
West Penn Multi List Seller Disclosure Form


What is the West Penn Multi List Seller Disclosure Form
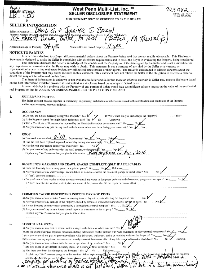
The West Penn Multi List Seller Disclosure Form is a crucial document used in real estate transactions within the West Penn region. This form serves to inform potential buyers about the condition of the property being sold, disclosing any known issues or defects. It is designed to protect both the seller and the buyer by ensuring transparency in the transaction process. By providing detailed information about the property, sellers can minimize the risk of disputes after the sale is completed.
How to use the West Penn Multi List Seller Disclosure Form
Using the West Penn Multi List Seller Disclosure Form involves several straightforward steps. First, sellers should gather all relevant information about the property, including any repairs, past issues, and general condition. Next, they will fill out the form, ensuring that all sections are completed accurately and honestly. Once the form is filled out, it should be provided to potential buyers as part of the property listing. This disclosure helps buyers make informed decisions and can facilitate a smoother transaction process.
Steps to complete the West Penn Multi List Seller Disclosure Form
Completing the West Penn Multi List Seller Disclosure Form requires careful attention to detail. Here are the essential steps:
- Gather property information: Compile details about the property's condition, repairs, and any known issues.
- Fill out the form: Accurately complete each section of the form, providing clear and honest answers.
- Review the form: Double-check for any omissions or inaccuracies before finalizing the document.
- Distribute the form: Provide the completed disclosure form to potential buyers during the listing process.
Legal use of the West Penn Multi List Seller Disclosure Form
The West Penn Multi List Seller Disclosure Form is legally binding when completed correctly. It must comply with local real estate laws and regulations to ensure its validity. By disclosing known issues, sellers protect themselves from potential legal claims after the sale. It is important for sellers to understand that failure to disclose significant defects can lead to legal repercussions, including lawsuits for misrepresentation.
Key elements of the West Penn Multi List Seller Disclosure Form
Several key elements are essential to the West Penn Multi List Seller Disclosure Form. These include:
- Property condition: Information about the physical state of the property, including structural issues and repairs.
- Known defects: Any issues that the seller is aware of, such as plumbing or electrical problems.
- Disclosure of past repairs: Details about any significant repairs made to the property.
- Environmental hazards: Information regarding any potential environmental concerns, such as mold or lead paint.
Examples of using the West Penn Multi List Seller Disclosure Form
Examples of using the West Penn Multi List Seller Disclosure Form can illustrate its importance in real estate transactions. For instance, a seller might disclose a history of water damage in the basement, allowing buyers to make informed decisions about potential repairs. Another example could involve a seller noting recent upgrades to the electrical system, which may enhance the property's appeal. These disclosures not only protect the seller legally but also build trust with potential buyers.
Quick guide on how to complete west penn multi list seller disclosure statement
Complete west penn multi list seller disclosure statement seamlessly on any device
Digital document management has become increasingly favored by organizations and individuals alike. It offers a perfect eco-friendly option to traditional printed and signed documents, allowing you to locate the necessary form and securely store it online. airSlate SignNow provides all the tools you need to create, edit, and eSign your documents quickly without delays. Manage west penn multi list seller disclosure form on any device with airSlate SignNow Android or iOS applications and simplify any document-based task today.
The easiest way to alter and eSign wpml seller disclosure statement effortlessly
- Obtain wpml seller disclosure statement 06 2016 revised and click on Get Form to begin.
- Utilize the tools we provide to complete your form.
- Emphasize necessary sections of your documents or conceal sensitive information with tools that airSlate SignNow offers specifically for that purpose.
- Generate your signature using the Sign feature, which takes mere seconds and holds the same legal validity as a conventional ink signature.
- Review all the details and click on the Done button to save your modifications.
- Select how you wish to send your form, via email, SMS, or invitation link, or download it to your computer.
Say goodbye to lost or misplaced documents, tedious form hunting, or mistakes that require reprinting new document copies. airSlate SignNow meets your document management needs in just a few clicks from any device of your choosing. Modify and eSign west penn multi list forms and ensure excellent communication at every stage of your form preparation process with airSlate SignNow.
Create this form in 5 minutes or less
Related searches to west penn multi list forms
Create this form in 5 minutes!
How to create an eSignature for the west penn multi list seller disclosure statement
How to create an electronic signature for a PDF online
How to create an electronic signature for a PDF in Google Chrome
How to create an e-signature for signing PDFs in Gmail
How to create an e-signature right from your smartphone
How to create an e-signature for a PDF on iOS
How to create an e-signature for a PDF on Android
People also ask wpml seller disclosure statement
-
What is the west penn multi list seller disclosure form?
The west penn multi list seller disclosure form is a legal document used in real estate transactions to disclose information about a property's condition and history. It helps ensure transparency between the seller and potential buyers, addressing any known issues or required disclosures. Understanding this form is crucial for any seller in the West Penn area.
-
How can I fill out the west penn multi list seller disclosure form online?
You can easily fill out the west penn multi list seller disclosure form online using airSlate SignNow. Our platform provides an intuitive interface, allowing you to complete and edit the form digitally. This simplifies the process and saves you time, ensuring you meet all real estate requirements.
-
What are the pricing options for using airSlate SignNow with the west penn multi list seller disclosure form?
airSlate SignNow offers various pricing plans to accommodate different business needs when handling documents like the west penn multi list seller disclosure form. Our plans are competitively priced, ensuring you get a cost-effective solution for eSigning and managing your forms. Visit our pricing page for detailed information.
-
What features does airSlate SignNow offer for the west penn multi list seller disclosure form?
With airSlate SignNow, you get features like template creation, eSigning, and secure cloud storage specifically tailored for documents like the west penn multi list seller disclosure form. These features enhance the user experience and streamline the process of document management. You can also track your forms in real time.
-
Can I integrate airSlate SignNow with other applications for the west penn multi list seller disclosure form?
Yes, airSlate SignNow allows integration with various applications, enhancing your ability to manage the west penn multi list seller disclosure form seamlessly. This includes systems like CRM and document storage services. Such integrations improve workflow efficiency and enhance usability for real estate professionals.
-
What are the benefits of using airSlate SignNow for the west penn multi list seller disclosure form?
Using airSlate SignNow for the west penn multi list seller disclosure form provides numerous benefits, including increased efficiency, improved accuracy, and enhanced security for your documents. Our platform also ensures compliance with legal requirements, minimizing risks during transactions. This makes it an ideal solution for sellers in the West Penn region.
-
Is the west penn multi list seller disclosure form legally binding when signed electronically?
Yes, the west penn multi list seller disclosure form is legally binding when signed electronically using airSlate SignNow. Our platform complies with regulations concerning electronic signatures, ensuring that your signed documents hold legal validity. This helps you confidently complete real estate transactions.
Get more for wpml seller disclosure statement 06 2016 revised
Find out other west penn multi list forms
- How Do I Sign Minnesota Business Operations PDF
- How Can I Sign Minnesota Business Operations Word
- Can I Sign Minnesota Business Operations Word
- How To Sign Minnesota Business Operations Word
- Help Me With Sign Minnesota Business Operations PDF
- How Do I Sign Minnesota Business Operations Word
- How To Sign Minnesota Business Operations Word
- How Do I Sign Minnesota Business Operations Word
- Help Me With Sign Minnesota Business Operations Word
- Help Me With Sign Minnesota Business Operations Word
- How Can I Sign Minnesota Business Operations PDF
- How Can I Sign Minnesota Business Operations Word
- How Can I Sign Minnesota Business Operations Word
- Can I Sign Minnesota Business Operations Word
- Can I Sign Minnesota Business Operations PDF
- Can I Sign Minnesota Business Operations Word
- How To Sign Minnesota Business Operations Document
- How Do I Sign Minnesota Business Operations Document
- Help Me With Sign Minnesota Business Operations Document
- How Can I Sign Minnesota Business Operations Document