
Wa Writ Form


What is the Wa Writ?
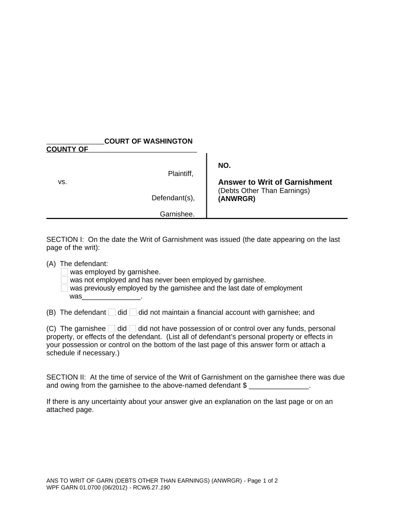
The Wa Writ, or Washington writ, is a legal document used in the state of Washington to initiate garnishment proceedings against a debtor's earnings. This writ allows a creditor to collect money owed by garnishing the debtor's wages or bank accounts. Understanding the Wa Writ is essential for both creditors seeking to recover debts and debtors who need to know their rights and responsibilities. The document outlines the specifics of the garnishment process, including the amount to be garnished and the duration of the garnishment.
How to Use the Wa Writ
Using the Wa Writ involves several steps that ensure compliance with legal requirements. First, a creditor must obtain a judgment against the debtor. Once the judgment is secured, the creditor can complete the Wa Writ form, specifying the amount to be garnished. This form must then be served to the debtor's employer or financial institution, which is responsible for withholding the specified amount from the debtor's earnings or accounts. Proper service of the writ is crucial for it to be enforceable.
Key Elements of the Wa Writ
Several key elements must be included in the Wa Writ to ensure its validity. These elements typically include:
- The name and address of the creditor.
- The name and address of the debtor.
- The amount owed as per the court judgment.
- The specific instructions for the employer or bank regarding the garnishment.
- Signature of the creditor or their attorney.
Each of these elements plays a vital role in the enforcement of the writ and must be accurately completed to avoid delays or legal issues.
Steps to Complete the Wa Writ
Completing the Wa Writ involves a series of methodical steps:
- Secure a court judgment against the debtor.
- Obtain the Wa Writ form from the appropriate court or legal resource.
- Fill out the form with accurate information, including creditor and debtor details.
- Specify the amount to be garnished and provide clear instructions for the employer or bank.
- File the completed writ with the court and pay any required fees.
- Serve the writ to the debtor's employer or financial institution.
Following these steps carefully helps ensure that the garnishment process proceeds smoothly and legally.
Legal Use of the Wa Writ
The legal use of the Wa Writ is governed by state laws, which outline the rights of creditors and debtors. Creditors must adhere to specific regulations regarding how much can be garnished from a debtor's earnings, typically capped at a certain percentage of disposable income. Debtors also have rights, including the ability to contest the garnishment if they believe it is unjust or exceeds legal limits. Familiarity with these laws is essential for both parties to navigate the garnishment process effectively.
Form Submission Methods
The Wa Writ can be submitted through various methods, depending on the preferences of the creditor and the requirements of the court. Common submission methods include:
- Online submission through the court's electronic filing system.
- Mailing the completed form to the appropriate court.
- Delivering the form in person to the court clerk's office.
Each method has its own set of guidelines and timelines, so it is important to choose the one that best fits the situation.
Quick guide on how to complete washington garnishment earnings
Complete washington garnishment earnings effortlessly on any device
Digital document management has gained traction among businesses and individuals. It acts as a perfect environmentally friendly substitute for traditional printed and signed paperwork, as you can easily locate the suitable form and securely store it online. airSlate SignNow provides you with all the necessary tools to create, modify, and eSign your documents quickly without delays. Manage answer writ on any device with airSlate SignNow's Android or iOS applications and simplify any document-related process today.
How to modify and eSign answer writ garnishment with ease
- Obtain washington writ garnishment and click on Get Form to begin.
- Use the tools we offer to complete your form.
- Highlight pertinent sections of your documents or obscure sensitive information with tools specifically designed by airSlate SignNow for that purpose.
- Create your signature with the Sign tool, which takes mere seconds and holds the same legal validity as a conventional wet ink signature.
- Review all the details and click on the Done button to save your modifications.
- Choose how you wish to send your form, whether by email, SMS, or invitation link, or download it to your computer.
Put an end to lost or misplaced files, tedious form searches, or errors that require printing new document copies. airSlate SignNow caters to your document management needs in just a few clicks from a device of your choice. Alter and eSign wa writ and ensure effective communication at every stage of the form preparation process with airSlate SignNow.
Create this form in 5 minutes or less
Related searches to answer writ
Create this form in 5 minutes!
People also ask wa writ
-
What is a garn answer garnishment and how does it work?
A garn answer garnishment is a legal process whereby a creditor can collect money directly from a debtor's wages or bank account. This ensures that the creditor receives payments for debts without requiring the debtor's consent. Using airSlate SignNow, you can streamline the document signing process for any garnishment notices or responses, making it efficient and hassle-free.
-
How can airSlate SignNow assist with garn answer garnishment documentation?
airSlate SignNow simplifies the management of garn answer garnishment documents by providing a platform where you can easily create, send, and eSign legal documents. This reduces paperwork and helps you respond to garnishment orders promptly, ensuring compliance with legal requirements. With templates and customizable workflows, managing garnishments becomes straightforward.
-
Does airSlate SignNow offer features specific to handling garnishments?
Yes, airSlate SignNow provides features specifically designed for managing garnishment documentation efficiently. You can track the status of your documents, set up automated reminders, and utilize templates tailored for garn answer garnishment scenarios. These features enhance the management and response processes associated with garnishments.
-
What are the benefits of using airSlate SignNow for garn answer garnishment?
Using airSlate SignNow for garn answer garnishment offers numerous benefits, including time savings, improved efficiency, and enhanced compliance. Our platform enables quick eSignatures, ensuring that you can respond to garnishment orders without delay. Additionally, our secure document management system protects sensitive information related to garnishments.
-
Is airSlate SignNow cost-effective for small businesses dealing with garnishments?
Absolutely! airSlate SignNow provides a cost-effective solution for small businesses managing garn answer garnishment documents. Our pricing plans are designed to accommodate various business sizes, ensuring you can access essential features without breaking the bank. Streamlining your garnishment processes can lead to signNow savings in time and resources.
-
What integrations does airSlate SignNow support for garnishments?
airSlate SignNow supports various integrations with popular platforms to enhance your experience while handling garn answer garnishment documentation. You can integrate it with your CRM, accounting software, and other tools for seamless workflow automation and document management. These integrations facilitate smoother operations and better document organization.
-
How secure is airSlate SignNow when handling sensitive garnishment documents?
Security is a top priority for airSlate SignNow, especially when dealing with sensitive garn answer garnishment documents. We employ advanced encryption and security protocols to protect your data throughout the signing and management process. You can trust that your information remains confidential and secure on our platform.
Get more for washington garnishment earnings
Find out other writ garnishment earnings
- How To eSign Ohio Non-Profit Form
- How Do I eSign Ohio Non-Profit Form
- Help Me With eSign Ohio Non-Profit Form
- How Do I eSign Ohio Non-Profit Form
- How Can I eSign Ohio Non-Profit Form
- Can I eSign Ohio Non-Profit Form
- Help Me With eSign Ohio Non-Profit Form
- How To eSign Ohio Non-Profit Form
- How To eSign Ohio Non-Profit Form
- How Do I eSign Ohio Non-Profit Form
- How Can I eSign Ohio Non-Profit Form
- How Do I eSign Ohio Non-Profit Form
- Help Me With eSign Ohio Non-Profit Form
- How Can I eSign Ohio Non-Profit Form
- Help Me With eSign Ohio Non-Profit Form
- Can I eSign Ohio Non-Profit Form
- Can I eSign Ohio Non-Profit Form
- How Can I eSign Ohio Non-Profit Form
- How To eSign Ohio Non-Profit Form
- How Do I eSign Ohio Non-Profit Form