Quitclaim Deed from Individual to Two Individuals in Joint Tenancy Wisconsin Form
What is the Quitclaim Deed From Individual To Two Individuals In Joint Tenancy Wisconsin
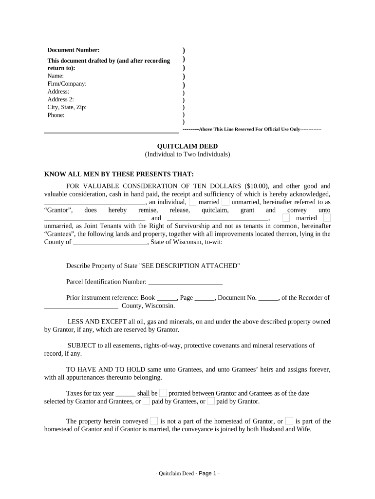
A quitclaim deed from individual to two individuals in joint tenancy in Wisconsin is a legal document that allows one person to transfer their ownership interest in a property to two other individuals. This type of deed is particularly useful for establishing joint tenancy, which means that both individuals will have equal ownership rights and survivorship rights. In the event of one owner's death, the surviving owner automatically inherits the deceased owner's share without the need for probate. This deed does not guarantee that the property is free from liens or other encumbrances, making it essential for the transferring party to disclose any such issues.
Steps to Complete the Quitclaim Deed From Individual To Two Individuals In Joint Tenancy Wisconsin
Completing a quitclaim deed in Wisconsin involves several key steps:
- Gather necessary information, including the legal description of the property, the names of the grantor and grantees, and the date of the transfer.
- Obtain the quitclaim deed form, which can typically be found online or at a local government office.
- Fill out the form accurately, ensuring all details are correct, including the joint tenancy clause.
- Sign the document in the presence of a notary public to ensure its legal validity.
- File the completed deed with the appropriate county register of deeds office to make the transfer official.
Key Elements of the Quitclaim Deed From Individual To Two Individuals In Joint Tenancy Wisconsin
When preparing a quitclaim deed, several key elements must be included to ensure its effectiveness:
- Grantor and Grantees: Clearly identify the individual transferring the property and the two individuals receiving it.
- Property Description: Include a detailed legal description of the property being transferred, which can be found in previous deed documents.
- Joint Tenancy Clause: Explicitly state that the property is being transferred in joint tenancy, which includes the right of survivorship.
- Signatures: Ensure all parties involved sign the document in front of a notary public.
- Notary Acknowledgment: A notary must complete an acknowledgment section to validate the deed.
Legal Use of the Quitclaim Deed From Individual To Two Individuals In Joint Tenancy Wisconsin
The quitclaim deed is legally recognized in Wisconsin for transferring property ownership. It is often used in situations such as family transfers, divorce settlements, or when adding a spouse to a property title. While it is a straightforward method for transferring property, it is important to understand that it does not provide any warranties regarding the title. Therefore, it is advisable for grantees to conduct a title search to ensure there are no existing liens or claims against the property.
State-Specific Rules for the Quitclaim Deed From Individual To Two Individuals In Joint Tenancy Wisconsin
Wisconsin has specific regulations governing the use of quitclaim deeds. These include:
- All quitclaim deeds must be in writing and signed by the grantor.
- The deed must be notarized to be legally binding.
- It must be recorded with the county register of deeds to provide public notice of the ownership transfer.
- Wisconsin law requires the inclusion of a property description that meets state standards.
How to Obtain the Quitclaim Deed From Individual To Two Individuals In Joint Tenancy Wisconsin
Obtaining a quitclaim deed in Wisconsin can be done through various methods:
- Access the form online from state or county websites, which often provide downloadable templates.
- Visit a local government office, such as the county clerk or register of deeds, to obtain a physical copy.
- Consult with a legal professional who can provide guidance and ensure the form is filled out correctly.
Quick guide on how to complete quitclaim deed from individual to two individuals in joint tenancy wisconsin
Complete Quitclaim Deed From Individual To Two Individuals In Joint Tenancy Wisconsin effortlessly on any device
Managing documents online has become increasingly popular among businesses and individuals. It offers an ideal eco-friendly substitute for conventional printed and signed forms, as you can easily locate the necessary document and securely store it online. airSlate SignNow provides you with all the tools required to create, modify, and eSign your documents quickly and without delays. Handle Quitclaim Deed From Individual To Two Individuals In Joint Tenancy Wisconsin on any device using airSlate SignNow's Android or iOS applications and enhance any document-centric process today.
The simplest way to alter and eSign Quitclaim Deed From Individual To Two Individuals In Joint Tenancy Wisconsin with ease
- Locate Quitclaim Deed From Individual To Two Individuals In Joint Tenancy Wisconsin and click on Get Form to begin.
- Utilize the tools available to complete your form.
- Highlight important sections of the documents or redact sensitive information with tools specifically provided by airSlate SignNow for that purpose.
- Create your eSignature using the Sign tool, which takes seconds and carries the same legal significance as a traditional wet ink signature.
- Review all information and click on the Done button to save your changes.
- Select your preferred method to send your form, whether it’s by email, SMS, or an invitation link, or download it to your computer.
Eliminate concerns about lost or misplaced documents, tedious form searches, or errors that necessitate printing new document copies. airSlate SignNow addresses your document management needs in just a few clicks from any device of your choice. Modify and eSign Quitclaim Deed From Individual To Two Individuals In Joint Tenancy Wisconsin and ensure excellent communication during any stage of the form preparation process with airSlate SignNow.
Create this form in 5 minutes or less
Create this form in 5 minutes!
People also ask
-
What is a Quitclaim Deed From Individual To Two Individuals In Joint Tenancy in Wisconsin?
A Quitclaim Deed From Individual To Two Individuals In Joint Tenancy in Wisconsin is a legal document used to transfer ownership of property. This type of deed allows one person to relinquish their interest in a property to two individuals, establishing joint tenancy. It ensures that both individuals have equal rights to the property and defines how it will be handled in the event of one owner's death.
-
How can airSlate SignNow assist with creating a Quitclaim Deed From Individual To Two Individuals In Joint Tenancy in Wisconsin?
airSlate SignNow provides a streamlined platform for creating a Quitclaim Deed From Individual To Two Individuals In Joint Tenancy in Wisconsin. Our user-friendly templates and electronic signing capabilities make it easy to generate documents quickly and securely. You can customize the deed to fit your specific needs and ensure that it complies with state requirements.
-
What are the costs associated with using airSlate SignNow for a Quitclaim Deed From Individual To Two Individuals In Joint Tenancy in Wisconsin?
Using airSlate SignNow for a Quitclaim Deed From Individual To Two Individuals In Joint Tenancy in Wisconsin is cost-effective, with tiered pricing plans to suit different budgets. You can choose a plan that allows for a certain number of documents per month, including eSigning and document templates. This flexibility helps individual users and businesses manage costs effectively.
-
Is it legally recognized to use an online platform for a Quitclaim Deed From Individual To Two Individuals In Joint Tenancy in Wisconsin?
Yes, using an online platform like airSlate SignNow for a Quitclaim Deed From Individual To Two Individuals In Joint Tenancy in Wisconsin is legally recognized. As long as the document is properly executed and signed, it meets the legal requirements in Wisconsin. We provide guidance on ensuring your deed complies with state laws.
-
What features does airSlate SignNow offer for handling Quitclaim Deeds?
airSlate SignNow offers several features that facilitate the management of Quitclaim Deeds, including customizable templates, secure electronic signatures, and cloud storage. You can track the signing process in real-time, ensuring all parties are notified and aligned. These features streamline the transaction and provide a clear audit trail.
-
Can I integrate airSlate SignNow with other tools for processing Quitclaim Deeds?
Absolutely! airSlate SignNow integrates seamlessly with various applications and tools, allowing you to create workflows that include processing Quitclaim Deeds From Individual To Two Individuals In Joint Tenancy in Wisconsin. This flexibility enhances productivity by connecting with CRM systems, cloud storage providers, and other essential business applications.
-
What benefits can I expect from using airSlate SignNow for my Quitclaim Deed?
Using airSlate SignNow for your Quitclaim Deed From Individual To Two Individuals In Joint Tenancy in Wisconsin provides numerous benefits, including increased efficiency and time savings. The electronic signing process eliminates the need for printing, scanning, and mailing, making transactions faster. Furthermore, our platform enhances security and ensures that your documents are safely stored and accessible when you need them.
Get more for Quitclaim Deed From Individual To Two Individuals In Joint Tenancy Wisconsin
- Seller of such notice of revocation form
- Thereafter the sum of form
- Iwe authorize any government agency be it federal state or county to furnish information to
- The scene immediately before at the time of andor immediately after the occurrence form
- 5 were you the owner andor driver of the vehicle involved in the form
- Operating agreement xyz llc company a nevada limited form
- Bcd business law test 3 flashcardsquizlet form
- The trustee is form
Find out other Quitclaim Deed From Individual To Two Individuals In Joint Tenancy Wisconsin
- Sign Mississippi Charity Affidavit Of Heirship Now
- Can I Sign Nevada Charity Bill Of Lading
- How Do I Sign Nebraska Charity Limited Power Of Attorney
- Sign New Hampshire Charity Residential Lease Agreement Online
- Sign New Jersey Charity Promissory Note Template Secure
- How Do I Sign North Carolina Charity Lease Agreement Form
- How To Sign Oregon Charity Living Will
- Sign South Dakota Charity Residential Lease Agreement Simple
- Sign Vermont Charity Business Plan Template Later
- Sign Arkansas Construction Executive Summary Template Secure
- How To Sign Arkansas Construction Work Order
- Sign Colorado Construction Rental Lease Agreement Mobile
- Sign Maine Construction Business Letter Template Secure
- Can I Sign Louisiana Construction Letter Of Intent
- How Can I Sign Maryland Construction Business Plan Template
- Can I Sign Maryland Construction Quitclaim Deed
- Sign Minnesota Construction Business Plan Template Mobile
- Sign Construction PPT Mississippi Myself
- Sign North Carolina Construction Affidavit Of Heirship Later
- Sign Oregon Construction Emergency Contact Form Easy