
Warranty Deed from Corporation to Two Individuals Michigan Form


What is the Warranty Deed From Corporation To Two Individuals Michigan
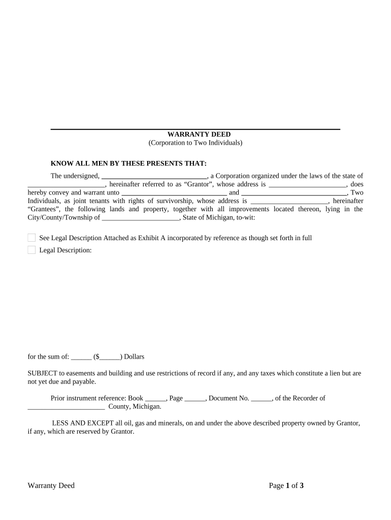
A warranty deed from a corporation to two individuals in Michigan is a legal document that transfers ownership of real property from a corporate entity to two individual parties. This type of deed guarantees that the corporation holds clear title to the property and has the authority to transfer it. The warranty deed ensures that the individuals receiving the property will not face any claims against it, providing a level of security in the transaction.
Key Elements of the Warranty Deed From Corporation To Two Individuals Michigan
Several key elements are essential for a warranty deed to be valid in Michigan:
- Grantor and Grantee Information: The full names and addresses of the corporation (grantor) and the two individuals (grantees) must be clearly stated.
- Legal Description of the Property: A precise legal description of the property being transferred is necessary, including boundaries and any relevant identifiers.
- Consideration: The deed should specify the consideration, or payment, exchanged for the property, even if it is nominal.
- Execution: The deed must be signed by an authorized representative of the corporation and notarized to be legally binding.
- Delivery and Acceptance: The deed must be delivered to the grantees, who must accept it for the transfer to be complete.
Steps to Complete the Warranty Deed From Corporation To Two Individuals Michigan
Completing a warranty deed involves several important steps:
- Gather Necessary Information: Collect the names, addresses, and legal description of the property.
- Draft the Deed: Prepare the warranty deed using the collected information, ensuring all key elements are included.
- Obtain Signatures: Have the authorized representative of the corporation sign the deed in the presence of a notary public.
- Notarization: Ensure the deed is notarized to validate the signatures.
- Record the Deed: Submit the completed and notarized deed to the appropriate county register of deeds office for recording.
Legal Use of the Warranty Deed From Corporation To Two Individuals Michigan
The legal use of a warranty deed in Michigan is to transfer property ownership while providing assurances regarding the title. This deed is commonly used in real estate transactions involving corporations, ensuring that the new owners have legal rights to the property without encumbrances. It is important to comply with Michigan laws governing property transfers to ensure the deed is enforceable.
State-Specific Rules for the Warranty Deed From Corporation To Two Individuals Michigan
Michigan has specific regulations regarding warranty deeds that must be adhered to:
- Notarization Requirement: All warranty deeds must be notarized to be valid.
- Recording: The deed must be recorded with the county register of deeds to provide public notice of the property transfer.
- Property Tax Considerations: The transfer may have implications for property taxes, and it is advisable to consult local tax authorities.
Quick guide on how to complete warranty deed from corporation to two individuals michigan
Finalize [SKS] smoothly on any device
Digital document management has become increasingly favored by companies and individuals alike. It serves as an ideal eco-friendly alternative to traditional printed and signed documents, allowing you to find the necessary form and securely keep it online. airSlate SignNow provides you with all the resources required to create, modify, and eSign your documents quickly without interruptions. Manage [SKS] on any device with airSlate SignNow's Android or iOS applications and enhance any document-focused procedure today.
The easiest method to alter and eSign [SKS] with ease
- Find [SKS] and click on Get Form to begin.
- Utilize the tools we offer to complete your form.
- Emphasize relevant parts of the documents or redact sensitive information using tools that airSlate SignNow provides specifically for this purpose.
- Generate your eSignature using the Sign feature, which takes just seconds and holds the same legal validity as a conventional wet ink signature.
- Review all the details and click on the Done button to save your modifications.
- Choose your delivery method for your form, whether by email, SMS, or invitation link, or download it to your computer.
Eliminate worries about lost or misplaced documents, tedious form searching, or mistakes that necessitate printing new copies. airSlate SignNow addresses all your document management needs with just a few clicks from your chosen device. Modify and eSign [SKS] and guarantee effective communication at any point in the form preparation process with airSlate SignNow.
Create this form in 5 minutes or less
Related searches to Warranty Deed From Corporation To Two Individuals Michigan
Create this form in 5 minutes!
People also ask
-
What is a Warranty Deed From Corporation To Two Individuals in Michigan?
A Warranty Deed From Corporation To Two Individuals in Michigan is a legal document that transfers property ownership from a corporation to two individuals. This deed guarantees that the corporation holds clear title to the property and has the authority to sell it. It's essential for ensuring that the new owners receive unencumbered rights to the property.
-
How can I create a Warranty Deed From Corporation To Two Individuals in Michigan using airSlate SignNow?
You can easily create a Warranty Deed From Corporation To Two Individuals in Michigan using airSlate SignNow by selecting our customizable document templates. Our platform allows you to input all necessary information and securely sign the document electronically. You can complete this process seamlessly, ensuring all legal requirements are met.
-
Is there a cost associated with using airSlate SignNow for a Warranty Deed From Corporation To Two Individuals in Michigan?
Yes, airSlate SignNow offers cost-effective plans for using our services, including creating a Warranty Deed From Corporation To Two Individuals in Michigan. Our pricing is competitive and designed to provide value for businesses of all sizes. You can explore different subscription options to find one that fits your needs and budget.
-
What features does airSlate SignNow offer for managing a Warranty Deed From Corporation To Two Individuals in Michigan?
airSlate SignNow provides several features for managing a Warranty Deed From Corporation To Two Individuals in Michigan, including electronic signing, document templates, and tracking capabilities. You can also collaborate with multiple parties in real-time, which streamlines the process and maintains records efficiently. Our user-friendly interface simplifies document management, making it accessible for everyone.
-
What are the benefits of using airSlate SignNow for a Warranty Deed From Corporation To Two Individuals in Michigan?
Using airSlate SignNow for a Warranty Deed From Corporation To Two Individuals in Michigan offers numerous benefits, such as increased efficiency and reduced turnaround time. You can sign documents from anywhere, which is crucial for timely transactions. Additionally, our platform enhances document security and compliance, giving you peace of mind during the transfer process.
-
Can I integrate airSlate SignNow with other tools for handling a Warranty Deed From Corporation To Two Individuals in Michigan?
Yes, airSlate SignNow can be integrated with various tools and applications to facilitate the management of your Warranty Deed From Corporation To Two Individuals in Michigan. Our platform supports API integrations and connects seamlessly with popular software like CRM systems and cloud storage services, enhancing your workflow and document management.
-
What should I include in a Warranty Deed From Corporation To Two Individuals in Michigan?
A Warranty Deed From Corporation To Two Individuals in Michigan should include critical elements like the names and addresses of both the grantor (the corporation) and the grantees (the individuals), a legal description of the property, and any encumbrances. It’s also vital to ensure that the deed is signed and signNowd to be legally binding. Consulting with a legal professional can help guarantee that all necessary details are included.
Get more for Warranty Deed From Corporation To Two Individuals Michigan
Find out other Warranty Deed From Corporation To Two Individuals Michigan
- How Do I Electronic signature South Dakota Plumbing Rental Application
- Help Me With Electronic signature Maine Real Estate NDA
- How Can I Electronic signature Maine Real Estate NDA
- Can I Electronic signature Maine Real Estate NDA
- Electronic signature South Dakota Plumbing Moving Checklist Online
- Help Me With Electronic signature South Dakota Plumbing Rental Application
- Electronic signature South Dakota Plumbing Moving Checklist Computer
- How To Electronic signature South Dakota Plumbing Moving Checklist
- How Do I Electronic signature South Dakota Plumbing Moving Checklist
- Electronic signature South Dakota Plumbing Moving Checklist Mobile
- How Can I Electronic signature South Dakota Plumbing Rental Application
- Help Me With Electronic signature South Dakota Plumbing Moving Checklist
- How Can I Electronic signature South Dakota Plumbing Moving Checklist
- Electronic signature South Dakota Plumbing Moving Checklist Now
- Can I Electronic signature South Dakota Plumbing Moving Checklist
- Electronic signature South Dakota Plumbing Moving Checklist Later
- Can I Electronic signature South Dakota Plumbing Rental Application
- Electronic signature Maine Real Estate Living Will Online
- Electronic signature Maine Real Estate Living Will Computer
- Electronic signature South Dakota Plumbing Moving Checklist Myself