
Contract with Independent Form


What is the contract with independent
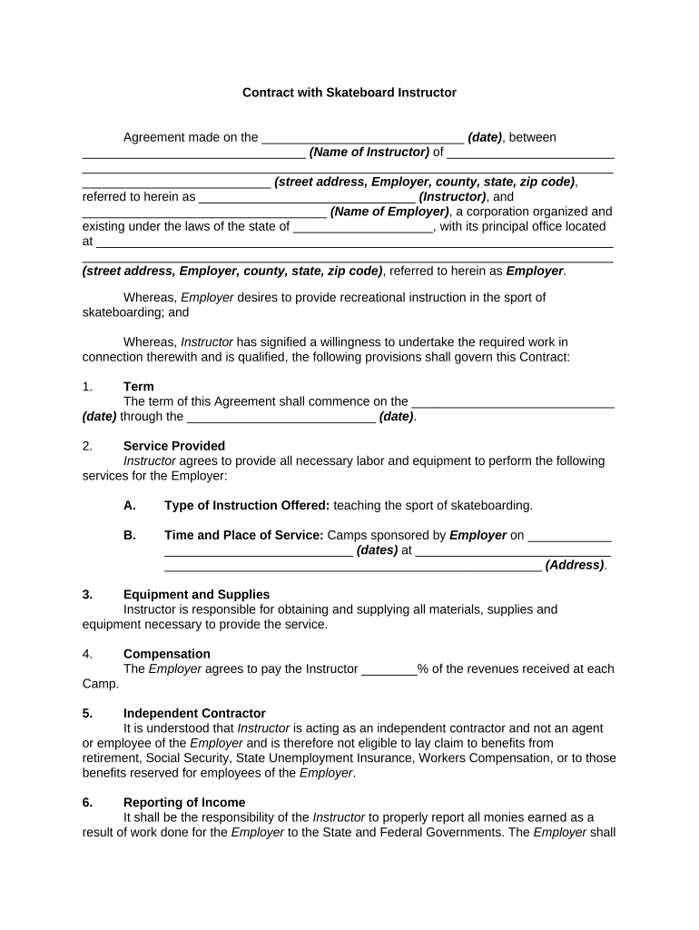
The contract with independent is a formal agreement between a business and an independent contractor. This document outlines the terms of the working relationship, including the scope of work, payment details, and duration of the contract. It is essential for clarifying expectations and responsibilities for both parties involved. By establishing clear terms, the contract helps prevent misunderstandings and legal disputes.
How to use the contract with independent
To effectively use the contract with independent, begin by identifying the specific services the contractor will provide. Include detailed descriptions of tasks, deadlines, and payment structures. It is also important to specify any confidentiality agreements or non-compete clauses that may apply. Once the contract is drafted, both parties should review it thoroughly before signing to ensure mutual understanding and agreement.
Key elements of the contract with independent
Several key elements must be included in the contract with independent to ensure its effectiveness:
- Scope of Work: Clearly define the services to be performed.
- Payment Terms: Specify the payment amount, schedule, and method.
- Duration: Indicate the start and end dates of the contract.
- Termination Clause: Outline conditions under which either party can terminate the agreement.
- Confidentiality: Include any confidentiality obligations to protect sensitive information.
Steps to complete the contract with independent
Completing the contract with independent involves several steps:
- Draft the contract, including all necessary elements.
- Review the document with the independent contractor to ensure clarity.
- Make any necessary revisions based on feedback.
- Both parties should sign the contract, either physically or electronically.
- Keep a copy of the signed contract for future reference.
Legal use of the contract with independent
The legal use of the contract with independent hinges on compliance with applicable laws and regulations. It is essential to ensure that the contract adheres to federal and state labor laws, including tax obligations and worker classification. Properly executed contracts can provide legal protection in case of disputes, making it crucial to follow legal guidelines when drafting and signing the agreement.
State-specific rules for the contract with independent
State-specific rules can significantly impact the contract with independent. Each state may have different regulations regarding independent contractors, including tax implications and labor laws. It is important to research the specific requirements in the state where the contractor will operate. This ensures compliance and helps avoid potential legal issues related to misclassification or failure to meet state regulations.
Quick guide on how to complete contract with independent
Prepare contract with independent effortlessly on any device
Digital document management has gained traction among businesses and individuals. It serves as an ideal environmentally friendly alternative to conventional printed and signed paperwork, as you can easily access the right form and securely store it online. airSlate SignNow equips you with all the necessary tools to create, modify, and eSign your documents promptly without any delays. Manage contract with independent on any platform with the airSlate SignNow applications for Android or iOS and streamline any document-related task today.
How to alter and eSign contract with independent with ease
- Find contract with independent and click Get Form to begin.
- Utilize the tools we offer to complete your form.
- Emphasize important sections of your documents or redact sensitive information using the tools provided by airSlate SignNow specifically for this purpose.
- Generate your eSignature with the Sign tool, which takes mere seconds and holds the same legal validity as a conventional wet ink signature.
- Review the details and click the Done button to finalize your changes.
- Choose your preferred method to share your form, whether by email, SMS, invitation link, or download it to your computer.
Eliminate concerns over lost or misplaced files, tedious form searching, or errors that necessitate printing new document copies. airSlate SignNow addresses all your document management needs in just a few clicks from your preferred device. Modify and eSign contract with independent and ensure outstanding communication at every step of your form preparation process with airSlate SignNow.
Create this form in 5 minutes or less
Related searches to contract with independent
Create this form in 5 minutes!
People also ask contract with independent
-
What is a contract with independent contractors and how can airSlate SignNow help?
A contract with independent contractors is a formal agreement outlining the terms of a freelance relationship. airSlate SignNow streamlines this process by allowing businesses to easily create, send, and eSign these contracts online, ensuring a smooth and legal agreement.
-
How does airSlate SignNow ensure the security of my contract with independent contractors?
Security is a top priority at airSlate SignNow. Our platform uses advanced encryption protocols and secure servers to ensure that your contract with independent contractors remains confidential and accessible only to authorized users.
-
What features does airSlate SignNow offer for managing contracts with independent contractors?
airSlate SignNow offers comprehensive features including customizable templates, automated reminders, and real-time tracking of your contract with independent contractors. These tools help simplify your workflow and ensure that agreements are executed efficiently.
-
Can I integrate airSlate SignNow with other software to manage my contract with independent contractors?
Yes, airSlate SignNow offers seamless integrations with various applications such as CRMs, project management tools, and cloud storage services. This allows you to manage your contract with independent contractors more effectively within your existing ecosystem.
-
What are the pricing options for using airSlate SignNow for contracts with independent contractors?
airSlate SignNow offers flexible pricing plans that cater to different business needs, making it cost-effective for managing contracts with independent contractors. You can choose from monthly or annual subscriptions, with various features included at each level.
-
Is it easy to create a contract with independent contractors using airSlate SignNow?
Absolutely! airSlate SignNow provides user-friendly templates and a simple drag-and-drop interface, making it easy to create a professional contract with independent contractors in just minutes. You don't need any legal expertise to get started.
-
How can I track the status of my contract with independent contractors using airSlate SignNow?
With airSlate SignNow, you can easily track the status of your contract with independent contractors through real-time notifications and updates. You'll receive alerts when the document is viewed, signed, or completed, ensuring you're always in the loop.
Get more for contract with independent
Find out other contract with independent
- eSign Michigan Banking Letter Of Intent Online
- eSign Michigan Banking Job Offer Secure
- eSign Michigan Banking Letter Of Intent Computer
- eSign Michigan Banking Letter Of Intent Mobile
- Can I eSign Michigan Banking Job Offer
- eSign Michigan Banking Job Offer Fast
- eSign Michigan Banking Letter Of Intent Now
- eSign Michigan Banking Letter Of Intent Later
- eSign Michigan Banking Letter Of Intent Myself
- eSign Michigan Banking Job Offer Simple
- eSign Michigan Banking Letter Of Intent Free
- eSign Michigan Banking Letter Of Intent Secure
- eSign Michigan Banking Letter Of Intent Fast
- eSign Michigan Banking Letter Of Intent Simple
- eSign Michigan Banking Job Offer Easy
- eSign Michigan Banking Letter Of Intent Easy
- eSign Michigan Banking Job Offer Safe
- eSign Michigan Banking Letter Of Intent Safe
- How To eSign Michigan Banking Letter Of Intent
- Sign Indiana Courts Permission Slip Online