
1437 2002-2025 Form


What is the Virginia Form CC 1437
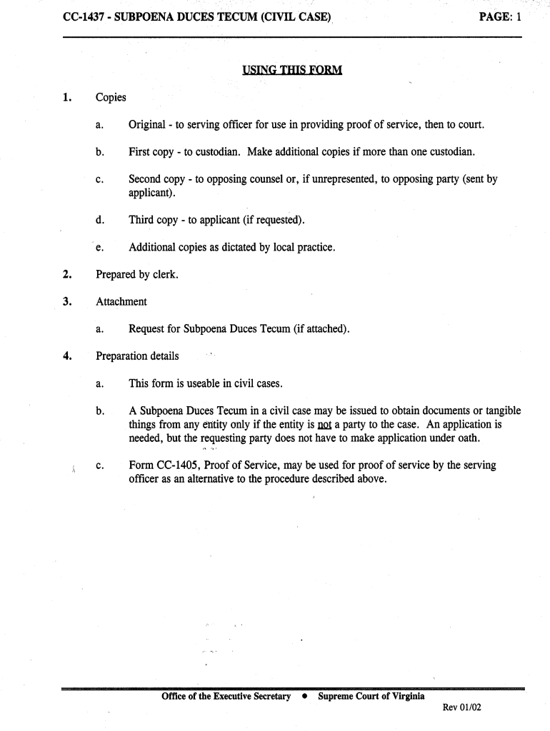
The Virginia Form CC 1437 is a legal document used in the Commonwealth of Virginia, primarily for civil cases. This form is often associated with subpoenas and is essential for parties involved in legal proceedings to gather necessary evidence or testimony. It serves as a formal request to compel the production of documents or information relevant to a case, ensuring that all parties comply with legal standards. Understanding the purpose and function of the CC 1437 is crucial for anyone navigating the legal system in Virginia.
How to Use the Virginia Form CC 1437
Using the Virginia Form CC 1437 involves several steps to ensure compliance with legal requirements. First, identify the specific information or documents needed for your case. Next, fill out the form accurately, providing all necessary details, including the names of the parties involved and the specific documents requested. Once completed, the form must be served to the individual or entity from whom the information is being requested. It is important to retain a copy for your records and to follow up to ensure compliance with the request.
Steps to Complete the Virginia Form CC 1437
Completing the Virginia Form CC 1437 requires careful attention to detail. Here are the steps to follow:
- Obtain the latest version of the form from a reliable source.
- Fill in your name and contact information at the top of the form.
- Provide the names of the parties involved in the case.
- Clearly specify the documents or information being requested.
- Include any relevant case numbers or court information.
- Sign and date the form to validate it.
After completing the form, ensure it is served correctly to the appropriate party.
Legal Use of the Virginia Form CC 1437
The legal use of the Virginia Form CC 1437 is governed by state laws that dictate how subpoenas should be issued and enforced. This form is legally binding and must be used in accordance with the Virginia Rules of Civil Procedure. It is essential to understand that improper use of the form can lead to legal repercussions, including penalties for non-compliance. Therefore, it is advisable to consult with a legal professional if there are any uncertainties regarding its use.
Key Elements of the Virginia Form CC 1437
Several key elements must be included when filling out the Virginia Form CC 1437 to ensure its validity:
- Requester Information: The name and contact details of the person requesting the documents.
- Respondent Information: The name and address of the individual or entity from whom the documents are being requested.
- Document Description: A clear and specific description of the documents or information sought.
- Case Information: Relevant case numbers and court details.
- Signature: The signature of the requester, affirming the accuracy of the information provided.
Including all these elements is crucial for the form to be effective and legally enforceable.
Form Submission Methods
The Virginia Form CC 1437 can be submitted through various methods, depending on the requirements of the court and the parties involved. Common submission methods include:
- Online Submission: Many courts allow electronic filing of documents, including the CC 1437, through their official websites.
- Mail: The form can be mailed to the appropriate court or party, ensuring to keep a copy for your records.
- In-Person Submission: You may also deliver the form directly to the court clerk's office or the party involved.
It is essential to verify the preferred submission method with the relevant court to ensure compliance with local rules.
Quick guide on how to complete form cc 1437
Complete and submit your form cc 1437 quickly
Essential tools for digital document exchange and verification are crucial for process enhancement and the ongoing evolution of your forms. When handling legal documents and signing a 1437 form, the appropriate signature solution can conserve signNow time and resources with every submission.
Locate, finalize, modify, endorse, and distribute your legal documents with airSlate SignNow. This platform provides everything you need to establish streamlined document submission workflows. Its vast collection of legal forms and intuitive navigation will assist you in finding your virginia form cc 1437 promptly, and the editor featuring our signature tool will enable you to complete and authorize it instantaneously.
Sign your form 1437 in a few easy steps
- Locate the cc1437 case edit you need in our library using the search function or catalog pages.
- Review the form details and preview it to ensure it meets your requirements and complies with state regulations.
- Click Get form to unlock it for modifications.
- Fill in the form using the all-inclusive toolbar.
- Verify the information you entered and click the Sign tool to authorize your document.
- Select one of three methods to add your signature.
- Complete any remaining edits and save the file, then download it to your device or share it immediately.
Optimize every phase of your document preparation and authorization with airSlate SignNow. Explore a more effective online solution that has considered all aspects of managing your paperwork.
Create this form in 5 minutes or less
Related searches to cc1437 duces fillable
Create this form in 5 minutes!
How to create an eSignature for the cc1437 tecum fillable
How to generate an eSignature for your Form Cc 1437 in the online mode
How to generate an electronic signature for the Form Cc 1437 in Chrome
How to generate an eSignature for putting it on the Form Cc 1437 in Gmail
How to create an eSignature for the Form Cc 1437 straight from your smartphone
How to generate an electronic signature for the Form Cc 1437 on iOS devices
How to make an electronic signature for the Form Cc 1437 on Android devices
People also ask va cc 1437
-
What is the Virginia Form CC 1437?
The Virginia Form CC 1437 is a legal document used for case management in Virginia courts. It serves to inform the court of various case details, including parties involved and their relationships. Understanding the requirements of this form is crucial for effective case handling in Virginia.
-
How can airSlate SignNow help with the Virginia Form CC 1437?
airSlate SignNow allows users to easily create, send, and eSign the Virginia Form CC 1437. Its user-friendly interface ensures that you can fill out the form without any hassle. Additionally, you can track the document's status seamlessly, ensuring timely submission to the appropriate court.
-
Is airSlate SignNow a cost-effective solution for handling the Virginia Form CC 1437?
Yes, airSlate SignNow offers a cost-effective solution for managing the Virginia Form CC 1437. With competitive pricing plans, it minimizes expenses associated with printing and mailing documents. By digitizing this process, you can save time and resources while ensuring compliance with legal requirements.
-
What features does airSlate SignNow provide for the Virginia Form CC 1437?
airSlate SignNow provides various features for the Virginia Form CC 1437, including templates, eSignature capabilities, and secured cloud storage. These features streamline the completion and submission process. Furthermore, automated reminders help keep you on schedule with important deadlines.
-
Can I integrate airSlate SignNow with other software to manage the Virginia Form CC 1437?
Absolutely! airSlate SignNow integrates seamlessly with various applications to manage the Virginia Form CC 1437. Whether you're using CRM systems or cloud storage services, its integration capabilities enhance your workflow. This allows for streamlined data transfer and document management.
-
What are the benefits of using airSlate SignNow for the Virginia Form CC 1437?
Using airSlate SignNow for the Virginia Form CC 1437 offers numerous benefits, including enhanced security, faster processing times, and easy accessibility. You can eSign documents from anywhere, making it convenient for busy professionals. Additionally, the platform ensures compliance with legal standards.
-
Is there a mobile app for managing the Virginia Form CC 1437 in airSlate SignNow?
Yes, airSlate SignNow has a mobile app that allows you to manage the Virginia Form CC 1437 on the go. This means you can fill out, send, and eSign the form right from your smartphone or tablet. The app is designed for ease of use, ensuring that vital documents are always at your fingertips.
Get more for va cc1437 civil
Find out other cc1437 duces online
- eSign Wyoming Finance & Tax Accounting IOU Fast
- eSign Wyoming Finance & Tax Accounting IOU Simple
- eSign Wyoming Finance & Tax Accounting IOU Easy
- Help Me With eSign Wyoming Finance & Tax Accounting IOU
- How Can I eSign Wyoming Finance & Tax Accounting IOU
- eSign Wyoming Finance & Tax Accounting IOU Safe
- Can I eSign Wyoming Finance & Tax Accounting IOU
- eSign Hawaii Government Job Description Template Online
- eSign Wyoming Finance & Tax Accounting Last Will And Testament Online
- eSign Hawaii Government Job Description Template Computer
- eSign Hawaii Government Job Description Template Mobile
- eSign Hawaii Government Job Description Template Now
- eSign Hawaii Government Job Description Template Later
- eSign Wyoming Finance & Tax Accounting Last Will And Testament Computer
- eSign Hawaii Government Job Description Template Free
- eSign Hawaii Government Job Description Template Myself
- eSign Hawaii Government Job Description Template Secure
- eSign Wyoming Finance & Tax Accounting Last Will And Testament Mobile
- How To eSign Wyoming Finance & Tax Accounting Last Will And Testament
- eSign Hawaii Government Job Description Template Fast