
Change of Address Form


What is the Change of Address Form
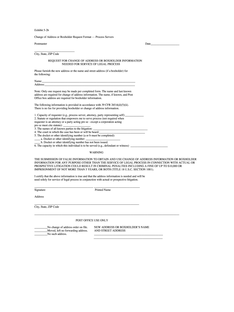
The Change of Address Form is a crucial document used to inform various institutions and organizations about a change in your residential address. This form is essential for ensuring that important communications, such as bills, tax documents, and personal correspondence, are sent to your new location. In the United States, the most commonly used form for this purpose is the USPS Change of Address Form, also known as PS Form 3575. This form can be filled out online or in person at your local post office.
How to Use the Change of Address Form
Using the Change of Address Form involves several straightforward steps. First, determine which type of change you need to make—whether it is a temporary or permanent change. Next, visit the USPS website or your local post office to access the form. Fill out the required fields, including your old address, new address, and the date when the change should take effect. After completing the form, submit it either online or in person. If using the online method, you may need to verify your identity through a credit or debit card.
Steps to Complete the Change of Address Form
Completing the Change of Address Form is a simple process. Follow these steps:
- Gather your identification documents, such as a driver's license or state ID.
- Access the Change of Address Form online or obtain a physical copy at a post office.
- Fill in your old address and new address accurately.
- Select the type of change (permanent or temporary) and the effective date.
- Review the information for accuracy before submitting the form.
- If submitting online, complete the identity verification process.
Legal Use of the Change of Address Form
The Change of Address Form is legally recognized as a valid method for notifying relevant parties about your address change. When properly completed and submitted, it ensures that your mail is redirected to your new address. This form is compliant with federal regulations, making it an essential tool for maintaining accurate records with the United States Postal Service and other institutions. It is important to keep a copy of the submitted form for your records, as it serves as proof of your address change.
Form Submission Methods (Online / Mail / In-Person)
The Change of Address Form can be submitted through various methods, providing flexibility based on your preference:
- Online: Visit the USPS website to complete the form electronically. This method is quick and allows for immediate processing.
- Mail: If you prefer a paper form, you can fill it out and mail it to the designated address provided on the form.
- In-Person: You can also submit the form at your local post office. Bring your identification documents for verification.
Required Documents
When completing the Change of Address Form, certain documents may be required to verify your identity. Typically, you will need a government-issued ID, such as a driver's license or state ID. If you are submitting the form online, a credit or debit card may also be necessary for identity verification. Ensure that the information on your ID matches the details on the form to avoid any processing delays.
Quick guide on how to complete request address information
Effortlessly Prepare request address information on Any Device
The management of online documents has become increasingly popular among businesses and individuals alike. It offers a perfect eco-friendly substitute for traditional printed and signed documents, as you can acquire the necessary form and safely store it online. airSlate SignNow provides you with all the tools needed to create, modify, and eSign your documents swiftly without any delays. Handle change address process on any device with airSlate SignNow's Android or iOS applications and simplify any document-related task today.
How to Modify and eSign change address process online with Ease
- Obtain boxholder and click Get Form to initiate the process.
- Utilize the tools we offer to complete your document.
- Emphasize pertinent sections of the documents or conceal sensitive information with tools specifically designed for that purpose by airSlate SignNow.
- Create your signature using the Sign feature, which takes mere seconds and holds the same legal standing as a conventional wet ink signature.
- Review all the details and click on the Done button to save your changes.
- Select your preferred method for sharing your form, whether by email, text message (SMS), invite link, or download it to your computer.
Say goodbye to lost or mislaid documents, tedious form searching, or errors that require printing new copies. airSlate SignNow meets all your document management needs in just a few clicks from any device you choose. Modify and eSign request change needed to ensure outstanding communication at every stage of the form preparation process with airSlate SignNow.
Create this form in 5 minutes or less
Related searches to request boxholder process
Create this form in 5 minutes!
How to create an eSignature for the change of address form
How to create an electronic signature for a PDF online
How to create an electronic signature for a PDF in Google Chrome
How to create an e-signature for signing PDFs in Gmail
How to create an e-signature right from your smartphone
How to create an e-signature for a PDF on iOS
How to create an e-signature for a PDF on Android
People also ask boeing address change form
-
What is the change address process in airSlate SignNow?
The change address process in airSlate SignNow allows users to easily update their address information within the platform. This feature ensures that all documents are sent and signed with the most current address, helping to maintain accurate records. By streamlining this process, airSlate SignNow helps businesses avoid any potential issues that may arise from outdated addresses.
-
How can I initiate the change address process?
To initiate the change address process within airSlate SignNow, simply log into your account and navigate to the settings section. From there, you will find an option to update your address details. Following a few quick steps will ensure that your new address is saved and utilized for all future document transactions.
-
Is there any cost associated with the change address process?
There is no additional fee associated with the change address process in airSlate SignNow. As part of our overall commitment to providing an easy-to-use, cost-effective solution, updating your address is included within your subscription. This means you can make necessary changes without worrying about extra costs.
-
Can I change my address for multiple users in my organization?
Yes, the change address process allows administrators in airSlate SignNow to update addresses for multiple users within their organization. This ensures that all team members have the correct address information on file, enhancing efficiency and reducing errors in document handling. It's a user-friendly feature designed for organizational needs.
-
What benefits does the change address process provide for businesses?
The change address process in airSlate SignNow provides businesses with improved accuracy in their document management. Correct addresses are critical for legal compliance and reducing delays in document delivery. By ensuring your address is always up-to-date, you enhance your operational efficiency and customer satisfaction.
-
Does airSlate SignNow integrate with other tools for the change address process?
Yes, airSlate SignNow offers integrations with various business tools to facilitate the change address process. This includes CRMs, document management systems, and other platforms, ensuring that your address changes sync seamlessly across applications. These integrations contribute to a more cohesive workflow for your team.
-
How secure is the change address process in airSlate SignNow?
The change address process in airSlate SignNow is designed with security in mind. User data, including address information, is protected with robust encryption and complies with industry standards. This ensures that your sensitive information remains confidential and secure during the update process.
Get more for boeing change of address form
- Sage verification form
- Satisfactory academic progress appeals application for form
- Student grievance form
- Sexual misconduct complaint form
- Application for admission nutrition ampampamp dietetic technician form
- 2019 2020 dependent verification worksheet dv1 form
- Resistant profile form submitter client information sample
- 2016 2017 standard verification worksheet delta college delta form
Find out other www boeing addresschange
- How To eSign Massachusetts Non-Profit Presentation
- How Do I eSign Massachusetts Non-Profit Presentation
- How Do I eSign Massachusetts Non-Profit Presentation
- Help Me With eSign Massachusetts Non-Profit Presentation
- How Do I eSign Massachusetts Non-Profit Presentation
- How Can I eSign Massachusetts Non-Profit Presentation
- Can I eSign Massachusetts Non-Profit Presentation
- Help Me With eSign Massachusetts Non-Profit Presentation
- Help Me With eSign Massachusetts Non-Profit Presentation
- How To eSign Massachusetts Non-Profit Presentation
- How Can I eSign Massachusetts Non-Profit Presentation
- How Do I eSign Massachusetts Non-Profit Presentation
- Help Me With eSign Massachusetts Non-Profit Presentation
- How Can I eSign Massachusetts Non-Profit Presentation
- How Can I eSign Massachusetts Non-Profit Presentation
- Can I eSign Massachusetts Non-Profit Presentation
- Can I eSign Massachusetts Non-Profit Presentation
- Can I eSign Massachusetts Non-Profit Presentation
- How To eSign Massachusetts Non-Profit Presentation
- How Do I eSign Massachusetts Non-Profit Presentation