
Operating Agreement for Member Managed Limited Liability Company Long Form


What is the Operating Agreement For Member Managed Limited Liability Company Long Form
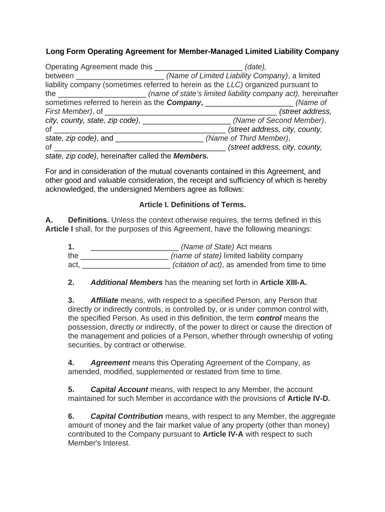
The operating agreement for a member managed limited liability company (LLC) long form is a crucial legal document that outlines the management structure and operational procedures of the LLC. This agreement specifies the rights and responsibilities of each member, detailing how the company will be run and how decisions will be made. It serves as a foundational framework that helps prevent disputes among members by clearly defining each member's role and the processes for handling various business matters.
Key Elements of the Operating Agreement For Member Managed Limited Liability Company Long Form
Several key elements are essential to include in the operating agreement for a member managed LLC. These elements typically encompass:
- Member Information: Names and contact details of all members.
- Management Structure: Description of how the company will be managed, including decision-making processes.
- Capital Contributions: Details on what each member contributes to the LLC, whether in cash, property, or services.
- Profit and Loss Distribution: Guidelines on how profits and losses will be allocated among members.
- Voting Rights: Specifications on how voting will occur and what constitutes a quorum.
- Amendments: Procedures for making changes to the agreement.
Steps to Complete the Operating Agreement For Member Managed Limited Liability Company Long Form
Completing the operating agreement for a member managed LLC involves several key steps:
- Gather Member Information: Collect names, addresses, and contact information for all members.
- Define Management Structure: Decide how the LLC will be managed and outline the decision-making processes.
- Detail Capital Contributions: Specify what each member will contribute to the LLC.
- Outline Profit Distribution: Establish how profits and losses will be shared among members.
- Review and Revise: Go through the agreement to ensure all necessary elements are included and clear.
- Sign the Agreement: All members should sign the document to make it legally binding.
Legal Use of the Operating Agreement For Member Managed Limited Liability Company Long Form
The operating agreement for a member managed LLC is legally binding once it is signed by all members. This document not only helps in establishing the internal rules of the company but also serves as a reference in legal disputes. It is important to ensure that the agreement complies with state laws, as each state may have specific requirements regarding LLC operating agreements.
How to Obtain the Operating Agreement For Member Managed Limited Liability Company Long Form
Obtaining the operating agreement for a member managed LLC can be accomplished through various means. Many legal websites offer templates that can be customized to fit the specific needs of your LLC. Additionally, consulting with a legal professional can provide valuable insights and ensure that the agreement meets all legal requirements. It is advisable to review state-specific regulations to ensure compliance.
Quick guide on how to complete operating agreement for member managed limited liability company long form
Complete [SKS] seamlessly on any device
Digital document management has gained popularity among businesses and individuals. It offers an excellent eco-friendly substitute for conventional printed and signed documents, allowing you to locate the right form and securely save it online. airSlate SignNow equips you with all the necessary tools to design, alter, and eSign your documents quickly and without delays. Manage [SKS] on any device using the airSlate SignNow Android or iOS applications and simplify any document-centric process today.
The easiest way to modify and eSign [SKS] effortlessly
- Obtain [SKS] and then click Get Form to begin.
- Take advantage of the tools we offer to fill out your form.
- Emphasize pertinent sections of your documents or redact sensitive information with tools that airSlate SignNow provides specifically for this purpose.
- Create your signature using the Sign tool, which takes seconds and holds the same legal validity as a conventional wet ink signature.
- Review all the details and then click on the Done button to save your changes.
- Select your preferred method to send your form, whether by email, SMS, or invite link, or download it to your computer.
Put aside concerns about lost or misplaced files, tedious form searching, or mistakes that necessitate printing new document copies. airSlate SignNow fulfills all your document management needs in just a few clicks from any device you prefer. Modify and eSign [SKS] while ensuring outstanding communication at every stage of your form preparation process with airSlate SignNow.
Create this form in 5 minutes or less
Related searches to Operating Agreement For Member Managed Limited Liability Company Long Form
Create this form in 5 minutes!
People also ask
-
What is an Operating Agreement For Member Managed Limited Liability Company Long Form?
An Operating Agreement For Member Managed Limited Liability Company Long Form is a comprehensive document that outlines the management structure and operational procedures of a member-managed LLC. It defines the rights and responsibilities of each member and ensures that all aspects of the business are legally documented. This agreement is crucial for preventing disputes among members and facilitating smooth operations.
-
Why is an Operating Agreement important for a member-managed LLC?
Having an Operating Agreement For Member Managed Limited Liability Company Long Form is essential as it provides clear guidelines for managing the company and outlines the financial and operational expectations. It protects the members' limited liability status and helps in establishing credibility with banks and investors. Furthermore, it can help mitigate potential conflicts by setting out rules for decision-making and profit distribution.
-
How does airSlate SignNow help in creating the Operating Agreement?
airSlate SignNow simplifies the process of creating an Operating Agreement For Member Managed Limited Liability Company Long Form by providing easy-to-use templates and document editing tools. Users can customize the document to fit their specific needs and ensure all necessary information is included. This efficiency saves time and reduces the complexities associated with legal documentation.
-
What features does airSlate SignNow offer for document management?
airSlate SignNow offers features such as electronic signatures, document templates, and secure cloud storage, making it easy to manage an Operating Agreement For Member Managed Limited Liability Company Long Form. The platform also enables real-time collaboration, allowing multiple members to review and edit the document simultaneously. With tracking and notifications, users never miss crucial updates.
-
Is there a cost associated with using airSlate SignNow for creating an Operating Agreement?
Yes, airSlate SignNow offers various pricing plans to cater to different business needs when creating an Operating Agreement For Member Managed Limited Liability Company Long Form. The plans are designed to be cost-effective, providing access to all essential features without breaking the bank. A free trial may also be available for new users to explore the platform before committing.
-
Can I modify the Operating Agreement once it is created?
Absolutely! With airSlate SignNow, you can easily modify your Operating Agreement For Member Managed Limited Liability Company Long Form anytime as your business evolves. The platform gives you the flexibility to make changes to reflect updates in business operations, membership, or management structures. This adaptability is crucial for maintaining an accurate and functional agreement.
-
What integrations does airSlate SignNow offer?
airSlate SignNow integrates seamlessly with popular business tools such as Google Drive, Dropbox, and CRM systems, facilitating a smooth workflow when creating and managing your Operating Agreement For Member Managed Limited Liability Company Long Form. These integrations enhance productivity by allowing users to access documents and collaborate without switching platforms. This interconnectedness streamlines your business operations.
Get more for Operating Agreement For Member Managed Limited Liability Company Long Form
Find out other Operating Agreement For Member Managed Limited Liability Company Long Form
- eSignature Mississippi Sales Receipt Template Safe
- How To eSignature Mississippi Sales Receipt Template
- Electronic signature Georgia Memorandum of Understanding Mobile
- Electronic signature Georgia Memorandum of Understanding Now
- How To Electronic signature Georgia Memorandum of Understanding
- How Do I Electronic signature Georgia Memorandum of Understanding
- How Do I eSignature Mississippi Sales Receipt Template
- Help Me With Electronic signature Georgia Memorandum of Understanding
- How Can I Electronic signature Georgia Memorandum of Understanding
- Electronic signature Georgia Memorandum of Understanding Later
- Can I Electronic signature Georgia Memorandum of Understanding
- Help Me With eSignature Mississippi Sales Receipt Template
- How Can I eSignature Mississippi Sales Receipt Template
- Electronic signature Georgia Memorandum of Understanding Myself
- Electronic signature Rhode Island General Partnership Agreement Online
- Can I eSignature Mississippi Sales Receipt Template
- Electronic signature Rhode Island General Partnership Agreement Mobile
- Electronic signature Rhode Island General Partnership Agreement Computer
- Electronic signature Georgia Memorandum of Understanding Free
- Electronic signature Rhode Island General Partnership Agreement Now