
Articles Association Form


What is the Articles Association
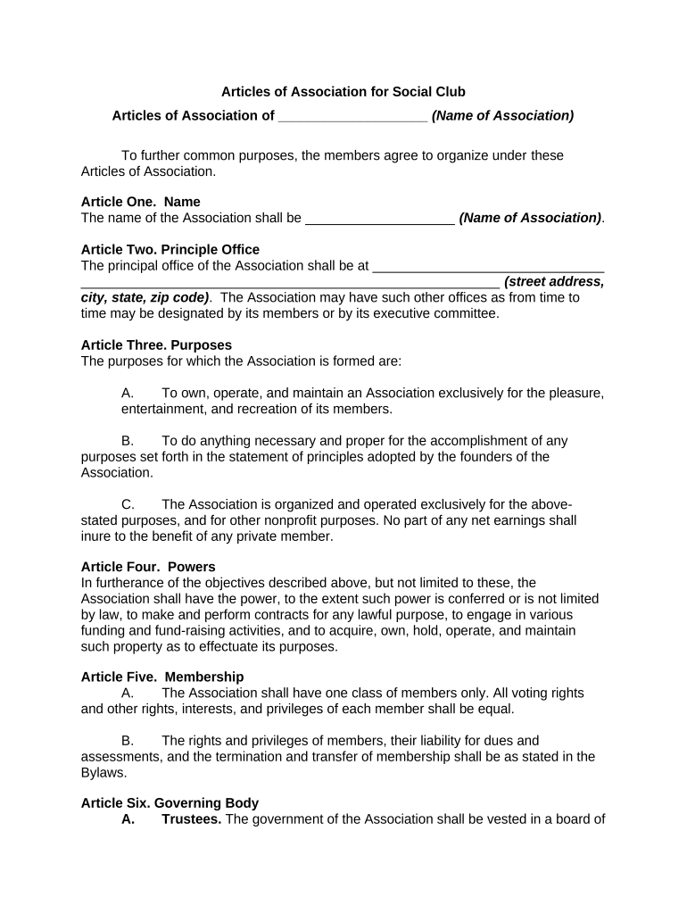
The articles association is a crucial document for organizations, particularly non-profits, that outlines the governance structure and operational guidelines of the entity. This document serves as a foundational charter, detailing the organization’s purpose, membership rules, and the responsibilities of its members and directors. By establishing these parameters, the articles association ensures clarity and compliance with applicable laws, fostering trust among stakeholders.
Key Elements of the Articles Association
When creating an articles association, several key elements should be included to ensure its effectiveness:
- Name of the Organization: Clearly state the legal name of the organization.
- Purpose: Define the primary objectives and mission of the organization.
- Membership Details: Outline the criteria for membership and the rights and responsibilities of members.
- Board Structure: Describe the composition of the board, including the number of directors and their roles.
- Meeting Procedures: Specify how meetings will be conducted, including notice requirements and quorum.
- Amendment Process: Detail the process for making changes to the articles association.
Steps to Complete the Articles Association
Completing the articles association involves several steps to ensure compliance and effectiveness:
- Drafting: Begin by drafting the document, incorporating all necessary elements.
- Review: Have the draft reviewed by legal counsel to ensure compliance with state laws.
- Approval: Present the draft to the founding members for approval.
- Filing: Submit the finalized articles association to the appropriate state agency.
- Record Keeping: Maintain a copy of the filed document for the organization’s records.
Legal Use of the Articles Association
The articles association must comply with state laws to be considered legally binding. This includes adhering to regulations set forth by the Secretary of State or equivalent authority in the state of incorporation. It is essential to ensure that the document accurately reflects the organization’s structure and purpose as required by law. Failure to comply can result in penalties or the inability to operate legally.
How to Obtain the Articles Association
To obtain the articles association, organizations typically need to draft the document based on their specific needs and the legal requirements of their state. Templates may be available online, but it is advisable to customize them to reflect the unique aspects of the organization. After drafting, the articles must be filed with the appropriate state agency, often accompanied by a filing fee.
Examples of Using the Articles Association
The articles association can be utilized in various contexts, including:
- Establishing a non-profit organization focused on community service.
- Forming a private membership association for individuals with shared interests.
- Creating a club or society that requires a formal structure for governance.
Each of these examples demonstrates how the articles association provides a framework for operation, ensuring clarity and legal compliance.
Quick guide on how to complete articles association template
Effortlessly Prepare articles association template on Any Device
Digital document management has gained traction among businesses and individuals alike. It serves as an excellent environmentally-friendly alternative to conventional printed and signed documents, allowing you to obtain the necessary form and securely store it online. airSlate SignNow equips you with all the tools needed to swiftly create, modify, and electronically sign your documents without any holdups. Manage articles association on any device using the airSlate SignNow applications for Android or iOS and simplify any document-centric task today.
The easiest way to edit and electronically sign articles of association template non profit organisation namibia hassle-free
- Locate articles association pdf and click on Get Form to begin.
- Make use of the tools we offer to fill out your document.
- Emphasize important sections of the documents or obscure sensitive information with tools specifically provided by airSlate SignNow for that purpose.
- Generate your signature using the Sign tool, which takes seconds and holds the same legal authority as a traditional wet signature.
- Review all details and click on the Done button to preserve your changes.
- Choose how you prefer to share your form—via email, text message (SMS), invitation link, or download it to your computer.
Eliminate concerns about lost or misplaced files, tedious form searching, or mistakes that necessitate printing new document versions. airSlate SignNow meets all your document management needs with just a few clicks from any device you prefer. Modify and electronically sign articles association sample and ensure excellent communication throughout your form preparation journey with airSlate SignNow.
Create this form in 5 minutes or less
Related searches to articles association draft
Create this form in 5 minutes!
People also ask articles of association pdf
-
What is airSlate SignNow and how does it relate to articles association?
airSlate SignNow is an intuitive eSignature solution that allows businesses to send and sign documents securely. The platform simplifies the process of managing articles association by providing an efficient way to handle agreements and contracts electronically, ensuring compliance and security.
-
What pricing plans does airSlate SignNow offer for managing articles association?
airSlate SignNow offers various pricing plans to suit different business needs, from small teams to large enterprises. Each plan is designed to cater to the specific requirements of managing articles association, ensuring you have the features you need at a price that fits your budget.
-
What are the main features of airSlate SignNow that support articles association?
Key features of airSlate SignNow include document templates, customizable workflows, and advanced security protocols. These features enable businesses to streamline the electronic signing process of articles association, making it faster and more reliable.
-
How can airSlate SignNow benefit my articles association management?
By using airSlate SignNow, businesses can enhance their articles association management through improved efficiency, reduced turnaround times, and increased document security. The platform ensures that all signed documents are easily accessible and auditable, which is critical for compliance purposes.
-
Can airSlate SignNow integrate with other tools for articles association?
Yes, airSlate SignNow seamlessly integrates with a variety of third-party applications, enhancing your ability to manage articles association. Whether you use CRM systems, cloud storage solutions, or project management tools, these integrations can help create a more cohesive workflow.
-
Is it easy to use airSlate SignNow for articles association?
Absolutely! airSlate SignNow is designed to be user-friendly, even for those who may not be tech-savvy. The interface is straightforward, allowing users to easily create and send documents related to articles association without extensive training.
-
What security measures does airSlate SignNow have for articles association?
airSlate SignNow employs industry-standard security protocols, including encryption, two-factor authentication, and secure access controls. These measures ensure that all documents related to articles association are protected against unauthorized access and data bsignNowes.
Get more for articles association create
- Form 2210 underpayment of estimated tax by individuals estates and trusts
- South carolina partnership return sc1065 taxformfinder
- Attach to sc1040 sc department of revenue form
- Dorscgov forms site forms2022 2024 state of south carolina department of revenue
- 1350 state of south carolina department of revenue application for form
- 1350 state of south carolina sc w 4 department of revenue south form
- I got a letter saying i need to go to dorscgovverifycode intuit form
- For tax year sc department of revenue scgov form
Find out other articles association make
- How Can I eSign Missouri Real Estate Document
- How Do I eSign Missouri Real Estate Document
- Help Me With eSign Missouri Real Estate Document
- Can I eSign Missouri Real Estate Document
- How Can I eSign Missouri Real Estate Document
- Can I eSign Missouri Real Estate Document
- Can I eSign Missouri Real Estate Document
- How To eSign Missouri Real Estate Document
- Help Me With eSign Missouri Real Estate Document
- How Do I eSign Missouri Real Estate Document
- How To eSign Missouri Real Estate Document
- How Can I eSign Missouri Real Estate Document
- Can I eSign Missouri Real Estate Document
- How Do I eSign Missouri Real Estate Document
- How To eSign Missouri Real Estate Document
- How To eSign Missouri Real Estate Document
- Help Me With eSign Missouri Real Estate Document
- How Do I eSign Missouri Real Estate Document
- Help Me With eSign Missouri Real Estate Document
- How Can I eSign Missouri Real Estate Document