
Arizona Sale Contract Form


What is the Arizona Sale Contract
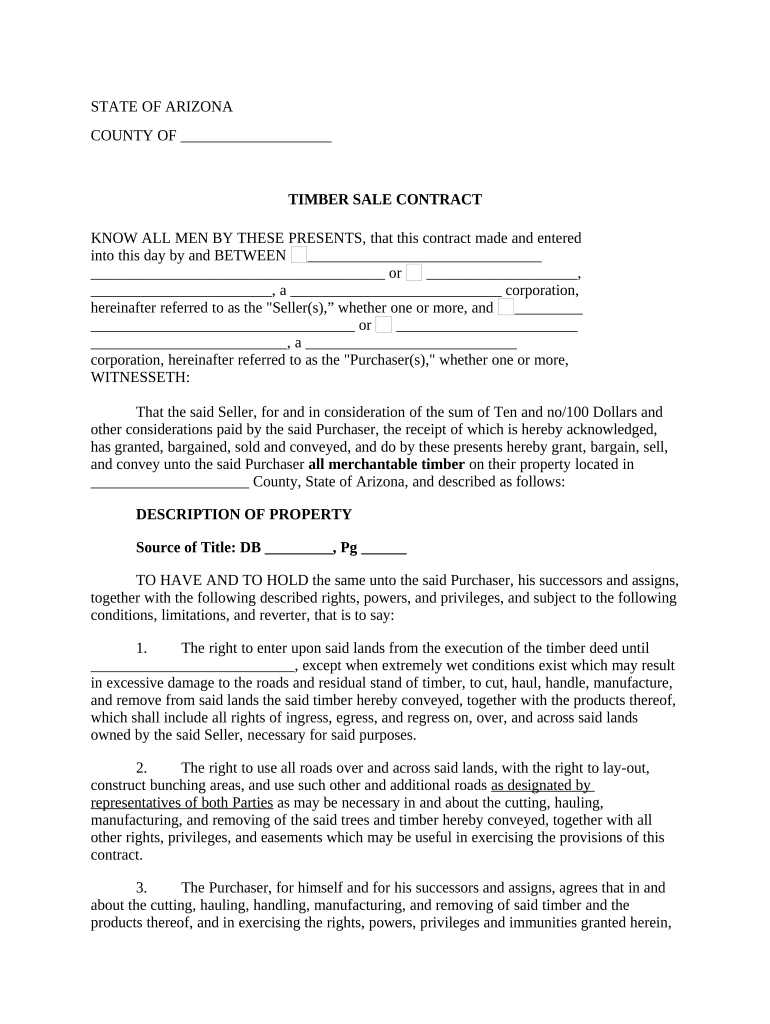
The Arizona Sale Contract is a legally binding agreement between a buyer and a seller for the purchase and sale of real estate in Arizona. This document outlines the terms of the sale, including the purchase price, property description, and any contingencies that must be met before the sale is finalized. It serves to protect the interests of both parties and ensures that the transaction adheres to state laws and regulations.
Key elements of the Arizona Sale Contract
Several key elements must be included in the Arizona Sale Contract to ensure its validity. These elements typically include:
- Parties involved: The full names and contact information of the buyer and seller.
- Property description: A detailed description of the property being sold, including the address and legal description.
- Purchase price: The agreed-upon price for the property, along with details on any deposits or down payments.
- Contingencies: Conditions that must be met for the sale to proceed, such as financing or inspection results.
- Closing date: The date on which the sale will be finalized and ownership transferred.
Steps to complete the Arizona Sale Contract
Completing the Arizona Sale Contract involves several important steps to ensure that the document is filled out correctly. These steps include:
- Gather necessary information: Collect all relevant details about the property and the parties involved.
- Fill out the contract: Accurately complete each section of the contract, ensuring all required fields are filled.
- Review the contract: Both parties should carefully review the document to confirm all terms are correct and agreeable.
- Sign the contract: Both the buyer and seller must sign the contract to make it legally binding.
- Distribute copies: Provide each party with a signed copy of the contract for their records.
Legal use of the Arizona Sale Contract
The Arizona Sale Contract must comply with state laws to be considered legally binding. This includes adherence to the Arizona Revised Statutes governing real estate transactions. Both parties should ensure that the contract is executed properly, including obtaining necessary signatures and following any local regulations that may apply.
How to use the Arizona Sale Contract
The Arizona Sale Contract can be used in various real estate transactions, including residential sales, commercial property sales, and land transactions. To use the contract effectively, both the buyer and seller should understand their rights and obligations as outlined in the document. It is advisable to consult with a real estate attorney or agent to ensure that the contract meets all legal requirements and accurately reflects the terms of the agreement.
State-specific rules for the Arizona Sale Contract
Arizona has specific rules and regulations that govern the use of sale contracts. These may include requirements for disclosures, such as lead paint hazards or property condition disclosures. Additionally, Arizona law may dictate certain timelines for inspections and contingencies, which must be adhered to in the contract. Familiarity with these state-specific rules can help both parties navigate the sale process more effectively.
Quick guide on how to complete arizona sale contract
Prepare arizona sale contract effortlessly on any device
Managing documents online has become popular among businesses and individuals. It offers an ideal eco-friendly alternative to conventional printed and signed paperwork, enabling you to access the appropriate form and securely store it online. airSlate SignNow provides all the tools you require to create, modify, and eSign your documents swiftly without delays. Manage arizona sale contract on any device with airSlate SignNow Android or iOS applications and streamline any document-related process today.
The simplest way to alter and eSign arizona sale contract with ease
- Obtain arizona sale contract and click Get Form to begin.
- Utilize the tools we offer to complete your document.
- Mark important sections of your documents or redact sensitive details using tools specifically designed by airSlate SignNow.
- Create your signature with the Sign tool, which takes mere seconds and carries the same legal significance as a traditional ink signature.
- Verify the information and click on the Done button to save your alterations.
- Choose how you prefer to send your form, via email, text message (SMS), or invitation link, or download it to your computer.
Eliminate worries about lost or misplaced documents, tedious form searches, or errors requiring the printing of new document copies. airSlate SignNow caters to all your document management needs in just a few clicks from any device you select. Change and eSign arizona sale contract and ensure excellent communication at every stage of the form preparation process with airSlate SignNow.
Create this form in 5 minutes or less
Related searches to arizona sale contract
Create this form in 5 minutes!
People also ask arizona sale contract
-
What is an Arizona sale contract?
An Arizona sale contract is a legally binding agreement between a buyer and seller for the purchase of real estate in Arizona. It outlines the terms of the sale, including price, contingencies, and obligations of both parties, ensuring a clear understanding of the transaction.
-
How can airSlate SignNow assist with my Arizona sale contract?
airSlate SignNow simplifies the process of managing your Arizona sale contract by allowing you to create, send, and eSign documents securely online. Our platform ensures you stay compliant and helps expedite transactions while providing an audit trail for your records.
-
What features does airSlate SignNow offer for Arizona sale contracts?
airSlate SignNow offers a variety of features for your Arizona sale contract needs, including customizable templates, real-time status updates, and easy eSignature functionality. These features collectively enhance the efficiency of document management and ensure secure transactions.
-
Is there a cost associated with using airSlate SignNow for Arizona sale contracts?
Yes, there is a pricing structure associated with airSlate SignNow that varies based on your usage and requirements. We offer various plans suitable for individuals and businesses to manage Arizona sale contracts cost-effectively, ensuring you only pay for what you need.
-
Can I integrate airSlate SignNow with other tools for Arizona sale contracts?
Absolutely! airSlate SignNow integrates seamlessly with popular tools such as CRM systems, project management software, and cloud storage services. This integration makes it easier to manage your Arizona sale contracts alongside your existing workflows.
-
What are the benefits of using airSlate SignNow for my Arizona sale contract?
Using airSlate SignNow for your Arizona sale contract provides numerous benefits, including enhanced efficiency, reduced paperwork, and a user-friendly interface. This makes it easier for all parties involved to review, sign, and track the document without delays.
-
How does eSigning improve the Arizona sale contract process?
eSigning your Arizona sale contract with airSlate SignNow eliminates the need for physical signatures and offers a faster turnaround. This digital approach not only speeds up the process but also provides added security and accessibility for all signers.
Get more for arizona sale contract
- Throats my cock takes it deep indher ass i cum on her form
- Fillable online hiset official practice test order form
- Hiset exam official practice test opt8 answers form
- We provide safety security and service to the people who form
- Form i 9 employment eligibility verification acro hr solutions
- Application for certificate of partial occupancy form
- Community supervision officer domestic relations office harris county form
- Pcs form 3 2719
Find out other arizona sale contract
- How To Sign Texas Rental agreement application
- How Do I Sign Texas Rental agreement application
- Sign Tennessee Rental agreement application Myself
- Help Me With Sign Texas Rental agreement application
- How Can I Sign Texas Rental agreement application
- Sign South Dakota Rental agreement application Simple
- Sign Tennessee Rental agreement application Free
- Can I Sign Texas Rental agreement application
- Sign Tennessee Rental agreement application Secure
- Sign South Dakota Rental agreement application Easy
- Sign North Carolina Property management lease agreement Online
- Sign North Carolina Property management lease agreement Computer
- Sign Tennessee Rental agreement application Fast
- Sign North Carolina Property management lease agreement Mobile
- Sign North Carolina Property management lease agreement Now
- Sign South Dakota Rental agreement application Safe
- Sign North Carolina Property management lease agreement Later
- Sign Tennessee Rental agreement application Simple
- Sign North Carolina Property management lease agreement Myself
- Sign North Carolina Property management lease agreement Free