
Quitclaim Deed from Corporation to LLC Kentucky Form


What is the Quitclaim Deed From Corporation To LLC Kentucky
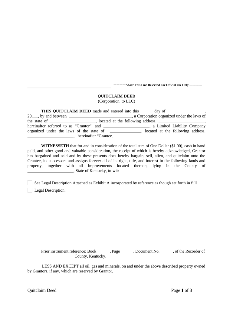
A quitclaim deed from a corporation to an LLC in Kentucky is a legal document used to transfer ownership of real property from a corporate entity to a limited liability company (LLC). Unlike other types of deeds, a quitclaim deed does not guarantee that the property title is clear or free of liens. Instead, it simply conveys whatever interest the corporation may have in the property at the time of the transfer. This type of deed is often utilized in business transactions to facilitate the transfer of assets while minimizing the complexities associated with the title transfer process.
Steps to Complete the Quitclaim Deed From Corporation To LLC Kentucky
Completing a quitclaim deed from a corporation to an LLC in Kentucky involves several key steps:
- Gather required information: Collect details about the property, including the legal description, the names of the corporation and LLC, and any relevant tax identification numbers.
- Draft the quitclaim deed: Use a standard template or form that complies with Kentucky state laws, ensuring all necessary information is included.
- Obtain signatures: The authorized representative of the corporation must sign the deed. It may also require notarization to validate the signatures.
- File the deed: Submit the completed quitclaim deed to the appropriate county clerk’s office in Kentucky for recording. This step is crucial for public notice and legal recognition of the transfer.
- Pay any applicable fees: Be prepared to pay recording fees, which vary by county.
Legal Use of the Quitclaim Deed From Corporation To LLC Kentucky
The quitclaim deed from a corporation to an LLC is legally recognized in Kentucky, provided it meets specific requirements. The deed must be executed by an authorized representative of the corporation and must include a clear description of the property being transferred. Additionally, the deed should be recorded with the county clerk to ensure that the transaction is officially documented. This legal process protects the interests of both parties and establishes a public record of the ownership transfer.
State-Specific Rules for the Quitclaim Deed From Corporation To LLC Kentucky
In Kentucky, there are specific rules governing the use of quitclaim deeds. The deed must be in writing and include the names of the grantor (the corporation) and the grantee (the LLC). It should also contain a legal description of the property being transferred. Kentucky law requires that the deed be signed by the grantor and acknowledged before a notary public. Additionally, the deed must be filed with the county clerk's office where the property is located to be effective against third parties.
Required Documents for the Quitclaim Deed From Corporation To LLC Kentucky
To complete a quitclaim deed from a corporation to an LLC in Kentucky, several documents are typically required:
- Completed quitclaim deed form.
- Legal description of the property.
- Identification of the authorized signatory from the corporation.
- Notarization of the deed.
- Payment for recording fees.
Examples of Using the Quitclaim Deed From Corporation To LLC Kentucky
There are various scenarios in which a quitclaim deed from a corporation to an LLC may be utilized:
- A corporation transferring real estate assets to a newly formed LLC for liability protection.
- Consolidating property ownership under an LLC to simplify management and tax reporting.
- Facilitating the sale of corporate assets to an LLC as part of a business restructuring.
Quick guide on how to complete quitclaim deed from corporation to llc kentucky
Complete [SKS] seamlessly on any device
Web-based document management has become favored by businesses and individuals. It offers an ideal eco-friendly alternative to traditional printed and signed documents, allowing you to find the necessary form and securely save it online. airSlate SignNow equips you with all the tools required to create, modify, and electronically sign your documents promptly and without delays. Manage [SKS] on any device using airSlate SignNow's Android or iOS applications and enhance any document-related process today.
How to alter and eSign [SKS] effortlessly
- Obtain [SKS] and click on Get Form to begin.
- Utilize the tools we provide to complete your document.
- Emphasize key sections of the documents or redact sensitive information with tools that airSlate SignNow specifically offers for that purpose.
- Create your eSignature with the Sign feature, which takes mere seconds and has the same legal validity as a conventional wet ink signature.
- Review the details and click on the Done button to save your modifications.
- Select your preferred delivery method for your form, whether by email, text message (SMS), invitation link, or download it to your computer.
Eliminate concerns over lost or misplaced documents, tedious form searches, or mistakes that require printing new document copies. airSlate SignNow addresses all your document management needs in just a few clicks from a device of your choice. Edit and eSign [SKS] and guarantee excellent communication at every stage of the form preparation procedure with airSlate SignNow.
Create this form in 5 minutes or less
Related searches to Quitclaim Deed From Corporation To LLC Kentucky
Create this form in 5 minutes!
People also ask
-
What is a Quitclaim Deed From Corporation To LLC in Kentucky?
A Quitclaim Deed From Corporation To LLC in Kentucky is a legal document that transfers ownership of property from a corporation to a limited liability company. This type of deed is often used to simplify the ownership structure and to facilitate property management. It's important to ensure that all necessary information is included to avoid any legal issues.
-
How do I create a Quitclaim Deed From Corporation To LLC in Kentucky?
Creating a Quitclaim Deed From Corporation To LLC in Kentucky can be done using legal templates or drafting software. You will need to provide details such as the parties involved, the property description, and any consideration exchanged. Utilizing eSigning solutions like airSlate SignNow can help streamline the process by allowing you to sign and send documents electronically.
-
What are the benefits of using a Quitclaim Deed From Corporation To LLC in Kentucky?
Using a Quitclaim Deed From Corporation To LLC in Kentucky offers several benefits, including reduced tax liability and simplified ownership transfer processes. This deed helps in protecting the personal assets of the LLC members by ensuring property is held under the LLC. Moreover, it can enhance credibility and operational ease for your business.
-
Are there any costs associated with filing a Quitclaim Deed From Corporation To LLC in Kentucky?
Yes, there are costs associated with filing a Quitclaim Deed From Corporation To LLC in Kentucky, including recording fees, which can vary by county. It may also be beneficial to factor in any legal fees if you choose to consult with an attorney. Using airSlate SignNow can help minimize costs through its affordable eSigning solutions.
-
Can I eSign a Quitclaim Deed From Corporation To LLC in Kentucky?
Yes, you can eSign a Quitclaim Deed From Corporation To LLC in Kentucky using airSlate SignNow, which offers a convenient and legally compliant electronic signature platform. This solution not only speeds up the signing process but also provides security and tracking features. Ensure that your document meets Kentucky's legal requirements for eSignatures.
-
What information is required on a Quitclaim Deed From Corporation To LLC in Kentucky?
A Quitclaim Deed From Corporation To LLC in Kentucky requires essential information such as the names and addresses of the parties involved, a detailed description of the property being transferred, and the consideration amount. Additionally, the document must be signed in the presence of a notary public to ensure its legality. airSlate SignNow can facilitate this process effectively.
-
Does a Quitclaim Deed From Corporation To LLC in Kentucky require notarization?
Yes, a Quitclaim Deed From Corporation To LLC in Kentucky must be signNowd to be legally effective. The notary's role is crucial in verifying the identity of the signers and ensuring that the document is properly executed. This step can easily be accomplished using airSlate SignNow's eNotary features.
Get more for Quitclaim Deed From Corporation To LLC Kentucky
- Pre planned trip form penn manor blogs penn manor school blogs pennmanor
- Dhcs 5050 facility staffing data a 5 california department of dhcs ca form
- City of ashland net profit license fee return kentucky occupational form
- Duplicate marksheet process from monad university form
- Zicta frequency application form
- Kursfortegnelse pdf form
- Form 4c
- Notfallkarte suvapro notfallkarte widen form
Find out other Quitclaim Deed From Corporation To LLC Kentucky
- Electronic signature Charity Presentation South Dakota Myself
- Electronic signature South Carolina Charity Last Will And Testament Fast
- Electronic signature Iowa Construction Rental Lease Agreement Now
- Electronic signature Charity Presentation South Dakota Free
- Electronic signature Iowa Construction Rental Lease Agreement Later
- Electronic signature Iowa Construction Rental Lease Agreement Myself
- Electronic signature Iowa Construction Rental Lease Agreement Free
- Electronic signature South Carolina Charity Last Will And Testament Simple
- Electronic signature Iowa Construction Rental Lease Agreement Secure
- Electronic signature Charity Presentation South Dakota Secure
- Electronic signature Iowa Construction Rental Lease Agreement Fast
- Electronic signature Iowa Construction Rental Lease Agreement Simple
- Electronic signature South Carolina Charity Last Will And Testament Easy
- Electronic signature Iowa Construction Rental Lease Agreement Easy
- Electronic signature Charity Presentation South Dakota Fast
- Electronic signature Iowa Construction Rental Lease Agreement Safe
- Electronic signature Charity Presentation South Dakota Simple
- Electronic signature South Carolina Charity Last Will And Testament Safe
- Electronic signature Charity Presentation South Dakota Easy
- How To Electronic signature South Carolina Charity Profit And Loss Statement