
General Notice of Default for Contract for Deed Kansas Form


What is the General Notice Of Default For Contract For Deed Kansas
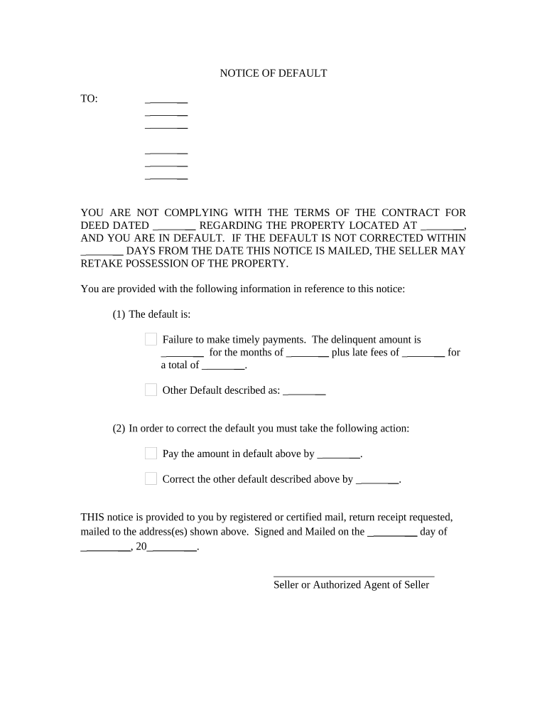
The General Notice of Default for Contract for Deed in Kansas is a formal document that serves to inform a buyer under a contract for deed that they have defaulted on their payment obligations. This notice is essential in the context of real estate transactions, particularly for buyers who are purchasing property through a contract for deed arrangement. The notice typically outlines the specific terms of the default, including the amount overdue and the actions required to remedy the situation. It is a crucial step in the process of enforcing the seller's rights under the contract.
Steps to Complete the General Notice Of Default For Contract For Deed Kansas
Completing the General Notice of Default for Contract for Deed in Kansas involves several key steps to ensure that the document is accurate and legally binding. First, gather all relevant information, including the names of the parties involved, the property address, and the specific terms of the contract. Next, clearly state the nature of the default, specifying the amount due and any missed payments. It is also important to include a deadline for the buyer to remedy the default, typically ranging from thirty to sixty days. Finally, ensure that the notice is signed and dated by the seller or their authorized representative.
Legal Use of the General Notice Of Default For Contract For Deed Kansas
The legal use of the General Notice of Default for Contract for Deed in Kansas is governed by state laws regarding real estate transactions. This document serves as a formal notification to the buyer that they are in default, which is a prerequisite for any further legal action, such as foreclosure. It is important that the notice complies with Kansas state regulations, including proper delivery methods, which may include mailing the notice or delivering it in person. Failure to follow these legal requirements can affect the enforceability of the notice and the seller's ability to take further action.
Key Elements of the General Notice Of Default For Contract For Deed Kansas
Several key elements must be included in the General Notice of Default for Contract for Deed in Kansas to ensure its effectiveness. These elements include:
- Identification of the parties: Clearly state the names of the buyer and seller.
- Property description: Provide a detailed description of the property involved in the contract.
- Details of the default: Specify the nature of the default, including missed payments and the total amount owed.
- Deadline for remedy: Indicate a specific timeframe within which the buyer must rectify the default.
- Signature: Ensure the notice is signed by the seller or their authorized representative.
How to Obtain the General Notice Of Default For Contract For Deed Kansas
To obtain the General Notice of Default for Contract for Deed in Kansas, individuals can typically access templates online or consult with a legal professional who specializes in real estate law. Many legal websites and resources provide downloadable forms that can be customized to fit specific situations. It is advisable to ensure that any template used complies with Kansas state laws and includes all necessary information to avoid potential legal issues.
State-Specific Rules for the General Notice Of Default For Contract For Deed Kansas
Kansas has specific rules governing the issuance of the General Notice of Default for Contract for Deed. These rules dictate the required content of the notice, the method of delivery, and the timeframe allowed for the buyer to respond. It is essential for sellers to familiarize themselves with these regulations to ensure compliance and protect their rights. Additionally, understanding the legal implications of the notice can help prevent disputes and facilitate a smoother resolution process.
Quick guide on how to complete general notice of default for contract for deed kansas
Prepare [SKS] effortlessly on any device
Online document management has gained popularity among companies and individuals alike. It offers an ideal eco-friendly substitute for traditional printed and signed files, as you can obtain the necessary form and securely save it online. airSlate SignNow provides you with all the tools required to create, modify, and eSign your documents swiftly without delays. Manage [SKS] on any platform using the airSlate SignNow applications for Android or iOS and enhance any document-centric process today.
How to modify and eSign [SKS] with ease
- Obtain [SKS] and click Get Form to begin.
- Utilize the tools we offer to complete your form.
- Emphasize important sections of the documents or redact sensitive information with tools specifically provided by airSlate SignNow for that purpose.
- Create your signature using the Sign feature, which takes just seconds and holds the same legal validity as a conventional wet ink signature.
- Review all the details and click on the Done button to save your changes.
- Choose your preferred method for sending your form, whether by email, text message (SMS), invitation link, or download it to your computer.
Put aside concerns about lost or misplaced documents, tiresome form searches, or mistakes requiring new printed copies. airSlate SignNow takes care of all your document management needs in just a few clicks from any device you prefer. Alter and eSign [SKS] to ensure exceptional communication at any stage of your form preparation process with airSlate SignNow.
Create this form in 5 minutes or less
Create this form in 5 minutes!
People also ask
-
What is a General Notice Of Default For Contract For Deed in Kansas?
A General Notice Of Default For Contract For Deed in Kansas is a formal notification issued when a buyer fails to meet the contractual obligations of a deed contract. This document serves to inform the buyer about their default status and the potential consequences, which can include foreclosure processes. Understanding the specifics of this notice is crucial for both buyers and sellers in Kansas.
-
How can airSlate SignNow help in creating a General Notice Of Default For Contract For Deed in Kansas?
airSlate SignNow provides easy-to-use templates that can help you quickly generate a General Notice Of Default For Contract For Deed in Kansas. Our platform offers customization options to ensure that your notice meets local legal requirements. With our eSigning feature, you can also ensure that the document is signed and sealed promptly.
-
What features does airSlate SignNow offer for document management?
airSlate SignNow includes features such as customizable templates, eSigning capabilities, document tracking, and secure storage. These features make it easy to manage a General Notice Of Default For Contract For Deed in Kansas efficiently. Additionally, users can collaborate in real-time, ensuring that all parties are aligned and informed during the process.
-
Is airSlate SignNow cost-effective for small businesses needing a General Notice Of Default For Contract For Deed?
Yes, airSlate SignNow is designed as a cost-effective solution for small businesses looking to handle documents like a General Notice Of Default For Contract For Deed in Kansas. Our pricing plans are structured to provide great value while ensuring all necessary features are included for efficient document management. You can choose a plan that fits your budget and needs.
-
Can I integrate airSlate SignNow with other software for managing my General Notice Of Default For Contract For Deed?
Absolutely! airSlate SignNow offers integrations with various popular software applications, enhancing your workflow and allowing for seamless management of documents. By integrating our platform with your existing systems, you can efficiently handle your General Notice Of Default For Contract For Deed in Kansas and more.
-
What are the benefits of using airSlate SignNow for a General Notice Of Default For Contract For Deed?
Using airSlate SignNow for a General Notice Of Default For Contract For Deed in Kansas provides numerous benefits, including faster processing times, reduced paperwork, and improved accuracy. Our platform ensures that the document is legally binding and stored securely, allowing easy access whenever needed. Additionally, the user-friendly interface simplifies the entire process.
-
Is it possible to track the status of my General Notice Of Default For Contract For Deed once sent?
Yes, with airSlate SignNow, you can easily track the status of your General Notice Of Default For Contract For Deed in Kansas once it has been sent. Our document tracking feature allows you to see when the document was opened, signed, and completed. This ensures that you always stay informed about the progress of your important documents.
Get more for General Notice Of Default For Contract For Deed Kansas
- Basketball player evaluation form pdf
- Petition for benefit determination online 2014 form
- Weighmaster tennessee form
- Application for the tn pest control applicator license and tngov tn form
- Air conditioning contractor license texas form
- Registration of farm names application tngov tn form
- F212 051 000 supplemental quarterly report for the drywall industry if family members work for you know your obligations lni wa form
- F245 037 000 transfer of care card washington department of form
Find out other General Notice Of Default For Contract For Deed Kansas
- Sign Virginia Healthcare / Medical Moving Checklist Computer
- Sign Virginia Healthcare / Medical Rental Application Safe
- Sign Healthcare / Medical Word Vermont Online
- Sign Virginia Healthcare / Medical Moving Checklist Mobile
- Sign Healthcare / Medical Word Vermont Computer
- Sign Healthcare / Medical Word Vermont Mobile
- Sign Healthcare / Medical Word Vermont Now
- Sign Healthcare / Medical Word Vermont Later
- Sign Virginia Healthcare / Medical Moving Checklist Now
- Sign Healthcare / Medical Word Vermont Myself
- Sign Healthcare / Medical Word Vermont Free
- How To Sign Virginia Healthcare / Medical Moving Checklist
- Sign Healthcare / Medical Word Vermont Secure
- Sign Virginia Healthcare / Medical Moving Checklist Later
- Sign Healthcare / Medical Word Vermont Fast
- Sign Healthcare / Medical Word Vermont Simple
- How Do I Sign Virginia Healthcare / Medical Moving Checklist
- Sign Healthcare / Medical Word Vermont Easy
- Sign Healthcare / Medical Word Vermont Safe
- Help Me With Sign Virginia Healthcare / Medical Moving Checklist