
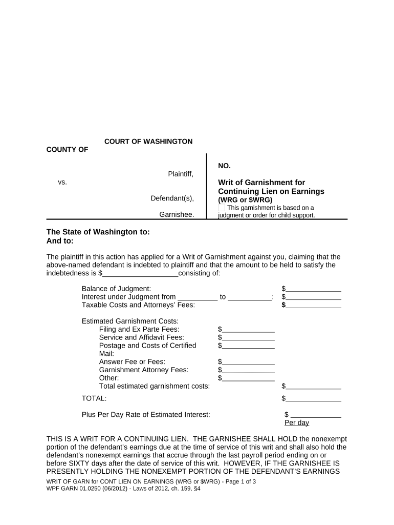
Writ Lien Form


What is the writ lien?
A writ lien is a legal document that establishes a claim against a debtor's property. It is typically issued by a court to secure a creditor's interest in the property until the debt is resolved. This form is essential in the context of debt collection, as it allows creditors to enforce their rights and potentially recover owed amounts through the sale of the debtor's assets. The writ lien serves as a public notice of the creditor's claim, which can impact the debtor's ability to sell or refinance the property.
How to use the writ lien
To use a writ lien effectively, a creditor must first obtain a judgment against the debtor. Once the judgment is secured, the creditor can file the writ lien with the appropriate court or agency. This process typically involves completing the writ lien form, providing necessary details such as the debtor's information, the amount owed, and the property subject to the lien. After filing, the creditor must ensure that the lien is properly recorded to make it enforceable against third parties.
Steps to complete the writ lien
Completing a writ lien involves several key steps:
- Obtain a judgment against the debtor through court proceedings.
- Gather required information, including debtor details and the amount owed.
- Fill out the writ lien form accurately, ensuring all information is correct.
- File the completed form with the appropriate court or agency.
- Pay any associated filing fees as required by the jurisdiction.
- Record the lien with the relevant property records office to enforce your claim.
Legal use of the writ lien
The legal use of a writ lien is governed by state laws, which dictate how liens can be filed and enforced. It is crucial for creditors to comply with these regulations to ensure the validity of the lien. Failure to adhere to legal requirements may result in the lien being deemed unenforceable. Additionally, creditors should understand the priority of their lien in relation to other claims against the property, as this can affect their ability to recover the owed amounts.
Key elements of the writ lien
Several key elements must be included in a writ lien to ensure its effectiveness:
- Debtor Information: Full name and address of the debtor.
- Creditor Information: Full name and contact details of the creditor.
- Amount Owed: The total amount of the debt being claimed.
- Property Description: A detailed description of the property subject to the lien.
- Judgment Details: Information about the court judgment that supports the lien.
State-specific rules for the writ lien
Each state has its own rules and procedures regarding writ liens, including filing requirements, deadlines, and enforcement mechanisms. Creditors must familiarize themselves with their state’s regulations to ensure compliance. This may involve consulting state statutes or seeking legal advice. Understanding these state-specific rules is crucial for effectively utilizing a writ lien and protecting the creditor's interests.
Quick guide on how to complete writ lien
Effortlessly Prepare writ lien on Any Device
Managing documents online has become increasingly favored by both companies and individuals. It offers an ideal eco-friendly substitute for traditional printed and signed documents, allowing you to locate the appropriate form and securely preserve it online. airSlate SignNow equips you with all the tools necessary to create, edit, and electronically sign your documents rapidly without delays. Handle writ lien across any platform using airSlate SignNow's Android or iOS applications and enhance any document-related procedure today.
The simplest way to edit and electronically sign writ lien with ease
- Locate writ lien and then click Get Form to begin.
- Make use of the tools we provide to complete your document.
- Identify important sections of your documents or obscure sensitive data with tools that airSlate SignNow offers specifically for that purpose.
- Generate your signature using the Sign tool, which takes mere seconds and holds the same legal validity as a conventional wet ink signature.
- Verify the information and then click on the Done button to secure your adjustments.
- Select your preferred method of delivering your form, whether by email, SMS, invitation link, or download it to your computer.
Eliminate concerns about lost or misplaced documents, tedious form searching, or errors that necessitate printing new document copies. airSlate SignNow caters to your needs in document management with just a few clicks from a device of your choosing. Edit and electronically sign writ lien to ensure effective communication at any stage of your form preparation process with airSlate SignNow.
Create this form in 5 minutes or less
Related searches to writ lien
Create this form in 5 minutes!
People also ask writ lien
-
What is a writ lien and how does airSlate SignNow facilitate it?
A writ lien is a legal claim against a property to secure payment of a debt. airSlate SignNow simplifies the process of creating and managing writ liens by enabling businesses to send and eSign essential documents efficiently. With our user-friendly platform, you can generate legally binding agreements with ease, ensuring that the writ lien process is streamlined.
-
How much does airSlate SignNow cost for managing writ liens?
airSlate SignNow offers flexible pricing plans to accommodate different business needs, making it cost-effective to manage writ liens. You can choose from various subscription tiers, ensuring you have access to essential features without overspending. Check our website for detailed pricing information tailored to your requirements.
-
What features should I look for in a solution for writ liens?
When managing writ liens, look for features like document templates, eSignature capabilities, and secure storage. airSlate SignNow provides all these features to help you create and finalize documents quickly. Our platform also ensures compliance with legal standards, which is crucial for writ liens.
-
Can airSlate SignNow integrate with other applications for handling writ liens?
Yes, airSlate SignNow integrates seamlessly with various applications, boosting your ability to handle writ liens efficiently. Whether you use CRM systems, project management tools, or cloud storage services, our integrations ensure that your workflow remains intact. This allows you to manage documents and signatures all in one place.
-
How does eSigning help in the writ lien process?
eSigning enhances the writ lien process by providing a fast and secure method for obtaining signatures. With airSlate SignNow, you can send documents for eSignature and receive them back quickly, reducing delays in securing a writ lien. This feature speeds up the overall documentation process while maintaining legal integrity.
-
Are there any security measures in place for my writ lien documents?
Absolutely, airSlate SignNow takes security seriously, especially when dealing with sensitive documents like writ liens. We use advanced encryption methods and secure cloud storage to protect your data from unauthorized access. Trust our platform to keep your writ lien documents safe and compliant with privacy regulations.
-
How can airSlate SignNow benefit my business when dealing with writ liens?
airSlate SignNow benefits your business by streamlining the writ lien process, saving you time and resources. By automating document management and eSigning, you can focus on other essential aspects of your business while ensuring compliance and efficiency in securing writ liens. Our solution ultimately enhances productivity and reduces operational costs.
Get more for writ lien
Find out other writ lien
- How To Integrate Sign in Banking
- How Do I Integrate Sign in Banking
- Help Me With Integrate Sign in Banking
- How Can I Integrate Sign in Banking
- Can I Integrate Sign in Banking
- How To Use Sign in Banking
- How Do I Use Sign in Banking
- Help Me With Use Sign in Banking
- How Can I Use Sign in Banking
- Can I Use Sign in Banking
- How To Install Sign in Banking
- How Do I Install Sign in Banking
- Help Me With Install Sign in Banking
- How Can I Install Sign in Banking
- Can I Install Sign in Banking
- How To Add Sign in Banking
- How Do I Add Sign in Banking
- Help Me With Add Sign in Banking
- How Can I Add Sign in Banking
- Can I Add Sign in Banking