
Seal Records Juvenile Form


What is the Seal Records Juvenile
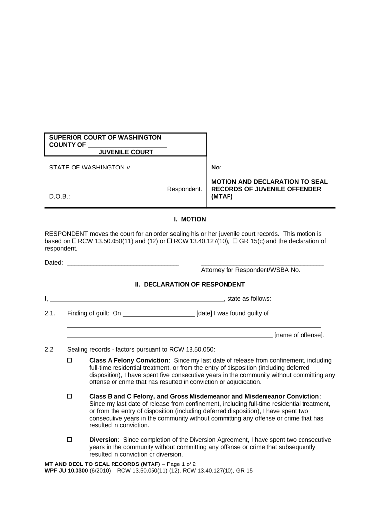
The seal records juvenile refers to the legal process that allows for the sealing of juvenile criminal records in Washington State. This process ensures that certain records related to juvenile offenses are not publicly accessible, providing a fresh start for individuals who have made mistakes during their youth. Sealing these records can significantly impact a person's future, allowing them to pursue education, employment, and housing opportunities without the stigma of a criminal past. The Washington juvenile justice system recognizes the importance of rehabilitation and provides mechanisms to support reintegration into society.
How to Obtain the Seal Records Juvenile
To obtain the seal records juvenile, individuals must first determine their eligibility based on the nature of their offense and the time elapsed since their last adjudication. The process typically involves filing a petition with the court that handled the original case. This petition must include specific information, such as the case number, the nature of the offense, and proof of rehabilitation. It is essential to gather all necessary documentation and ensure that all legal requirements are met to avoid delays in processing.
Steps to Complete the Seal Records Juvenile
Completing the seal records juvenile involves several key steps:
- Determine eligibility: Review the eligibility criteria for sealing juvenile records based on the type of offense and time since the last adjudication.
- Gather required documents: Collect all necessary paperwork, including the original case documents and proof of rehabilitation.
- File the petition: Submit the completed petition to the appropriate court, ensuring all required information is included.
- Attend the hearing: If a hearing is scheduled, be prepared to present your case and demonstrate why sealing the records is warranted.
- Receive the court's decision: Await the court's ruling on the petition, which will determine whether the records will be sealed.
Legal Use of the Seal Records Juvenile
The legal use of the seal records juvenile is primarily focused on protecting the privacy of individuals who have undergone the sealing process. Once records are sealed, they are not accessible to the public, which means that employers, educational institutions, and landlords typically cannot view them. However, certain governmental agencies may still access these records under specific circumstances. Understanding the legal implications of sealed records is crucial for individuals seeking to benefit from this process.
Key Elements of the Seal Records Juvenile
Several key elements define the seal records juvenile process:
- Eligibility criteria: Specific guidelines determine who can apply for sealing their records, often based on the nature of the offense and the time elapsed since the last adjudication.
- Documentation: Individuals must provide comprehensive documentation to support their petition, demonstrating rehabilitation and compliance with legal requirements.
- Judicial review: The court evaluates the petition and any supporting evidence before making a determination on whether to seal the records.
- Impact on access: Once sealed, the records are inaccessible to most entities, significantly aiding in the reintegration process for individuals.
State-Specific Rules for the Seal Records Juvenile
Each state has its own rules and regulations regarding the sealing of juvenile records. In Washington, the process is governed by specific statutes that outline eligibility, procedures, and the rights of individuals seeking to seal their records. It is essential for applicants to familiarize themselves with these state-specific rules to ensure compliance and increase the likelihood of a successful outcome. Consulting with a legal professional can provide valuable guidance throughout this process.
Quick guide on how to complete seal records juvenile
Complete seal records juvenile seamlessly on any device
Digital document management has gained traction among companies and individuals alike. It serves as an ideal environmentally friendly alternative to traditional printed and signed documents, allowing you to obtain the correct format and securely store it online. airSlate SignNow equips you with all the necessary tools to create, modify, and electronically sign your documents quickly and without any disruptions. Handle washington records juvenile on any device using the airSlate SignNow Android or iOS applications and streamline any document-related task today.
How to alter and eSign motion offender wa with ease
- Obtain wa records juvenile and click Get Form to begin.
- Utilize the features we provide to fill out your form.
- Emphasize pertinent sections of your documents or conceal sensitive details with tools that airSlate SignNow offers specifically for this purpose.
- Generate your signature using the Sign tool, which takes mere seconds and carries the same legal validity as a conventional wet ink signature.
- Review all the details and click on the Done button to finalize your changes.
- Choose how you want to submit your form, whether by email, SMS, or invitation link, or download it to your computer.
Eliminate concerns over lost or misplaced files, tedious form searching, or mistakes that require printing out new document copies. airSlate SignNow meets all your document management needs in just a few clicks from any device you prefer. Modify and eSign washington seal juvenile and ensure effective communication at every stage of the form preparation process with airSlate SignNow.
Create this form in 5 minutes or less
Related searches to juvenile offender washington
Create this form in 5 minutes!
People also ask washington records juvenile
-
What is the significance of addressing juvenile offender issues in Washington?
Addressing juvenile offender issues in Washington is crucial to ensure that young individuals receive the appropriate guidance and rehabilitation. A well-structured approach helps reduce recidivism and fosters a positive reintegration into society, ultimately benefiting communities.
-
How can airSlate SignNow assist organizations working with juvenile offenders in Washington?
airSlate SignNow provides organizations with an efficient way to manage and sign essential documents related to juvenile offenders in Washington. Its user-friendly platform streamlines document workflows, ensuring timely compliance and better organization within the juvenile justice system.
-
What features does airSlate SignNow offer for managing juvenile offender documentation?
airSlate SignNow offers features like templates, document tracking, and secure eSigning, which are essential for managing juvenile offender documentation in Washington. These tools enhance efficiency and accuracy, allowing organizations to focus more on rehabilitation rather than paperwork.
-
Is airSlate SignNow cost-effective for organizations working with juvenile offenders in Washington?
Yes, airSlate SignNow is a cost-effective solution for organizations dealing with juvenile offenders in Washington. With competitive pricing plans, organizations can maximize their budget while ensuring they have the necessary tools to manage documents efficiently.
-
What benefits does electronic signing offer for juvenile offender cases in Washington?
Electronic signing through airSlate SignNow allows for quick and secure approval processes for juvenile offender cases in Washington. This not only speeds up the administrative tasks but also ensures compliance with state regulations, facilitating better service delivery.
-
Can airSlate SignNow be integrated with other systems used for juvenile justice in Washington?
Yes, airSlate SignNow can be easily integrated with various systems that organizations use for juvenile justice in Washington. This integration helps create a seamless workflow, ensuring that all necessary data related to juvenile offenders is synchronized and accessible.
-
How does airSlate SignNow ensure the security of documents related to juvenile offenders in Washington?
airSlate SignNow places a strong emphasis on document security, employing encryption and secure access protocols to protect sensitive information regarding juvenile offenders in Washington. Organizations can trust that their documents and data remain safe throughout the signing process.
Get more for motion offender wa
- Waiver appeal form pdf university health services
- Grade weekly reading summary log form
- Progress notes form date documentation of empathia
- Party planner pdf form
- Arkansas writ of possession form
- Comparing functions practice and problem solving a b answer key form
- Nuttycomb form
- Energy star thermal bypass checklist form
Find out other wa records juvenile
- How To Integrate Sign in Banking
- How Do I Integrate Sign in Banking
- Help Me With Integrate Sign in Banking
- How Can I Integrate Sign in Banking
- Can I Integrate Sign in Banking
- How To Use Sign in Banking
- How Do I Use Sign in Banking
- Help Me With Use Sign in Banking
- How Can I Use Sign in Banking
- Can I Use Sign in Banking
- How To Install Sign in Banking
- How Do I Install Sign in Banking
- Help Me With Install Sign in Banking
- How Can I Install Sign in Banking
- Can I Install Sign in Banking
- How To Add Sign in Banking
- How Do I Add Sign in Banking
- Help Me With Add Sign in Banking
- How Can I Add Sign in Banking
- Can I Add Sign in Banking