
Agreement to Maintain and Service Medical Equipment Form


What is the Agreement To Maintain And Service Medical Equipment
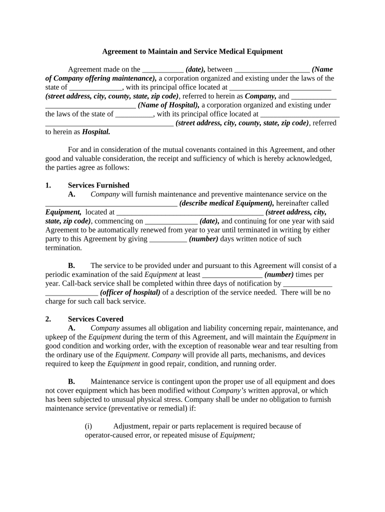
The Agreement To Maintain And Service Medical Equipment is a formal contract between a healthcare provider and a service provider. This document outlines the responsibilities of each party regarding the upkeep and servicing of medical equipment. It ensures that the equipment remains functional and compliant with health regulations, thereby safeguarding patient safety and operational efficiency.
This agreement typically includes details such as the scope of services, maintenance schedules, response times for repairs, and liability clauses. By clearly defining these aspects, the agreement helps to prevent misunderstandings and ensures that both parties are aligned on expectations.
How to use the Agreement To Maintain And Service Medical Equipment
Using the Agreement To Maintain And Service Medical Equipment involves several key steps. First, both parties should review the document to understand their obligations. Next, they should customize the agreement to reflect specific needs, such as the types of equipment covered and the frequency of maintenance services.
Once customized, both parties should sign the agreement electronically to ensure a legally binding contract. Utilizing a reliable eSignature platform can streamline this process, allowing for secure and efficient signing. After signing, both parties should retain a copy for their records to reference in case of disputes or clarifications.
Key elements of the Agreement To Maintain And Service Medical Equipment
Several key elements are essential in the Agreement To Maintain And Service Medical Equipment. These elements include:
- Scope of Services: A detailed description of the maintenance and servicing tasks to be performed.
- Duration: The time frame for which the agreement is valid, including start and end dates.
- Payment Terms: Information on fees, payment schedules, and any additional costs for emergency services.
- Liability and Indemnification: Clauses that outline the responsibilities of each party in case of equipment failure or accidents.
- Termination Clause: Conditions under which either party may terminate the agreement.
Including these elements helps ensure clarity and protects the interests of both parties involved.
Steps to complete the Agreement To Maintain And Service Medical Equipment
Completing the Agreement To Maintain And Service Medical Equipment involves a systematic approach. Follow these steps:
- Review the standard agreement template to understand its structure and content.
- Customize the agreement by adding specific details relevant to the equipment and services.
- Discuss the terms with the service provider to ensure mutual understanding and agreement.
- Sign the document electronically using a secure eSignature platform.
- Distribute copies to all parties involved for their records.
By following these steps, both parties can ensure that the agreement is thorough and legally binding.
Legal use of the Agreement To Maintain And Service Medical Equipment
The legal use of the Agreement To Maintain And Service Medical Equipment is governed by various laws and regulations that ensure electronic signatures and documents are valid. In the United States, the ESIGN Act and UETA provide the framework for the legal acceptance of electronic agreements.
To ensure legal compliance, both parties should use a reputable eSignature solution that adheres to these regulations. This includes providing a digital certificate for signatures and maintaining an audit trail that records the signing process. Such measures enhance the legal standing of the agreement and protect against potential disputes.
Examples of using the Agreement To Maintain And Service Medical Equipment
Examples of using the Agreement To Maintain And Service Medical Equipment can vary across different healthcare settings. In a hospital, the agreement may cover a range of medical devices, including imaging machines and surgical instruments. The service provider would be responsible for regular maintenance and timely repairs to ensure these devices are always operational.
In a smaller clinic, the agreement might focus on specific equipment, such as diagnostic tools or patient monitoring systems. This tailored approach allows for flexibility in service levels and costs, ensuring that the clinic can manage its budget while maintaining high standards of patient care.
Quick guide on how to complete agreement to maintain and service medical equipment
Effortlessly Prepare [SKS] on Any Device
Managing documents online has become increasingly popular among businesses and individuals. It offers an ideal environmentally-friendly alternative to traditional printed and signed papers, allowing you to locate the correct form and securely store it online. airSlate SignNow equips you with all the necessary tools to create, alter, and eSign your documents swiftly without delays. Handle [SKS] on any device with the airSlate SignNow Android or iOS applications and facilitate any document-related task today.
How to Alter and eSign [SKS] with Ease
- Locate [SKS] and click on Get Form to begin.
- Utilize the tools available to complete your document.
- Mark signNow paragraphs of the documents or redact sensitive information with tools that airSlate SignNow offers specifically for that purpose.
- Create your signature using the Sign feature, which only takes seconds and holds the same legal standing as a conventional wet ink signature.
- Review all the information and click on the Done button to save your changes.
- Select how you wish to send your form—via email, SMS, or an invite link, or download it to your computer.
Eliminate concerns about lost or misplaced files, tedious form searches, or errors that require reprinting new document copies. airSlate SignNow fulfills your document management needs within a few clicks from any device you choose. Modify and eSign [SKS] to ensure outstanding communication at every stage of the form preparation process with airSlate SignNow.
Create this form in 5 minutes or less
Related searches to Agreement To Maintain And Service Medical Equipment
Create this form in 5 minutes!
People also ask
-
What is an Agreement To Maintain And Service Medical Equipment?
An Agreement To Maintain And Service Medical Equipment is a formal document outlining the terms and responsibilities for the upkeep and servicing of medical devices. This agreement ensures that the equipment remains compliant with industry standards and performs optimally. It's essential for healthcare providers to have a clear understanding of maintenance schedules and services included.
-
How does airSlate SignNow facilitate the signing of an Agreement To Maintain And Service Medical Equipment?
airSlate SignNow streamlines the eSigning process for an Agreement To Maintain And Service Medical Equipment by allowing users to send documents for signature electronically. The platform provides a user-friendly interface, enabling all parties to review and sign agreements quickly. This reduces paperwork and speeds up the execution of maintenance agreements.
-
What are the benefits of using airSlate SignNow for my medical equipment service agreements?
Using airSlate SignNow for your medical equipment service agreements enhances efficiency and organization. It enables secure cloud storage of all signed agreements, easy access for audits, and real-time tracking of document status. Additionally, it minimizes errors associated with manual signing and speeds up the entire process.
-
Can I integrate airSlate SignNow with other tools for my Agreement To Maintain And Service Medical Equipment?
Yes, airSlate SignNow offers integrations with various applications and tools to facilitate a smoother workflow. Whether it's a CRM or project management software, integrating these platforms helps manage your Agreement To Maintain And Service Medical Equipment efficiently. This connectivity enhances productivity and keeps all relevant data centralized.
-
Is there a fee associated with using airSlate SignNow for agreements regarding medical equipment service?
Yes, airSlate SignNow operates on a subscription-based model, charging a fee depending on the plan selected. The pricing structure provides a cost-effective solution for managing documents like the Agreement To Maintain And Service Medical Equipment. Evaluate the features offered across plans to determine what suits your needs best.
-
How secure is the information in my Agreement To Maintain And Service Medical Equipment using airSlate SignNow?
airSlate SignNow implements state-of-the-art security protocols to ensure your documents, including the Agreement To Maintain And Service Medical Equipment, are protected. With features like encryption, secure access, and audit trails, your sensitive information remains safeguarded. Trust that your agreements are handled with the utmost security and confidentiality.
-
Can I customize my Agreement To Maintain And Service Medical Equipment template on airSlate SignNow?
Absolutely! airSlate SignNow allows you to create and customize templates for your Agreement To Maintain And Service Medical Equipment. You can add specific clauses, provisions, and fields tailored to your business needs, ensuring that every agreement meets your precise requirements without starting from scratch each time.
Get more for Agreement To Maintain And Service Medical Equipment
Find out other Agreement To Maintain And Service Medical Equipment
- Electronic signature Wisconsin Banking Last Will And Testament Later
- Electronic signature Virginia Car Dealer Forbearance Agreement Safe
- How To Electronic signature Wisconsin Banking Last Will And Testament
- Electronic signature Wisconsin Banking Last Will And Testament Myself
- Electronic signature Wisconsin Banking Last Will And Testament Free
- Electronic signature Wisconsin Banking Last Will And Testament Secure
- Electronic signature Wisconsin Banking Last Will And Testament Fast
- How Do I Electronic signature Wisconsin Banking Last Will And Testament
- Electronic signature Wisconsin Banking Last Will And Testament Simple
- Electronic signature Wisconsin Banking Last Will And Testament Easy
- Electronic signature Wisconsin Banking Last Will And Testament Safe
- Help Me With Electronic signature Wisconsin Banking Last Will And Testament
- Electronic signature West Virginia Banking Work Order Online
- How To Electronic signature West Virginia Banking Work Order
- Electronic signature West Virginia Banking Work Order Computer
- How Can I Electronic signature Wisconsin Banking Last Will And Testament
- How Do I Electronic signature West Virginia Banking Work Order
- Help Me With Electronic signature West Virginia Banking Work Order
- How Can I Electronic signature West Virginia Banking Work Order
- Electronic signature West Virginia Banking Work Order Mobile