
Claim Exemption Garnishment Form


What is the Claim Exemption Garnishment Form
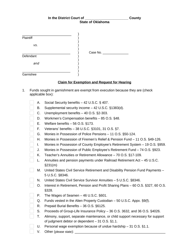
The Claim Exemption Garnishment Form is a legal document used by individuals to request an exemption from wage garnishment. This form is essential for those who believe that their income or assets should not be subject to garnishment due to specific legal protections. The form typically requires detailed information about the individual's financial situation, including income sources, expenses, and any applicable exemptions under state law.
How to use the Claim Exemption Garnishment Form
To effectively use the Claim Exemption Garnishment Form, individuals must first gather all necessary financial documentation. This may include pay stubs, bank statements, and any relevant legal documents. Once the form is completed, it should be submitted to the court or agency overseeing the garnishment. It is crucial to ensure that the form is filled out accurately and submitted within the specified timeline to avoid complications.
Key elements of the Claim Exemption Garnishment Form
The Claim Exemption Garnishment Form includes several key elements, such as:
- Personal Information: Name, address, and contact details of the individual filing the claim.
- Income Details: A comprehensive breakdown of all income sources, including wages, benefits, and any other earnings.
- Exemption Claims: Specific legal grounds for claiming an exemption, such as income thresholds or types of income that are protected.
- Signature: A declaration that the information provided is accurate, requiring the individual’s signature and date.
Steps to complete the Claim Exemption Garnishment Form
Completing the Claim Exemption Garnishment Form involves several steps:
- Gather all necessary financial documents, including proof of income and expenses.
- Carefully fill out the form, ensuring all sections are completed accurately.
- Review the form for any errors or omissions before submission.
- Submit the completed form to the appropriate court or agency, adhering to any deadlines.
Eligibility Criteria
Eligibility to file a Claim Exemption Garnishment Form typically depends on several factors, including:
- Income level: Individuals whose income falls below a certain threshold may qualify for exemptions.
- Type of income: Certain types of income, such as Social Security or disability payments, may be exempt from garnishment.
- State laws: Each state has specific laws governing exemptions, so it is essential to review local regulations.
Legal use of the Claim Exemption Garnishment Form
The Claim Exemption Garnishment Form must be used in accordance with state laws to be considered valid. Legal use involves ensuring that the form is filled out completely and accurately, providing truthful information about financial circumstances. Misrepresentation or failure to comply with legal requirements can result in penalties or denial of the exemption request.
Quick guide on how to complete ok claim hearing
Prepare ok claim hearing with ease on any device
Online document management has gained traction among organizations and individuals alike. It offers an ideal environmentally-friendly substitute for conventional printed and signed papers, allowing you to locate the suitable form and securely store it online. airSlate SignNow equips you with all the tools necessary to create, modify, and eSign your documents swiftly without any holdups. Manage claim exemption hearing on any device using the airSlate SignNow Android or iOS applications and enhance any document-centric process today.
The easiest way to modify and eSign claim exemption request seamlessly
- Obtain exemption request hearing and click on Get Form to initiate the process.
- Utilize the tools we offer to fill out your document.
- Mark important sections of the documents or obscure sensitive information with the tools that airSlate SignNow provides specifically for that purpose.
- Create your signature using the Sign tool, which takes mere seconds and holds the same legal validity as a traditional handwritten signature.
- Review the information and click on the Done button to save your modifications.
- Choose how you'd like to send your form, via email, SMS, or invitation link, or download it to your computer.
Eliminate concerns about lost or misplaced documents, tedious form searches, or errors that necessitate printing new document copies. airSlate SignNow caters to your document management needs in just a few clicks from any device you prefer. Modify and eSign oklahoma claim exemption to ensure exceptional communication at any stage of the form preparation process with airSlate SignNow.
Create this form in 5 minutes or less
Related searches to oklahoma request hearing form
Create this form in 5 minutes!
People also ask oklahoma exemption garnishment
-
What is a claim exemption hearing?
A claim exemption hearing is a legal process that allows an individual to contest a judgment with the aim of protecting specific assets from being seized. Understanding this process is crucial for anyone involved in a legal dispute over unpaid debts, and using tools like airSlate SignNow can streamline documentation required for such hearings.
-
How can airSlate SignNow assist with preparing for a claim exemption hearing?
airSlate SignNow provides businesses and individuals with a simple, efficient way to prepare and eSign the documents necessary for a claim exemption hearing. With its user-friendly interface, you can quickly draft, collaborate, and finalize the required paperwork to ensure you're ready for your hearing.
-
What features does airSlate SignNow offer for claim exemption hearing documents?
airSlate SignNow offers features such as customizable templates, electronic signatures, and robust document management tools. These features make it easy to create, edit, and securely send documents related to your claim exemption hearing, enhancing your workflow and compliance.
-
What are the pricing plans for airSlate SignNow?
airSlate SignNow offers several pricing plans to meet different needs, ranging from basic to advanced features. For those preparing for a claim exemption hearing, selecting the right plan can provide you with access to all necessary documentation tools at an affordable rate.
-
Can I integrate airSlate SignNow with other tools for a claim exemption hearing?
Yes, airSlate SignNow seamlessly integrates with various third-party applications like Google Drive, Dropbox, and CRM systems, facilitating easy access to your documents. This integration is particularly useful for managing files related to your claim exemption hearing efficiently.
-
Is there customer support available for using airSlate SignNow for legal documents?
Absolutely! airSlate SignNow provides dedicated customer support to assist users in navigating the platform, especially for legal documents related to a claim exemption hearing. You can signNow the support team via chat or email for prompt assistance.
-
What are the benefits of using airSlate SignNow for a claim exemption hearing?
The primary benefits of using airSlate SignNow for a claim exemption hearing include enhanced efficiency, secure document storage, and legally binding electronic signatures. These features ensure that your documents are prepared correctly and can expedite the hearing process.
Get more for regarding garnishment agreement
- In the special court of eminent domain form
- Supreme court of mississippi once again stays eminent form
- Mississippi eminent domain law and procedure by form
- Mayor of the city of form
- Against defendant form
- Town of form
- Form 10 k djo global yumpu
- This escrow agreement quotagreementquot is made and entered into this form
Find out other claim exemption garnishment
- Can I Sign Utah Life Sciences Quitclaim Deed
- Sign Alabama Plumbing Resignation Letter Online
- Sign Alabama Plumbing Resignation Letter Computer
- Sign Alabama Plumbing Resignation Letter Mobile
- Sign Alabama Plumbing Resignation Letter Now
- How To Sign Alabama Plumbing Resignation Letter
- Sign Alabama Plumbing Resignation Letter Later
- Sign Alabama Plumbing Resignation Letter Myself
- Sign Alabama Plumbing Resignation Letter Free
- Sign Alabama Plumbing Resignation Letter Secure
- How Do I Sign Alabama Plumbing Resignation Letter
- Sign Alabama Plumbing Resignation Letter Fast
- Sign Alabama Plumbing Resignation Letter Simple
- Sign Utah Life Sciences Rental Lease Agreement Online
- Sign Alabama Plumbing Resignation Letter Easy
- Help Me With Sign Alabama Plumbing Resignation Letter
- Sign Alabama Plumbing Resignation Letter Safe
- Sign Utah Life Sciences Rental Lease Agreement Computer
- Sign Utah Life Sciences Rental Lease Agreement Mobile
- How Can I Sign Alabama Plumbing Resignation Letter