
Special or Limited Power of Attorney for Real Estate Sales Transaction by Seller Maryland Form


What is the Special Or Limited Power Of Attorney For Real Estate Sales Transaction By Seller Maryland
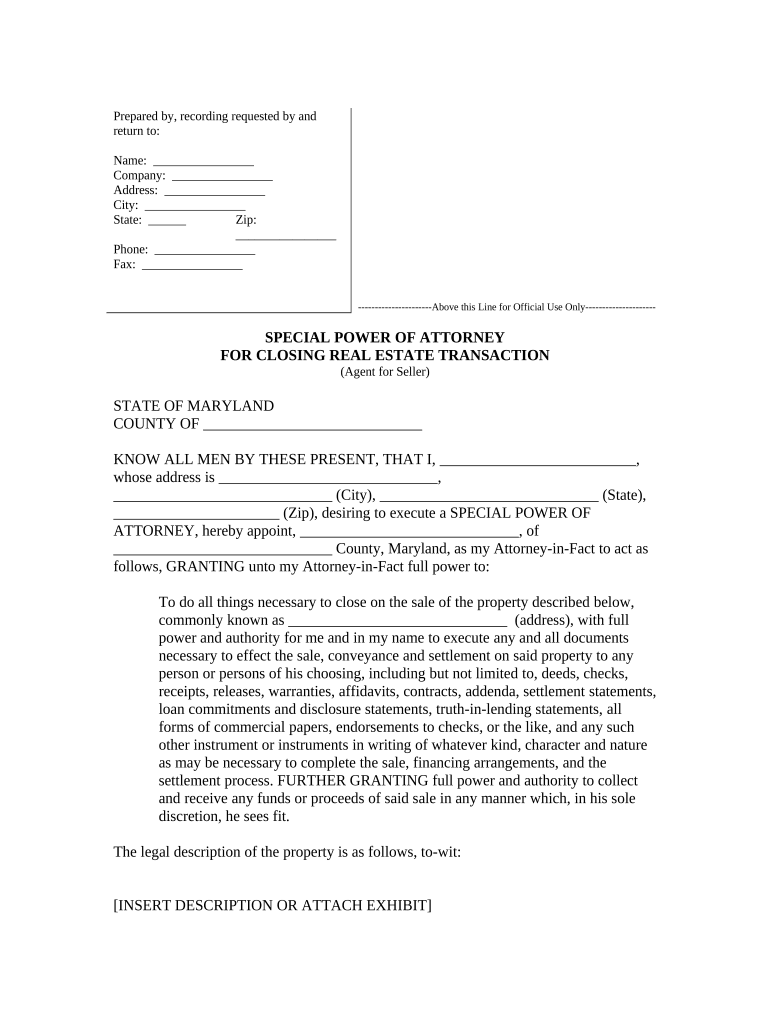
The Special or Limited Power of Attorney for Real Estate Sales Transaction by Seller in Maryland is a legal document that allows a seller to designate another individual to act on their behalf in a real estate transaction. This document is particularly useful when the seller cannot be present to sign necessary documents. The appointed agent can perform specific tasks, such as signing contracts, handling negotiations, and completing the sale process. The powers granted can be limited to a single transaction or specific actions, making it a flexible option for sellers.
How to Use the Special Or Limited Power Of Attorney For Real Estate Sales Transaction By Seller Maryland
To use the Special or Limited Power of Attorney for Real Estate Sales Transaction by Seller in Maryland, the seller must first complete the document, clearly outlining the powers granted to the agent. It is essential to specify the scope of authority, including any limitations. Once completed, the document should be signed and dated by the seller, and may need to be notarized to ensure its legality. The agent can then present this document during the transaction to execute the seller's wishes effectively.
Steps to Complete the Special Or Limited Power Of Attorney For Real Estate Sales Transaction By Seller Maryland
Completing the Special or Limited Power of Attorney for Real Estate Sales Transaction by Seller involves several key steps:
- Obtain the appropriate form, which can often be found online or through legal resources.
- Fill in the seller's details and the agent's information, including full names and addresses.
- Clearly define the powers being granted, specifying any limitations or conditions.
- Sign and date the document in the presence of a notary public, if required.
- Provide copies of the signed document to the agent and any relevant parties involved in the transaction.
Legal Use of the Special Or Limited Power Of Attorney For Real Estate Sales Transaction By Seller Maryland
The legal use of the Special or Limited Power of Attorney for Real Estate Sales Transaction by Seller in Maryland is governed by state laws. This document must comply with the Maryland statutory requirements for powers of attorney, including proper execution and notarization. It is crucial that the seller fully understands the implications of granting authority to the agent, as the agent will have the power to make decisions regarding the sale of the property.
Key Elements of the Special Or Limited Power Of Attorney For Real Estate Sales Transaction By Seller Maryland
Key elements of the Special or Limited Power of Attorney for Real Estate Sales Transaction by Seller include:
- Principal's Information: Full name and address of the seller granting the power.
- Agent's Information: Full name and address of the individual receiving the authority.
- Scope of Authority: A detailed description of the powers granted, including any limitations.
- Effective Date: The date when the powers become active, which can be immediate or upon a specific event.
- Signatures: The seller's signature, and potentially the agent's, along with notary acknowledgment if required.
State-Specific Rules for the Special Or Limited Power Of Attorney For Real Estate Sales Transaction By Seller Maryland
In Maryland, the Special or Limited Power of Attorney for Real Estate Sales Transaction must adhere to specific state laws. These include the requirement for the document to be in writing, signed by the seller, and notarized to be legally binding. Additionally, the powers granted must be clearly defined to avoid any ambiguity. Familiarity with Maryland's legal framework ensures that the document is enforceable and protects the interests of both the seller and the agent.
Quick guide on how to complete special or limited power of attorney for real estate sales transaction by seller maryland
Prepare [SKS] effortlessly on any device
Web-based document management has become increasingly popular among businesses and individuals. It offers an ideal eco-friendly alternative to traditional printed and signed papers, allowing you to locate the correct form and securely store it online. airSlate SignNow equips you with all the resources you require to create, modify, and electronically sign your documents quickly without delays. Handle [SKS] on any device using airSlate SignNow apps for Android or iOS and enhance any document-focused operation today.
How to modify and eSign [SKS] with ease
- Locate [SKS] and click on Get Form to begin.
- Use the tools we provide to fill out your form.
- Highlight important sections of the documents or obscure sensitive information with tools that airSlate SignNow offers specifically for this purpose.
- Create your signature using the Sign tool, which takes just seconds and holds the same legal validity as a conventional wet ink signature.
- Verify all the information and click on the Done button to save your changes.
- Choose your preferred method to send your form, whether by email, SMS, or invite link, or download it to your computer.
Say goodbye to lost or misplaced documents, tedious form searches, and errors that require the printing of new document copies. airSlate SignNow meets your document management needs in just a few clicks from any device you choose. Edit and eSign [SKS] and ensure excellent communication at any stage of the form preparation process with airSlate SignNow.
Create this form in 5 minutes or less
Create this form in 5 minutes!
People also ask
-
What is a Special Or Limited Power Of Attorney For Real Estate Sales Transaction By Seller Maryland?
A Special Or Limited Power Of Attorney For Real Estate Sales Transaction By Seller Maryland is a legal document that allows a seller to authorize another person to act on their behalf during a real estate sale. This can streamline the transaction process, particularly if the seller is unable to be present.
-
How does airSlate SignNow help with creating a Special Or Limited Power Of Attorney For Real Estate Sales Transaction By Seller Maryland?
airSlate SignNow offers an intuitive platform to easily create and customize a Special Or Limited Power Of Attorney For Real Estate Sales Transaction By Seller Maryland. Our tools provide templates and guidance to ensure that your document meets all necessary legal requirements.
-
What are the benefits of using a Special Or Limited Power Of Attorney For Real Estate Sales Transaction By Seller Maryland?
Using a Special Or Limited Power Of Attorney For Real Estate Sales Transaction By Seller Maryland can enhance efficiency and reduce the need for personal appearances at transaction meetings. This flexibility can be particularly beneficial for sellers who are unable to manage the sale in person.
-
Is there a cost associated with using airSlate SignNow for a Special Or Limited Power Of Attorney For Real Estate Sales Transaction By Seller Maryland?
Yes, airSlate SignNow offers a variety of pricing plans that are designed to fit different business needs and budgets. With cost-effective solutions, you can create a Special Or Limited Power Of Attorney For Real Estate Sales Transaction By Seller Maryland without breaking the bank.
-
Can I integrate airSlate SignNow with other software for my real estate transactions?
Absolutely! airSlate SignNow offers seamless integrations with various software platforms that cater to real estate transactions. This allows you to use a Special Or Limited Power Of Attorney For Real Estate Sales Transaction By Seller Maryland alongside your existing tools.
-
How secure is my information when using airSlate SignNow for a Special Or Limited Power Of Attorney For Real Estate Sales Transaction By Seller Maryland?
Security is our top priority at airSlate SignNow. When you create a Special Or Limited Power Of Attorney For Real Estate Sales Transaction By Seller Maryland, your information is protected with advanced encryption technologies and is compliant with industry standards.
-
Can I access my Special Or Limited Power Of Attorney For Real Estate Sales Transaction By Seller Maryland on any device?
Yes, airSlate SignNow is designed to be accessible on multiple devices, including desktops, tablets, and smartphones. This ensures that you can view and manage your Special Or Limited Power Of Attorney For Real Estate Sales Transaction By Seller Maryland anytime and anywhere.
Get more for Special Or Limited Power Of Attorney For Real Estate Sales Transaction By Seller Maryland
Find out other Special Or Limited Power Of Attorney For Real Estate Sales Transaction By Seller Maryland
- Help Me With Electronic signature Indiana Banking PDF
- Can I Electronic signature Indiana Banking Document
- How To Electronic signature Indiana Banking Document
- How Can I Electronic signature Indiana Banking PDF
- How To Electronic signature Indiana Banking PDF
- Can I Electronic signature Indiana Banking PDF
- How Do I Electronic signature Indiana Banking Document
- How Do I Electronic signature Indiana Banking PDF
- Help Me With Electronic signature Indiana Banking PDF
- How Can I Electronic signature Indiana Banking PDF
- Can I Electronic signature Indiana Banking PDF
- Help Me With Electronic signature Indiana Banking Document
- How To Electronic signature Indiana Banking Document
- How Do I Electronic signature Indiana Banking Document
- How Can I Electronic signature Indiana Banking Document
- How To Electronic signature Indiana Banking PDF
- Help Me With Electronic signature Indiana Banking Document
- How Can I Electronic signature Indiana Banking Document
- Can I Electronic signature Indiana Banking Document
- Can I Electronic signature Indiana Banking Document