
Mi Husband Wife Form


What is the Mi Husband Wife
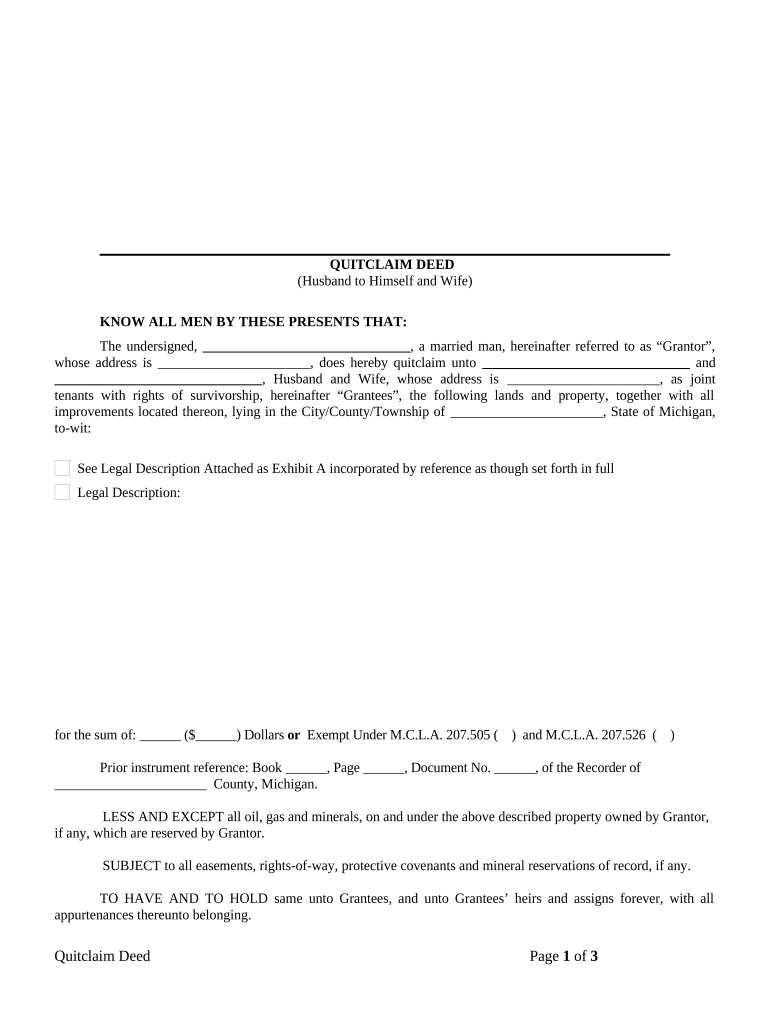
The Mi Husband Wife form is a crucial document used primarily for legal and financial purposes within the United States. It is often utilized to establish or confirm the relationship between spouses for various applications, including tax filings, insurance claims, and legal proceedings. This form serves as an official declaration, providing necessary information about both partners, which may include names, addresses, and other relevant details. Understanding its purpose is essential for ensuring compliance with legal requirements and for facilitating processes that require proof of marital status.
How to use the Mi Husband Wife
Using the Mi Husband Wife form involves several straightforward steps. First, gather all necessary information regarding both spouses, including full names, addresses, and any other required details. Next, access the form through a reliable platform that allows for digital completion and signing. Fill in the form accurately, ensuring that all information is complete to avoid delays or issues. Once completed, review the document for any errors. Finally, submit the form electronically or through the preferred submission method, ensuring you retain a copy for your records.
Steps to complete the Mi Husband Wife
Completing the Mi Husband Wife form requires careful attention to detail. Follow these steps:
- Gather necessary personal information for both spouses.
- Access the Mi Husband Wife form through a secure platform.
- Fill in the required fields accurately.
- Review the form for any mistakes or omissions.
- Sign the document electronically, if applicable.
- Submit the completed form as directed.
By following these steps, you can ensure that your form is completed correctly and efficiently.
Legal use of the Mi Husband Wife
The Mi Husband Wife form has specific legal implications, particularly in the context of marital rights and obligations. It is essential for various legal processes, such as estate planning, tax filings, and eligibility for certain benefits. The form must comply with state laws and federal regulations to be considered valid. Proper use of this form can help to protect both spouses' rights and ensure that legal matters are handled appropriately.
Key elements of the Mi Husband Wife
Several key elements make up the Mi Husband Wife form, which are crucial for its validity and effectiveness. These elements typically include:
- Full names of both spouses.
- Current addresses of both spouses.
- Date of marriage.
- Signatures of both parties, confirming the accuracy of the information provided.
- Date of completion.
Ensuring that all these elements are present and accurately filled out is vital for the form's acceptance in legal and administrative processes.
Required Documents
When preparing to complete the Mi Husband Wife form, certain documents may be required to substantiate the information provided. These may include:
- Marriage certificate.
- Identification documents for both spouses (e.g., driver's licenses or passports).
- Proof of residence, such as utility bills or lease agreements.
Having these documents ready can streamline the process and help ensure that the form is completed accurately and efficiently.
Quick guide on how to complete mi husband wife
Effortlessly prepare mi husband wife on any device
Digital document management has gained traction among businesses and individuals. It serves as an ideal eco-friendly alternative to traditional printed and signed documents, allowing you to locate the correct form and securely store it online. airSlate SignNow equips you with all the tools necessary to create, modify, and electronically sign your documents quickly and without hiccups. Manage mi husband wife on any device using airSlate SignNow’s Android or iOS applications and enhance any document-related process today.
How to modify and electronically sign mi husband wife with ease
- Obtain mi husband wife and click on Get Form to begin.
- Utilize the tools we provide to complete your document.
- Emphasize signNow sections of the documents or conceal sensitive information with tools specifically designed for that purpose by airSlate SignNow.
- Create your signature using the Sign feature, which takes mere seconds and possesses the same legal validity as a conventional wet ink signature.
- Review all the details and click on the Done button to save your modifications.
- Select your preferred method of sharing your form: via email, text message (SMS), or invitation link, or download it to your computer.
Eliminate concerns of lost or misplaced files, tedious form searching, or mistakes that necessitate printing new document copies. airSlate SignNow meets all your document management needs in just a few clicks from your selected device. Modify and electronically sign mi husband wife while ensuring excellent communication at any stage of the document preparation process with airSlate SignNow.
Create this form in 5 minutes or less
Related searches to mi husband wife
Create this form in 5 minutes!
People also ask mi husband wife
-
What features does airSlate SignNow offer for mi husband wife transactions?
airSlate SignNow provides a variety of features tailored for mi husband wife transactions, including electronic signatures, document sharing, and easy templates. These tools help streamline the process, ensuring that you can quickly and securely manage important documents without hassle.
-
How can mi husband wife couples benefit from using airSlate SignNow?
Using airSlate SignNow, mi husband wife couples can simplify document signing and sharing, making it easier to handle legal or personal agreements. This user-friendly platform allows couples to focus on their relationship without the stress of complicated paperwork.
-
Is airSlate SignNow affordable for mi husband wife partnerships?
Yes, airSlate SignNow offers competitively priced plans suitable for mi husband wife partnerships, ensuring you get excellent value for your money. With flexible pricing options, you can choose a plan that fits your needs while enjoying all the essential features.
-
Can I integrate airSlate SignNow with other applications for mi husband wife tasks?
Absolutely! airSlate SignNow seamlessly integrates with various applications, which can greatly assist mi husband wife couples in managing their documents more effectively. You can connect it with popular tools like Google Drive, Dropbox, and more to enhance your workflow.
-
How does airSlate SignNow ensure the security of mi husband wife documents?
airSlate SignNow takes document security seriously, implementing advanced encryption methods and secure storage to protect your mi husband wife documents. This commitment to security means you can sign and share documents with complete peace of mind.
-
What types of documents can mi husband wife couples sign using airSlate SignNow?
With airSlate SignNow, mi husband wife couples can sign various documents, including contracts, wills, and agreements. The platform supports multiple file formats, making it versatile for all your document signing needs.
-
How user-friendly is the airSlate SignNow interface for mi husband wife users?
The airSlate SignNow interface is designed with simplicity in mind, making it easy for mi husband wife users to navigate. The intuitive layout allows you to quickly access features, ensuring a smooth experience whether you are a tech-savvy user or a beginner.
Get more for mi husband wife
- Kbcc readmission form
- Employee spend authorization attachment as292 a form
- Employee probation evaluation form for bc staff
- Asbestos waste shipment record form washington state university ehs wsu
- Fillable online liberty attach copy liberty fax email form
- K state center for child development july 2017 june 2018 calendar form
- Online advising faculty information session sju wordpress
- Completion of all the requirements in the intersegmental general education transfer curriculum igetc will permit students to form
Find out other mi husband wife
- Sign Idaho Online Donation Form Free
- Sign Idaho Online Donation Form Secure
- Sign Illinois Online Donation Form Computer
- Sign Idaho Online Donation Form Fast
- Sign Idaho Online Donation Form Simple
- How To Sign Idaho Online Donation Form
- Sign Idaho Online Donation Form Easy
- Sign Illinois Online Donation Form Mobile
- Sign Idaho Online Donation Form Safe
- Sign Illinois Online Donation Form Now
- How Do I Sign Idaho Online Donation Form
- How To Sign Illinois Online Donation Form
- Sign Illinois Online Donation Form Later
- How Do I Sign Illinois Online Donation Form
- Help Me With Sign Illinois Online Donation Form
- Help Me With Sign Idaho Online Donation Form
- How Can I Sign Illinois Online Donation Form
- Sign Illinois Online Donation Form Myself
- Can I Sign Illinois Online Donation Form
- Sign Illinois Online Donation Form Free