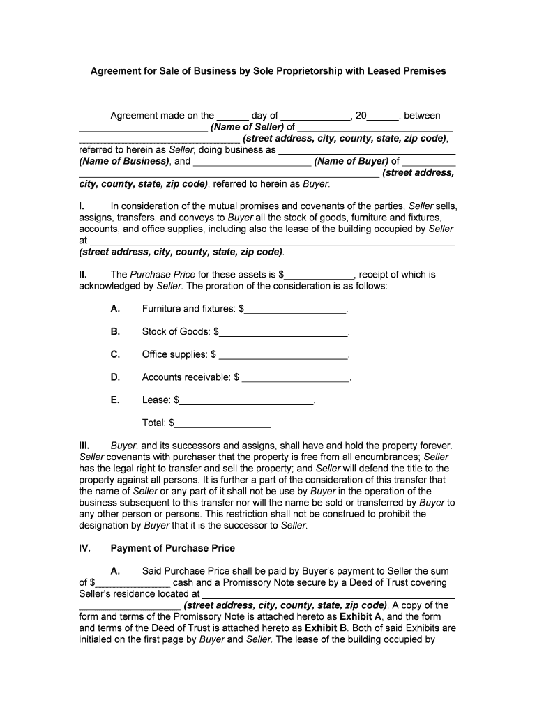
The Business Sale Agreement Template Sole Proprietorship is a legal document that outlines the terms and conditions under which a sole proprietorship is sold. This template serves as a framework for both the seller and the buyer, detailing important aspects such as the purchase price, payment terms, and the responsibilities of each party. It is essential for ensuring that both parties have a clear understanding of the transaction, thereby minimizing potential disputes in the future.
Key Elements of the Business Sale Agreement Template Sole Proprietorship
Several critical components must be included in a Business Sale Agreement Template Sole Proprietorship to ensure its effectiveness and legality. These elements typically include:
- Identification of Parties: Clearly state the names and addresses of the seller and buyer.
- Description of the Business: Provide a detailed description of the business being sold, including its assets, liabilities, and any intellectual property.
- Purchase Price: Specify the total purchase price and any payment terms, including deposits and installment plans.
- Closing Date: Indicate the date on which the sale will be finalized.
- Representations and Warranties: Include any assurances made by the seller regarding the business's condition and legal standing.
- Governing Law: State the jurisdiction under which the agreement will be interpreted and enforced.
Steps to Complete the Business Sale Agreement Template Sole Proprietorship
Filling out the Business Sale Agreement Template Sole Proprietorship involves several key steps to ensure accuracy and compliance with legal requirements:
- Gather Information: Collect all necessary details about the business, including financial statements and asset inventories.
- Fill Out the Template: Use the template to input the specific details of the transaction, ensuring all key elements are addressed.
- Review the Agreement: Both parties should carefully review the document to ensure that all terms are clear and acceptable.
- Seek Legal Advice: It may be beneficial for both parties to consult with legal professionals to confirm that the agreement meets all legal standards.
- Sign the Agreement: Once both parties are satisfied, sign the document to make it legally binding.
Legal Use of the Business Sale Agreement Template Sole Proprietorship
The Business Sale Agreement Template Sole Proprietorship is legally binding when executed properly. To ensure its enforceability, both parties must adhere to the legal requirements for contracts, which typically include:
- Mutual Consent: Both parties must agree to the terms without coercion.
- Consideration: There must be something of value exchanged, such as money or services.
- Capacity: Both parties must have the legal capacity to enter into a contract, meaning they are of legal age and sound mind.
- Legality: The agreement must not involve illegal activities.
How to Obtain the Business Sale Agreement Template Sole Proprietorship
Acquiring a Business Sale Agreement Template Sole Proprietorship can be done through several avenues. Many legal websites and document preparation services offer downloadable templates that can be customized. Additionally, consulting with a legal professional can provide access to tailored templates that meet specific business needs. It is important to ensure that any template used complies with state laws and regulations.
Quick guide on how to complete business sale agreement templatesole proprietorship
Easily prepare [SKS] on any device
Digital document management has become increasingly favored by both companies and individuals. It serves as an ideal sustainable substitute for traditional printed and signed documents, allowing you to locate the correct form and securely store it online. airSlate SignNow provides all the tools necessary for you to create, modify, and electronically sign your documents promptly without any hold-ups. Manage [SKS] on any device using airSlate SignNow's Android or iOS applications and streamline any document-related process today.
The simplest way to modify and eSign [SKS] effortlessly
- Locate [SKS] and click Get Form to begin.
- Utilize the tools we offer to complete your form.
- Emphasize important sections of the documents or conceal sensitive information with tools that airSlate SignNow specifically provides for this purpose.
- Create your eSignature using the Sign feature, which takes mere seconds and carries the same legal validity as a conventional wet ink signature.
- Review all the details and click on the Done button to save your modifications.
- Choose how you would like to send your form, whether by email, SMS, or invitation link, or download it to your computer.
Eliminate the worry of lost or misplaced documents, tedious form navigation, or errors that necessitate printing additional copies. airSlate SignNow meets your document management needs in just a few clicks from any device you prefer. Modify and eSign [SKS] and ensure effective communication at every stage of the form preparation process with airSlate SignNow.
Create this form in 5 minutes or less
Related searches to Business Sale Agreement TemplateSole Proprietorship
Create this form in 5 minutes!
People also ask
- 
                                
                                    
                                    
                                    What is a Business Sale Agreement TemplateSole Proprietorship?
                                
                                A Business Sale Agreement TemplateSole Proprietorship is a legal document that outlines the terms of selling a business operated as a sole proprietorship. This template provides a straightforward framework for both buyers and sellers, ensuring that all crucial aspects of the sale are covered, including sales price, payment terms, and any included liabilities.
- 
                                
                                    
                                    
                                    How can I customize the Business Sale Agreement TemplateSole Proprietorship?
                                
                                You can easily customize the Business Sale Agreement TemplateSole Proprietorship using airSlate SignNow's user-friendly interface. By filling in the required fields and adding any necessary clauses tailored to your specific business needs, you ensure that the agreement accurately reflects your intentions and protects both parties involved.
- 
                                
                                    
                                    
                                    What are the benefits of using an electronic Business Sale Agreement TemplateSole Proprietorship?
                                
                                Using an electronic Business Sale Agreement TemplateSole Proprietorship simplifies the signing process, making it faster and more efficient. With airSlate SignNow, you can conveniently send, receive, and manage signed documents remotely while maintaining security and compliance, which ultimately saves time and reduces hassle for all parties.
- 
                                
                                    
                                    
                                    Is there a cost associated with the Business Sale Agreement TemplateSole Proprietorship?
                                
                                While the Business Sale Agreement TemplateSole Proprietorship is available as part of airSlate SignNow's subscription plans, the feature may vary depending on the plan you choose. It's advisable to check the pricing details on our website to ensure that it aligns with your business needs and budget.
- 
                                
                                    
                                    
                                    Can I integrate the Business Sale Agreement TemplateSole Proprietorship with other tools?
                                
                                Yes, airSlate SignNow allows for seamless integrations with numerous third-party applications, enhancing the functionality of your Business Sale Agreement TemplateSole Proprietorship. This can include integrations with CRM systems, cloud storage solutions, and more, streamlining your workflow and document management.
- 
                                
                                    
                                    
                                    What features are included with the Business Sale Agreement TemplateSole Proprietorship?
                                
                                The Business Sale Agreement TemplateSole Proprietorship includes essential features, such as customizable fields, electronic signatures, templates for various transaction types, and tracking capabilities for document management. These features empower you to create a legally binding agreement quickly, with confidence in its validity.
- 
                                
                                    
                                    
                                    How secure is the Business Sale Agreement TemplateSole Proprietorship when using airSlate SignNow?
                                
                                airSlate SignNow prioritizes security for all documents, including the Business Sale Agreement TemplateSole Proprietorship. Our platform employs industry-standard encryption, secure cloud storage, and compliance with legal regulations, ensuring your sensitive business information is protected throughout the entire signing process.
Get more for Business Sale Agreement TemplateSole Proprietorship
- Dc couartly statement filing for retaurant and hotel licensees form
- St thomas school sahibabad form
- Content form 34839081
- Iac authorized representative notification of implementing instructions for security form
- Ss airsoft waiver form
- Oregon department of justice raffle license annual report form
- Cathsseta registration form
- Dekalb county summons form
Find out other Business Sale Agreement TemplateSole Proprietorship
- How To Electronic signature Illinois Architectural Proposal Template
- Electronic signature North Carolina Equipment Rental Agreement Template Simple
- How Do I Electronic signature Illinois Architectural Proposal Template
- Help Me With Electronic signature Illinois Architectural Proposal Template
- Electronic signature North Carolina Equipment Rental Agreement Template Easy
- How Can I Electronic signature Illinois Architectural Proposal Template
- Electronic signature Louisiana Construction Contract Template Online
- Can I Electronic signature Illinois Architectural Proposal Template
- Electronic signature North Carolina Equipment Rental Agreement Template Safe
- Electronic signature Louisiana Construction Contract Template Computer
- Electronic signature Indiana Architectural Proposal Template Online
- Electronic signature Indiana Architectural Proposal Template Computer
- Electronic signature Indiana Architectural Proposal Template Mobile
- Electronic signature Louisiana Construction Contract Template Mobile
- Electronic signature Indiana Architectural Proposal Template Now
- Electronic signature Indiana Architectural Proposal Template Later
- Electronic signature Indiana Architectural Proposal Template Myself
- How To Electronic signature Louisiana Construction Contract Template
- Electronic signature Indiana Architectural Proposal Template Free
- Electronic signature Louisiana Construction Contract Template Now