
Waiver of Lien Corporation or LLC Alaska Form


What is the Waiver Of Lien Corporation Or LLC Alaska
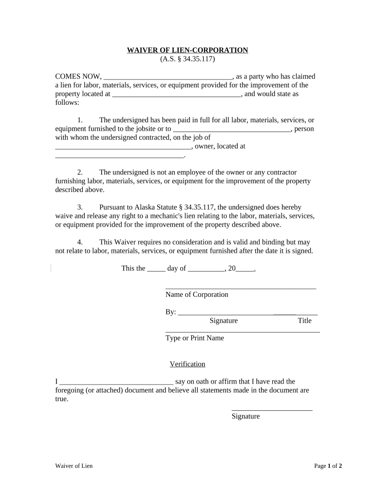
The Waiver Of Lien Corporation Or LLC Alaska is a legal document that allows a corporation or limited liability company (LLC) to waive its right to file a lien against a property. This form is often used in construction and real estate transactions where contractors or suppliers may have a claim to a property for unpaid work or materials. By signing this waiver, the entity relinquishes its right to assert a lien, which can help facilitate smoother transactions and ensure that payments are made promptly.
How to Use the Waiver Of Lien Corporation Or LLC Alaska
To use the Waiver Of Lien Corporation Or LLC Alaska, first ensure that the document is correctly filled out with the necessary details, including the names of the parties involved, the property description, and the specific terms of the waiver. Once completed, the document should be signed by an authorized representative of the corporation or LLC. It is crucial to keep a copy of the signed waiver for your records, as it serves as proof of the waiver of lien rights.
Steps to Complete the Waiver Of Lien Corporation Or LLC Alaska
Completing the Waiver Of Lien Corporation Or LLC Alaska involves several key steps:
- Gather necessary information about the parties involved and the property.
- Obtain the official form and ensure it is the correct version for Alaska.
- Fill in the required fields accurately, including names, addresses, and property details.
- Have the document signed by an authorized representative of the corporation or LLC.
- Make copies of the signed document for both parties.
Legal Use of the Waiver Of Lien Corporation Or LLC Alaska
The legal use of the Waiver Of Lien Corporation Or LLC Alaska is crucial in ensuring that the document is enforceable. It must comply with Alaska state laws and regulations regarding liens and waivers. This includes ensuring that the waiver is signed voluntarily and that all parties understand the implications of waiving their lien rights. It is advisable to consult with a legal professional to ensure compliance and validity.
Key Elements of the Waiver Of Lien Corporation Or LLC Alaska
Key elements of the Waiver Of Lien Corporation Or LLC Alaska include:
- The names and addresses of the corporation or LLC and the property owner.
- A clear description of the property involved.
- The specific terms under which the lien is waived.
- The signatures of authorized representatives.
- The date of execution.
State-Specific Rules for the Waiver Of Lien Corporation Or LLC Alaska
In Alaska, specific rules govern the use of waivers of lien. These rules dictate how the waiver must be executed and the information that must be included. For instance, the waiver must be signed by an individual who has the authority to bind the corporation or LLC. Additionally, certain types of waivers may be subject to specific statutory requirements, so understanding these nuances is essential for compliance.
Quick guide on how to complete waiver of lien corporation or llc alaska
Complete [SKS] effortlessly on any device
Digital document management has become increasingly popular among businesses and individuals. It offers an excellent eco-friendly substitute for traditional printed and signed documents, allowing you to access the right form and securely store it online. airSlate SignNow equips you with all the tools necessary to create, edit, and eSign your documents swiftly without delays. Handle [SKS] on any device with airSlate SignNow's Android or iOS applications and enhance any document-centered process today.
The easiest way to edit and eSign [SKS] without effort
- Locate [SKS] and click Get Form to initiate the process.
- Utilize the tools we offer to complete your form.
- Emphasize relevant sections of the documents or redact sensitive information using tools that airSlate SignNow offers specifically for this purpose.
- Create your eSignature utilizing the Sign feature, which takes seconds and holds the same legal validity as a conventional ink signature.
- Review all the information and click on the Done button to save your changes.
- Choose how you would like to send your form, via email, text message (SMS), or invitation link, or download it to your computer.
Say goodbye to lost or misplaced documents, tedious form searching, or errors that require printing new copies. airSlate SignNow fulfills all your document management needs in just a few clicks from any device you prefer. Edit and eSign [SKS] and ensure excellent communication at every stage of your form preparation process with airSlate SignNow.
Create this form in 5 minutes or less
Related searches to Waiver Of Lien Corporation Or LLC Alaska
Create this form in 5 minutes!
People also ask
-
What is a Waiver Of Lien Corporation Or LLC Alaska?
A Waiver Of Lien Corporation Or LLC Alaska is a legal document that relinquishes the right to file a lien against a property. This document is crucial in construction and real estate transactions to ensure that contractors, suppliers, and subcontractors are paid without encumbrances. Using airSlate SignNow simplifies the process of creating and sending this waiver.
-
How can I create a Waiver Of Lien Corporation Or LLC Alaska using airSlate SignNow?
Creating a Waiver Of Lien Corporation Or LLC Alaska with airSlate SignNow is straightforward. Our platform provides customizable templates that you can fill in and send for eSignature within minutes. This means you can focus on your project without delays associated with paper processes.
-
What is the pricing model for airSlate SignNow in relation to the Waiver Of Lien Corporation Or LLC Alaska?
airSlate SignNow offers competitive pricing plans that cater to various business needs, including features specifically for managing a Waiver Of Lien Corporation Or LLC Alaska. There are different tiers based on the number of users and features required, ensuring you get the best value for your investment. Contact us for specific pricing tailored to your business size.
-
What are the benefits of using airSlate SignNow for Waiver Of Lien Corporation Or LLC Alaska?
Using airSlate SignNow for your Waiver Of Lien Corporation Or LLC Alaska ensures a streamlined, efficient process. You benefit from fast turnaround times, reduced paperwork, and real-time tracking of document status. Additionally, our platform enhances security, ensuring your sensitive documents remain safe.
-
Does airSlate SignNow integrate with other software for managing Waiver Of Lien Corporation Or LLC Alaska?
Yes, airSlate SignNow offers integrations with a variety of software tools that can complement the management of Waiver Of Lien Corporation Or LLC Alaska. These integrations enhance workflow by connecting with popular project management, accounting, and CRM systems. This allows for a seamless experience in your business operations.
-
Is it legally binding to eSign a Waiver Of Lien Corporation Or LLC Alaska through airSlate SignNow?
Absolutely. An eSignature on a Waiver Of Lien Corporation Or LLC Alaska created through airSlate SignNow is legally binding and compliant with eSignature laws. This means you can confidently send and sign your waivers, ensuring that all parties involved are protected under the law.
-
Can I store my Waiver Of Lien Corporation Or LLC Alaska documents using airSlate SignNow?
Yes, airSlate SignNow provides secure document storage for your Waiver Of Lien Corporation Or LLC Alaska. You can easily access, share, and manage your documents from any device, adding an extra layer of convenience to your business operations. Plus, our storage solutions are designed to keep your information secure and organized.
Get more for Waiver Of Lien Corporation Or LLC Alaska
- We the underwriters will pay the sum assured mentioned in the certificate to the person or persons to form
- Instructor proposal form maricopa community colleges pc maricopa
- Foreign client disclosure landlord tenant esquire group form
- Unified carrier registration year unified carrier form
- W 8 forms cover sheet university of oregon
- Individual whose hearing loss is 70 dba or greater in the 1000 and hz valleymetro form
- Exploring the best of australia amp new zealand oklahoma oc form
- Form ri w3 rhode island division of taxation
Find out other Waiver Of Lien Corporation Or LLC Alaska
- How To Integrate Sign in Banking
- How Do I Integrate Sign in Banking
- Help Me With Integrate Sign in Banking
- How Can I Integrate Sign in Banking
- Can I Integrate Sign in Banking
- How To Use Sign in Banking
- How Do I Use Sign in Banking
- Help Me With Use Sign in Banking
- How Can I Use Sign in Banking
- Can I Use Sign in Banking
- How To Install Sign in Banking
- How Do I Install Sign in Banking
- Help Me With Install Sign in Banking
- How Can I Install Sign in Banking
- Can I Install Sign in Banking
- How To Add Sign in Banking
- How Do I Add Sign in Banking
- Help Me With Add Sign in Banking
- How Can I Add Sign in Banking
- Can I Add Sign in Banking