
Partial Release Form


What is the Partial Release Form
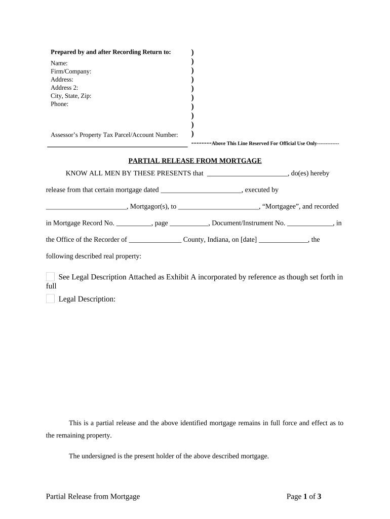
The Indiana partial release form is a legal document that allows a borrower to release a portion of a mortgage lien from a specific property. This form is typically used when a borrower sells a part of the property or refinances a portion of the mortgage. By executing this form, the lender agrees to release their claim on the specified portion, while retaining the lien on the remaining property. This process is essential for ensuring that any transactions involving the property are conducted smoothly and legally.
How to use the Partial Release Form
Using the Indiana partial release form involves several steps to ensure that all legal requirements are met. First, the borrower must fill out the form accurately, providing details about the property and the specific portion being released. Next, both the borrower and the lender must sign the document to validate it. Once completed, the form should be filed with the appropriate county recorder's office to make the release official. It is crucial to keep a copy of the filed form for personal records and future reference.
Steps to complete the Partial Release Form
Completing the Indiana partial release form requires careful attention to detail. Follow these steps for a successful submission:
- Obtain the form from a reliable source, ensuring it is the correct version for Indiana.
- Fill in the required information, including the borrower's name, property details, and the portion of the mortgage to be released.
- Review the form for accuracy and completeness.
- Sign the document in the presence of a notary public, if required.
- Submit the completed form to the county recorder's office for filing.
Legal use of the Partial Release Form
The legal use of the Indiana partial release form is governed by state laws and regulations. It is essential that the form is executed correctly to ensure its enforceability. The form must meet specific legal standards, such as being signed by both parties and properly recorded. Failure to comply with these legal requirements may result in the release being deemed invalid, potentially leading to disputes over property ownership or mortgage obligations.
Key elements of the Partial Release Form
Several key elements must be included in the Indiana partial release form for it to be valid:
- The names and addresses of the borrower and lender.
- A clear description of the property, including its legal description.
- The specific portion of the mortgage being released.
- Signatures of both the borrower and lender, along with the date of signing.
- A notary acknowledgment, if required by law.
State-specific rules for the Partial Release Form
Indiana has specific rules governing the use of the partial release form. These rules dictate how the form should be filled out, signed, and submitted. It is important for borrowers to familiarize themselves with these regulations to avoid any legal complications. Additionally, local county requirements may vary, so checking with the county recorder's office is advisable to ensure compliance with all applicable laws.
Quick guide on how to complete indiana release mortgage
Effortlessly Complete indiana release mortgage on Any Device
Managing documents online has become increasingly popular among businesses and individuals alike. It offers an ideal eco-friendly substitute for traditional printed and signed documents, allowing you to obtain the necessary form and securely store it online. airSlate SignNow equips you with all the resources you require to create, modify, and electronically sign your documents quickly and without delays. Handle indiana partial on any device using airSlate SignNow's Android or iOS applications and streamline any document-centric process today.
How to Modify and Electronically Sign indiana release mortgage with Ease
- Locate partial release form and click Get Form to begin.
- Utilize the tools we offer to fill out your form.
- Emphasize essential sections of your documents or obscure sensitive information with the tools that airSlate SignNow specifically provides for this task.
- Create your signature with the Sign tool, which takes mere seconds and carries the same legal validity as a conventional wet ink signature.
- Review the details and click on the Done button to save your modifications.
- Select your preferred method for delivering your form, whether by email, SMS, or invitation link, or download it to your computer.
Say goodbye to lost or mislaid files, tedious form searching, or errors that require printing new document copies. airSlate SignNow meets all your document management needs in just a few clicks from any device you choose. Edit and electronically sign indiana partial while ensuring excellent communication at any stage of the form preparation process with airSlate SignNow.
Create this form in 5 minutes or less
Related searches to partial release form
Create this form in 5 minutes!
People also ask partial release form
-
What is an Indiana partial?
An Indiana partial refers to a specific type of document or service associated with the legal requirements in Indiana. It often involves the execution of contracts or agreements that need to be partially fulfilled or certified according to state regulations. Understanding this concept is crucial for businesses operating within Indiana.
-
How can airSlate SignNow help with Indiana partials?
airSlate SignNow provides a seamless platform for businesses to manage Indiana partial documents quickly and efficiently. With features like eSigning and document sharing, you can ensure compliance with Indiana’s legal requirements. The platform simplifies the process of handling partial agreements, allowing for a more streamlined workflow.
-
What are the pricing options for airSlate SignNow for Indiana partial needs?
airSlate SignNow offers flexible pricing plans tailored to suit different business needs, including those specific to Indiana partial contracts. You can choose from various tiers, each designed to provide comprehensive features and support. This ensures you only pay for the services that meet your specific Indiana partial requirements.
-
What features does airSlate SignNow offer for managing Indiana partials?
Some of the key features of airSlate SignNow include customizable templates, real-time collaboration tools, and secure electronic signatures specifically designed for Indiana partials. These features help to simplify the preparation and signing process, reducing errors and saving valuable time for your team. Enhanced tracking and reporting also ensure compliance with Indiana laws.
-
Can airSlate SignNow integrate with other tools for Indiana partial management?
Yes, airSlate SignNow seamlessly integrates with numerous tools and platforms, making it an ideal choice for managing Indiana partial documents. Whether it's CRM systems, cloud storage, or productivity applications, integration capabilities ensure a smooth workflow. This helps businesses optimize their operations while adhering to Indiana state regulations.
-
What are the benefits of using airSlate SignNow for Indiana partials?
Using airSlate SignNow for Indiana partials means achieving greater efficiency and accuracy in document management. The ease of eSigning reduces turnaround times and enhances document security. Additionally, businesses can ensure compliance with Indiana regulations, ultimately enabling more effective operations.
-
Is airSlate SignNow legally compliant with Indiana partial requirements?
Yes, airSlate SignNow is fully compliant with Indiana state laws concerning electronic signatures and document handling, including Indiana partials. This compliance ensures your documents are valid and enforceable within the state. Businesses can confidently use our platform knowing they meet all legal obligations.
Get more for indiana partial
- Medpartners cob online form
- Trainer observation form the ohio child welfare training program
- Arbys application form
- Form hud 4128
- Interim change reporting procedures post lease up form
- New hirerehire employee form royal tire
- Bapplicationb for base fee elec middle district of north bb ncmb uscourts form
- Questionnaire legalshield form
Find out other indiana release mortgage
- How To Sign Oregon Healthcare / Medical PPT
- How Do I Sign Oregon Healthcare / Medical PPT
- How To Sign Oregon Healthcare / Medical PPT
- Help Me With Sign Oregon Healthcare / Medical PPT
- How Can I Sign Oregon Healthcare / Medical PPT
- Can I Sign Oregon Healthcare / Medical PPT
- How Do I Sign Oregon Healthcare / Medical PPT
- Help Me With Sign Oregon Healthcare / Medical PPT
- How To Sign Oregon Healthcare / Medical PPT
- How Do I Sign Oregon Healthcare / Medical PPT
- Help Me With Sign Oregon Healthcare / Medical PPT
- How Can I Sign Oregon Healthcare / Medical PPT
- How Can I Sign Oregon Healthcare / Medical PPT
- Can I Sign Oregon Healthcare / Medical PPT
- Can I Sign Oregon Healthcare / Medical PPT
- How To Sign Oregon Healthcare / Medical PPT
- How Do I Sign Oregon Healthcare / Medical PPT
- Help Me With Sign Oregon Healthcare / Medical PPT
- How Can I Sign Oregon Healthcare / Medical PPT
- Can I Sign Oregon Healthcare / Medical PPT