
Agreement or Contract for Deed for Sale and Purchase of Real Estate Aka Land or Executory Contract Pennsylvania Form


What is the Agreement Or Contract For Deed For Sale And Purchase Of Real Estate Aka Land Or Executory Contract Pennsylvania
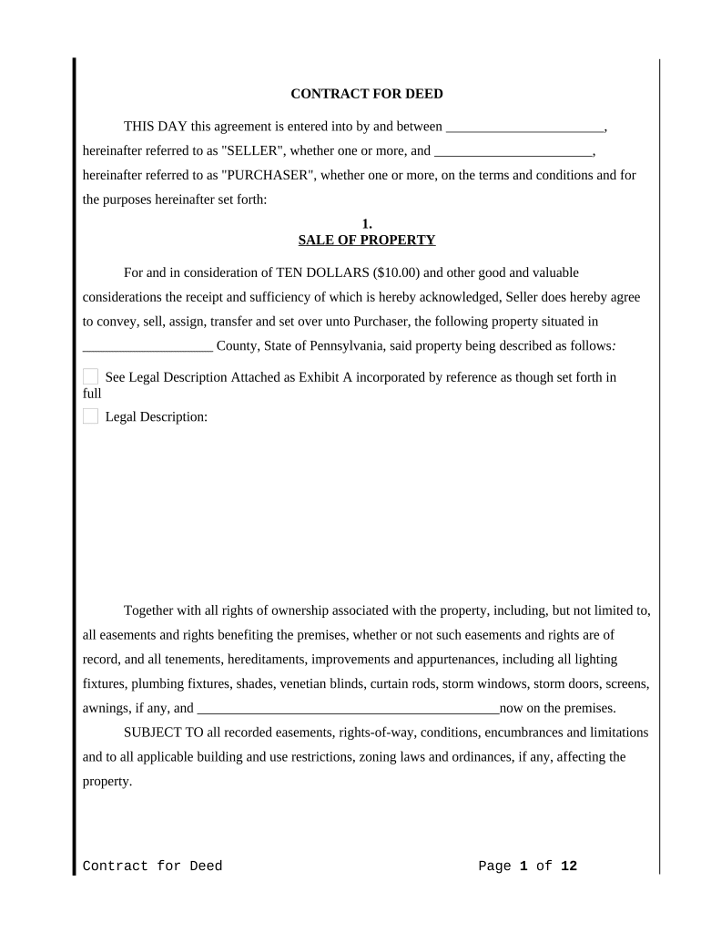
The Agreement or Contract for Deed for Sale and Purchase of Real Estate, also known as an executory contract in Pennsylvania, is a legal document that outlines the terms under which a seller agrees to sell property to a buyer. This type of contract allows the buyer to take possession of the property while making payments over time, rather than paying the full purchase price upfront. The seller retains legal title to the property until the buyer fulfills all payment obligations. This arrangement can be beneficial for buyers who may not qualify for traditional financing and for sellers looking to attract potential buyers in a competitive market.
Key Elements of the Agreement Or Contract For Deed For Sale And Purchase Of Real Estate Aka Land Or Executory Contract Pennsylvania
Several key elements must be included in the Agreement or Contract for Deed to ensure clarity and legal enforceability. These elements typically include:
- Parties Involved: Clearly identify the seller and buyer, including their legal names and contact information.
- Property Description: Provide a detailed description of the property being sold, including its address and any relevant legal descriptions.
- Purchase Price: Specify the total purchase price and outline the payment terms, including down payment, installment amounts, and payment schedule.
- Closing Date: Indicate the anticipated closing date when the buyer will take full possession of the property.
- Default Terms: Outline the consequences of default by either party, including the potential for forfeiture of payments made.
Steps to Complete the Agreement Or Contract For Deed For Sale And Purchase Of Real Estate Aka Land Or Executory Contract Pennsylvania
Completing the Agreement or Contract for Deed involves several important steps to ensure that all parties understand their rights and obligations. The following steps can guide you through the process:
- Draft the Agreement: Begin by drafting the contract, ensuring all key elements are included.
- Review the Terms: Both parties should review the terms of the agreement carefully to ensure mutual understanding.
- Negotiate Terms: If necessary, negotiate any terms that may require adjustment before finalizing the agreement.
- Sign the Document: Both parties should sign the agreement, preferably in the presence of a notary public to enhance its legal standing.
- File the Agreement: Depending on local regulations, you may need to file the agreement with the appropriate county office to ensure it is publicly recorded.
Legal Use of the Agreement Or Contract For Deed For Sale And Purchase Of Real Estate Aka Land Or Executory Contract Pennsylvania
The legal use of the Agreement or Contract for Deed in Pennsylvania is governed by state laws that dictate how such contracts must be structured and enforced. This contract serves as a legally binding agreement that protects the interests of both the buyer and seller. It is essential to comply with all applicable laws and regulations to ensure the contract is enforceable in a court of law. Additionally, both parties should be aware of their rights and obligations under the contract, including the implications of default and the process for resolving disputes.
State-Specific Rules for the Agreement Or Contract For Deed For Sale And Purchase Of Real Estate Aka Land Or Executory Contract Pennsylvania
In Pennsylvania, specific rules govern the use of the Agreement or Contract for Deed. These rules include:
- Disclosure Requirements: Sellers may be required to disclose certain information about the property, including any known defects or issues.
- Recording the Agreement: While not always mandatory, recording the contract with the county can provide legal protection for the buyer's interest in the property.
- Compliance with State Laws: Both parties must adhere to state laws regarding real estate transactions, including any licensing requirements for real estate agents involved in the sale.
How to Use the Agreement Or Contract For Deed For Sale And Purchase Of Real Estate Aka Land Or Executory Contract Pennsylvania
To effectively use the Agreement or Contract for Deed, both parties should follow a structured approach. Initially, the seller and buyer should agree on the terms of the sale, including price and payment schedule. Once the terms are established, the contract should be drafted, ensuring that all necessary elements are included. After both parties review and agree to the terms, they should sign the document, preferably with a notary present. This ensures that the agreement is legally binding and can be enforced in the event of a dispute.
Quick guide on how to complete agreement or contract for deed for sale and purchase of real estate aka land or executory contract pennsylvania
Select [SKS] effortlessly on any device
Digital document management has gained signNow traction among businesses and individuals. It offers an excellent sustainable alternative to traditional printed and signed paperwork, allowing you to obtain the necessary form and securely store it online. airSlate SignNow equips you with all the resources required to create, modify, and electronically sign your documents promptly without delays. Manage [SKS] on any device using airSlate SignNow Android or iOS applications and streamline any document-driven process today.
How to edit and eSign [SKS] with ease
- Locate [SKS] and click on Get Form to initiate the process.
- Utilize the tools we offer to complete your form.
- Emphasize important sections of the documents or redact sensitive details with the tools that airSlate SignNow provides specifically for that purpose.
- Create your eSignature using the Sign feature, which takes moments and holds the same legal significance as a conventional wet ink signature.
- Review all the details and then select the Done button to save your modifications.
- Decide how you wish to send your form, via email, text message (SMS), or invite link, or download it to your computer.
Eliminate worries about lost or misplaced files, cumbersome form searching, or errors that necessitate printing new document copies. airSlate SignNow meets all your document management needs in just a few clicks from any device you prefer. Edit and eSign [SKS] and ensure excellent communication at every phase of your form preparation with airSlate SignNow.
Create this form in 5 minutes or less
Related searches to Agreement Or Contract For Deed For Sale And Purchase Of Real Estate Aka Land Or Executory Contract Pennsylvania
Create this form in 5 minutes!
People also ask
-
What is an Agreement Or Contract For Deed For Sale And Purchase Of Real Estate Aka Land Or Executory Contract Pennsylvania?
An Agreement Or Contract For Deed For Sale And Purchase Of Real Estate Aka Land Or Executory Contract Pennsylvania is a legal document that allows a buyer to make payments on a property while the seller retains legal title until the full purchase price is paid. This arrangement can make home buying more accessible for individuals who may not qualify for traditional financing.
-
How does the airSlate SignNow platform help with real estate contracts?
The airSlate SignNow platform simplifies the process of signing and managing an Agreement Or Contract For Deed For Sale And Purchase Of Real Estate Aka Land Or Executory Contract Pennsylvania. It provides an intuitive interface for eSigning and tracking documents, ensuring that all parties can easily access and complete their real estate transactions without unnecessary delays.
-
What features does airSlate SignNow offer for real estate agreements?
airSlate SignNow offers features such as customizable templates, secure eSigning, document sharing, and real-time tracking that enhance the management of an Agreement Or Contract For Deed For Sale And Purchase Of Real Estate Aka Land Or Executory Contract Pennsylvania. These features ensure efficient communication and streamline the entire agreement process.
-
Is airSlate SignNow affordable for small businesses handling real estate contracts?
Yes, airSlate SignNow is cost-effective and designed to cater to businesses of all sizes, including small businesses dealing with an Agreement Or Contract For Deed For Sale And Purchase Of Real Estate Aka Land Or Executory Contract Pennsylvania. With competitive pricing and a variety of plans, it's a valuable tool for managing contracts economically.
-
Can I integrate airSlate SignNow with other software for real estate management?
Absolutely! airSlate SignNow supports integrations with various real estate management software and CRM platforms. This allows you to seamlessly manage your Agreement Or Contract For Deed For Sale And Purchase Of Real Estate Aka Land Or Executory Contract Pennsylvania and other business processes in one place.
-
What are the benefits of using airSlate SignNow for real estate transactions?
Using airSlate SignNow for your Agreement Or Contract For Deed For Sale And Purchase Of Real Estate Aka Land Or Executory Contract Pennsylvania maximizes efficiency and minimizes paperwork. The platform improves communication among parties, reduces the time it takes to close deals, and enhances security for sensitive documents.
-
Are there mobile options available for signing real estate contracts?
Yes, airSlate SignNow offers a mobile-friendly platform that allows users to access and sign their Agreement Or Contract For Deed For Sale And Purchase Of Real Estate Aka Land Or Executory Contract Pennsylvania from any device. This flexibility ensures that stakeholders can complete transactions on the go, meeting their availability and convenience needs.
Get more for Agreement Or Contract For Deed For Sale And Purchase Of Real Estate Aka Land Or Executory Contract Pennsylvania
- Assignment of domain names on the internet intaorg form
- We are canceling your subscription to moderne magazine because we have not received form
- Individual and form
- Hud multifamily rental project and health federal register form
- Cancellation of unfilled order form
- Agreement made this day of between form
- I have contacted an attorney in c i t y s t a t e regarding representing you in the above form
- Employment agreement of part time church employee form
Find out other Agreement Or Contract For Deed For Sale And Purchase Of Real Estate Aka Land Or Executory Contract Pennsylvania
- Help Me With Sign Massachusetts Life Sciences PPT
- Help Me With Sign Massachusetts Life Sciences PPT
- How Can I Sign Massachusetts Life Sciences PPT
- Can I Sign Massachusetts Life Sciences PPT
- How Can I Sign Massachusetts Life Sciences PPT
- How To Sign Massachusetts Life Sciences Presentation
- Can I Sign Massachusetts Life Sciences PPT
- How To Sign Massachusetts Life Sciences Presentation
- How Do I Sign Massachusetts Life Sciences Presentation
- How Do I Sign Massachusetts Life Sciences Presentation
- How Can I Sign Massachusetts Life Sciences Presentation
- Help Me With Sign Massachusetts Life Sciences Presentation
- Can I Sign Massachusetts Life Sciences Presentation
- Help Me With Sign Massachusetts Life Sciences Presentation
- How To Sign Massachusetts Life Sciences Presentation
- How Can I Sign Massachusetts Life Sciences Presentation
- How To Sign Massachusetts Life Sciences Presentation
- How Do I Sign Massachusetts Life Sciences Presentation
- Help Me With Sign Massachusetts Life Sciences Presentation
- How Can I Sign Massachusetts Life Sciences Presentation