
Agreement between College or University and Athletic Director Form


What is the Agreement Between College Or University And Athletic Director
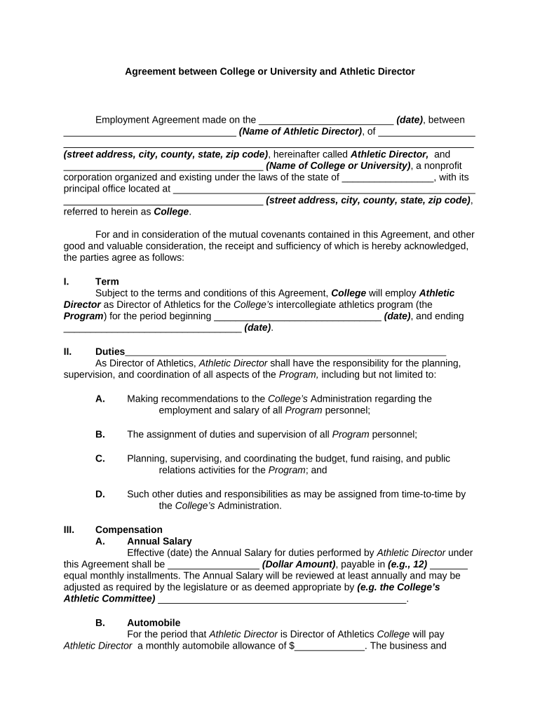
The agreement between a college or university and an athletic director is a formal document that outlines the terms of employment, responsibilities, and expectations for the athletic director's role. This agreement typically includes details such as the duration of the contract, salary, benefits, and performance expectations. It serves to establish a clear understanding between the institution and the athletic director, ensuring that both parties are aligned on goals and responsibilities.
Key Elements of the Agreement Between College Or University And Athletic Director
Several key elements are essential for a comprehensive agreement between a college or university and an athletic director. These elements often include:
- Contract Duration: Specifies the length of the agreement, including any renewal options.
- Compensation: Details the salary, bonuses, and any other financial incentives.
- Responsibilities: Outlines the specific duties and expectations of the athletic director.
- Termination Clauses: Defines the conditions under which either party may terminate the agreement.
- Confidentiality Agreements: Ensures that sensitive information remains protected.
How to Use the Agreement Between College Or University And Athletic Director
Using the agreement effectively involves several steps. First, both parties should review the document thoroughly to ensure clarity on all terms. Next, it is important to negotiate any terms that may require adjustment. Once both parties agree on the content, the document should be signed by both the athletic director and a representative of the college or university. Finally, it is advisable to keep a copy of the signed agreement for reference throughout the duration of the contract.
Steps to Complete the Agreement Between College Or University And Athletic Director
Completing the agreement involves the following steps:
- Drafting: Create a draft of the agreement, incorporating all necessary elements.
- Review: Both parties should review the draft to ensure all terms are clear and acceptable.
- Negotiation: Discuss any areas that require modification or clarification.
- Signing: Once agreed upon, both parties should sign the document.
- Distribution: Provide copies to all relevant parties for their records.
Legal Use of the Agreement Between College Or University And Athletic Director
The legal use of this agreement is crucial for ensuring that it is enforceable in a court of law. To be legally binding, the agreement must meet specific criteria, including mutual consent, consideration, and lawful purpose. Additionally, both parties should ensure compliance with relevant state and federal laws governing employment contracts and educational institutions. Utilizing a digital signing platform can enhance the legal standing of the agreement by providing a secure method for signing and storing the document.
How to Obtain the Agreement Between College Or University And Athletic Director
Obtaining the agreement typically involves contacting the human resources department or the athletic department of the college or university. They can provide a template or the specific agreement used by the institution. It may also be beneficial to consult legal counsel to ensure that the agreement aligns with both institutional policies and legal requirements. Once the agreement is obtained, it can be customized to reflect the specific terms negotiated between the parties.
Quick guide on how to complete agreement between college or university and athletic director
Accomplish [SKS] effortlessly on every device
Digital document management has gained popularity among businesses and individuals. It offers a perfect eco-friendly substitute to traditional printed and signed documents, as you can locate the necessary form and securely store it online. airSlate SignNow equips you with all the resources you need to create, edit, and eSign your documents swiftly without delays. Manage [SKS] on any device using airSlate SignNow Android or iOS applications and enhance any document-focused process today.
How to edit and eSign [SKS] without difficulty
- Obtain [SKS] and click Get Form to begin.
- Utilize the tools we provide to complete your form.
- Emphasize pertinent sections of the documents or obscure sensitive information with tools that airSlate SignNow offers specifically for that purpose.
- Generate your signature using the Sign feature, which takes seconds and carries the same legal validity as a conventional wet ink signature.
- Review all the details and click on the Done button to save your changes.
- Choose how you wish to send your form, via email, SMS, or invitation link, or download it to your computer.
Eliminate the hassle of lost or misplaced files, tiring form searches, or mistakes that necessitate printing new document copies. airSlate SignNow meets your document management needs in just a few clicks from any device of your choice. Edit and eSign [SKS] and ensure effective communication at every stage of the form preparation process with airSlate SignNow.
Create this form in 5 minutes or less
Related searches to Agreement Between College Or University And Athletic Director
Create this form in 5 minutes!
People also ask
-
What is an Agreement Between College Or University And Athletic Director?
An Agreement Between College Or University And Athletic Director is a formal contract outlining the roles, responsibilities, and expectations of the athletic director within the educational institution. It serves to clarify the relationship and define the terms under which the athletic program operates, ensuring alignment with the college or university's goals.
-
How does airSlate SignNow support the creation of these agreements?
airSlate SignNow provides a user-friendly platform that facilitates the drafting and signing of an Agreement Between College Or University And Athletic Director. With customizable templates and electronic signatures, it streamlines the process, making it easier for educational institutions to enforce compliance and save time.
-
What are the benefits of using airSlate SignNow for my institution's contracts?
Using airSlate SignNow for drafting an Agreement Between College Or University And Athletic Director offers several benefits, including enhanced security, faster turnaround times, and improved collaboration among stakeholders. The platform’s ease of use also minimizes administrative burden, allowing staff to focus on what truly matters.
-
Is airSlate SignNow cost-effective for educational institutions?
Yes, airSlate SignNow is designed to be a cost-effective solution for educational institutions. With various pricing plans available, it provides access to essential features that simplify the process of managing an Agreement Between College Or University And Athletic Director, ensuring institutions can operate within their budgets.
-
What features does airSlate SignNow offer for contract management?
AirSlate SignNow includes features like custom templates, advanced tracking, and real-time notifications, which are crucial for managing an Agreement Between College Or University And Athletic Director. These tools ensure that all parties are informed and that contracts are processed efficiently.
-
Can airSlate SignNow integrate with our existing systems?
Absolutely! airSlate SignNow offers robust integrations with various applications, allowing for easy connection with your existing systems. This capability ensures that managing an Agreement Between College Or University And Athletic Director fits seamlessly into your current workflows.
-
How secure is airSlate SignNow for sensitive agreements?
Security is a top priority for airSlate SignNow. The platform uses advanced encryption and authentication protocols to protect sensitive documents like Agreement Between College Or University And Athletic Director, ensuring that your data remains confidential and secure throughout the signing process.
Get more for Agreement Between College Or University And Athletic Director
Find out other Agreement Between College Or University And Athletic Director
- eSign Kansas Life Sciences Rental Application Free
- eSign Kansas Life Sciences Rental Application Secure
- eSign Kansas Life Sciences Rental Application Fast
- eSign Kansas Life Sciences Rental Application Simple
- eSign Iowa Life Sciences Month To Month Lease Online
- eSign Kansas Life Sciences Rental Application Easy
- eSign Kansas Life Sciences Rental Application Safe
- eSign Iowa Life Sciences Month To Month Lease Computer
- How To eSign Kansas Life Sciences Rental Application
- How Do I eSign Kansas Life Sciences Rental Application
- How To eSign Iowa Life Sciences Month To Month Lease
- How Do I eSign Iowa Life Sciences Month To Month Lease
- Help Me With eSign Kansas Life Sciences Rental Application
- Help Me With eSign Iowa Life Sciences Month To Month Lease
- eSign Iowa Life Sciences Month To Month Lease Mobile
- How Can I eSign Iowa Life Sciences Month To Month Lease
- Can I eSign Iowa Life Sciences Month To Month Lease
- How Can I eSign Kansas Life Sciences Rental Application
- eSign Iowa Life Sciences Month To Month Lease Now
- eSign Iowa Life Sciences Quitclaim Deed Online