
License Sell Form


What is the License Sell
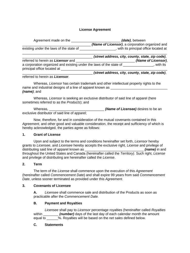
The license sell refers to a formal agreement that allows one party to sell or transfer the rights to use a specific license to another party. This type of agreement can apply to various fields, including software, intellectual property, and merchandise. It is essential for defining the terms under which the license can be used, ensuring that both parties understand their rights and obligations. The agreement typically outlines the scope of use, duration, and any financial arrangements involved in the transaction.
How to use the License Sell
To effectively use the license sell, both parties should begin by clearly defining the terms of the agreement. This includes specifying the rights being sold, the duration of the license, and any limitations on usage. Once the terms are agreed upon, the parties can proceed to draft the agreement, ensuring it is legally binding. Utilizing a digital platform for eSigning can streamline this process, allowing for secure and efficient execution. Once signed, both parties should retain copies of the agreement for their records.
Steps to complete the License Sell
Completing a license sell involves several key steps:
- Define the terms: Clearly outline what rights are being sold, the duration of the license, and any restrictions.
- Draft the agreement: Create a formal document that includes all agreed-upon terms.
- Review the agreement: Both parties should thoroughly review the document to ensure accuracy and completeness.
- Execute the agreement: Use a digital signing platform to eSign the document, making it legally binding.
- Distribute copies: Ensure both parties receive signed copies for their records.
Legal use of the License Sell
For a license sell to be legally valid, it must comply with relevant laws and regulations. This includes adhering to the terms outlined in the agreement and ensuring that both parties have the legal capacity to enter into the contract. Additionally, it is important to consider any state-specific regulations that may impact the agreement. Utilizing a trusted digital platform can help ensure compliance with eSignature laws, providing an added layer of security and legality to the transaction.
Key elements of the License Sell
Several key elements should be included in a license sell agreement to ensure clarity and enforceability:
- Parties involved: Clearly identify the seller and buyer.
- Scope of license: Define what rights are being sold and any limitations on usage.
- Duration: Specify the time frame for which the license is valid.
- Financial terms: Outline any fees or royalties associated with the license sell.
- Termination conditions: Describe how the agreement can be terminated by either party.
Examples of using the License Sell
License sells can be applied in various scenarios, such as:
- A software company selling a license to use its application to another business.
- An artist granting a license to a clothing brand to use their artwork on apparel.
- A publisher selling the rights to distribute a book in a specific region.
Quick guide on how to complete license sell buy
Effortlessly prepare license sell buy on any device
Digital document management has gained signNow traction among businesses and individuals alike. It offers a fantastic environmentally friendly substitute for traditional printed and signed papers, allowing you to locate the appropriate form and securely store it online. airSlate SignNow equips you with all the tools necessary to create, modify, and electronically sign your documents swiftly and without obstacles. Manage license sell on any device using airSlate SignNow's Android or iOS applications and simplify any document-based task today.
The simplest way to edit and electronically sign license apparel effortlessly
- Find exclusive license and then click Get Form to begin.
- Utilize the tools available to complete your form.
- Highlight important sections of the documents or redact sensitive information with tools specifically provided by airSlate SignNow for that reason.
- Generate your eSignature using the Sign feature, which only takes a few seconds and holds the same legal validity as a conventional wet ink signature.
- Verify the information and then click on the Done button to store your modifications.
- Choose your preferred method to send your form, whether by email, SMS, or invitation link, or download it to your computer.
Eliminate concerns about lost or misplaced files, tedious form searches, or mistakes that necessitate reprinting document copies. airSlate SignNow addresses your document management requirements in just a few clicks from any device you choose. Edit and electronically sign agreement granting for seamless communication throughout your form preparation process with airSlate SignNow.
Create this form in 5 minutes or less
Related searches to agreement exclusive license
Create this form in 5 minutes!
People also ask license sell
-
What is the process to license sell with airSlate SignNow?
To license sell with airSlate SignNow, navigate to our licensing section on the website, where you can choose a suitable plan. Once you select your desired package, you will be guided through a straightforward checkout process. After completing the payment, your license will be activated, enabling you to access all features of our eSigning service.
-
How does the pricing structure work for license sell?
The pricing for license sell at airSlate SignNow is designed to be flexible and competitive. We offer various plans based on the number of users and features you require. Check our pricing page to find detailed breakdowns and select the optimal plan that meets your business needs.
-
What features are included with a license sell?
With a license sell from airSlate SignNow, you gain access to signature requests, document templates, and secure cloud storage. Additionally, features like real-time tracking and team collaboration tools are also included. This comprehensive set of features ensures that you can manage documentation efficiently.
-
What are the benefits of choosing airSlate SignNow for license sell?
Choosing airSlate SignNow for license sell comes with several benefits, including enhanced workflow efficiency and improved document security. Our solution is user-friendly, allowing your team to send and eSign documents seamlessly. Moreover, investing in our platform means you’ll reduce paper usage and lead time in document processing.
-
Can I integrate airSlate SignNow with other applications when I license sell?
Yes, when you license sell with airSlate SignNow, you can integrate it with numerous third-party applications. This includes popular CRM and project management tools, allowing for a streamlined workflow. Integrations help you centralize your operations and boost productivity.
-
Is there customer support available after I license sell?
Absolutely! After you license sell with airSlate SignNow, you will have access to our dedicated customer support team. Whether you have technical questions or need assistance with features, our experts are available to help you maximize your use of the platform.
-
What security measures are in place for documents signed through license sell?
airSlate SignNow prioritizes the security of your documents when you license sell. Our platform employs advanced encryption technologies and adheres to industry standards to safeguard sensitive information. Additionally, we offer features such as audit trails and authentication options to ensure your documents remain secure.
Get more for license apparel
Find out other exclusive license
- How To Integrate Sign in Banking
- How Do I Integrate Sign in Banking
- Help Me With Integrate Sign in Banking
- How Can I Integrate Sign in Banking
- Can I Integrate Sign in Banking
- How To Use Sign in Banking
- How Do I Use Sign in Banking
- Help Me With Use Sign in Banking
- How Can I Use Sign in Banking
- Can I Use Sign in Banking
- How To Install Sign in Banking
- How Do I Install Sign in Banking
- Help Me With Install Sign in Banking
- How Can I Install Sign in Banking
- Can I Install Sign in Banking
- How To Add Sign in Banking
- How Do I Add Sign in Banking
- Help Me With Add Sign in Banking
- How Can I Add Sign in Banking
- Can I Add Sign in Banking